上海奥麦达微电子有限公司

专业高效
微纳加工公司

硅微环+片上激光器--异质III-V/硅微环激光阵列用于三元内容寻址存储的多状态非易失性存储器(惠普实验室)

#硅微环 #片上激光器 #异质集成

摘要——在这项工作中,我们介绍了嵌入在III-V/硅光源中的可编程存储元件,这些元件实现了非易失性波长调谐。这些非易失性III-V/硅微环激光器(MRLs)展示了约80皮米的非易失性波长偏移,并具有约40 dB的信号消光比,同时消耗0电气静态调谐功率。演示了一个由5个级联的MRL组成的阵列,每个激光器都能够实现4个可编程的非易失性状态,从而总共产生1024个独特状态。写入/擦除操作已执行了最多100个周期,非易失性持续时间可长达24小时。这些非易失性激光器用于演示光学三元内容寻址存储(O-TCAM),可在快速内存搜索和各种机器学习算法所需的内存计算功能中发挥作用。带有5个三元符号的非易失性MRL O-TCAM的端到端能量消耗为1156 fJ/符号。这项工作为实现下一代非易失性光子系统中的光子存储应用提供了机会。
文章名:Heterogeneous III-V/Si micro-ring laser array with multi-state non-volatile memory for ternary content-addressable memories
作者:Stanley Cheung、Yanir London 、Yuan Yuan、Bassem Tossoun 、Yiwei Peng 、Yingtao Hu 、Thomas Van Vaerenbergh 、Di Liang 、Chong Zhang、 Geza Kurczveil、Raymond G. Beausoleil
单位:Hewlett Packard Labs

#0:10mm-10mmsto衬底-bto薄膜(300nm厚度可定制)

#1:sto外延片

2寸 外延 sto 2-20nm(可定制)- 2um Sio2(可定制) -Si(可定制)

#2:a向 bto外延片

2寸 外延 a-向 bto(300nm或者500nm,或者定制)-sto 8nm(可定制)- 2um Sio2(可定制) -Si(可定制)

#3:C向 bto外延片

2寸 外延 c-向 bto(150nm或者300nm,或者定制)-sto 8nm(可定制)- 2um Sio2(可定制) -Si(可定制)

#离子注入铒代工

#6寸DUV步进式光刻代工,最小线宽180nm,超高性价比,可以只曝光

#快速氮化硅硅光铌酸锂流片 #高性价比 #低成本

#提供8寸 8umSiO2热氧片,6寸15um热氧片 10um 8um热氧片 8寸10um热氧片

室温低损伤@GCIB抛光代工@束斑小(4-5mm)更均匀

#降低硬质材料化合物晶圆等绝大多数材料的表面粗糙度,比如金刚石 ,磷化铟,砷化镓,碳化硅

#提高复合衬底和镀膜膜层的器件层膜厚均匀性,

比如SOI LNOI  LTOI SICOI 等 SMARTCUT得到的薄膜 

或者镀膜所得到的膜层 ,比如镀了一层氮化硅,但是由于是cvd镀膜所得到的,表面的膜厚精度很差,粗糙度很差,可以通过粗糙度初步降低粗糙度,然后通过GCIB团簇离子束抛光来修整整面的膜厚均匀性 到0.5%以下举例:

未经过Trimming 工艺的 6寸LN/LTOI晶圆 数据:

Range:100-200A

经过Trimming 工艺的 6寸LN/LTOI晶圆 数据:

Range:60A以内

划重点--销售晶圆和加工
SOI晶圆:--220nm薄膜/ 3um厚膜-3umSIO2-675um

ALOOI晶圆;--氧化铝薄膜晶圆,键合工艺和镀膜工艺

TAOOI晶圆--氧化钽薄膜晶圆,镀膜工艺

SINOI晶圆--超低损耗氮化硅薄膜晶圆,210nm-300nm-400nm-800nm

SICOI晶圆;新型量子光学平台500nm-700nm-1um

6寸LTOI晶圆批量供应;铌酸锂的有力的竞争对手,薄膜钽酸锂晶300600

8寸LNOI晶圆;8寸LNOI助力更大规模薄膜铌酸锂产品量产

LN/LT-SOI/Si/SIN  W2W&D2W异质集成

流片: 6寸 氮化硅 铌酸锂 硅光 超高性价比流片, 1个BLOCK的价格买一整片晶圆

划重点--全国产-超高性价比-6 寸硅光-氮化硅-铌酸锂流片白皮书

我们为客户提供晶圆(硅晶圆,玻璃晶圆,SOI晶圆,GaAs,蓝宝石,碳化硅(导电,非绝缘),Ga2O3,金刚石,GaN(外延片/衬底)),镀膜(PVD,cvd,Ald,PLD)和材料(Au Cu Ag Pt Al Cr Ti Ni Sio2 Tio2 Ti3O5,Ta2O5,ZrO2,TiN,ALN,ZnO,HfO2。。更多材料),键合(石英石英键合,蓝宝石蓝宝石键合)光刻,高精度掩模版,外延,掺杂,电子束光刻等产品及加工服务(请找小编领取我们晶圆标品库存列表,为您的科学实验加速。

请联系小编免费获取原文

图片

大规模光子电路中的能效可编程性对于在机器学习硬件加速器到量子计算等应用中的部署至关重要。典型的可编程方法包括热光效应(TO)1、自由载流子色散2、电光效应(EO)3和基于压电效应的机械调谐4。这些解决方案由于其易失性特性,都需要大量的静态功耗。TO效应需要超过10毫瓦的功率,而自由载流子色散、电光效应和机械效应则需要恒定的电压偏置。因此,静态功耗会随着光子元件数量和操作时间的增加而显著增长。另一个挑战是能够控制与相位敏感设备(如环形谐振器、阵列波导光栅(AWG)、格栅滤波器等)制造相关的相位误差。这些相位误差取决于波导的宽度、厚度和折射率的不均匀性,可能导致波长注册变化 ±60皮米5,6。此外,多波长激光阵列通常需要精细的波长调谐,以校正因制造缺陷和环境/设备温度波动引起的波长误差7。易失性相位调谐解决方案需要外部电压源的持续待机功耗,并可能显著影响整个光通信链路的功率预算。近年来,非易失性调谐作为一种潜在的能源无关静态相位调谐解决方案逐渐浮现。这些努力包括使用硫属化物相变存储器(PCM)8、铁电材料(如钛酸钡(BaTiO3)9、铌酸锂(LiNbO3)10、铅钛矿(PZT))、浮栅存储器(FGM)11,12和忆阻器13–20。关于半导体激光器的非易失性波长调谐,我们的团队已经展示了基于忆阻器的解决方案20。作为忆阻器的替代方案,为了解决可靠性和制造性的问题,我们研究了基于电荷陷阱存储器(CTM)或浮栅存储器(FGM)的非易失性波长调谐解决方案12,21,22。

本文中,我们探索了基于异质III-V/硅微环谐振激光器(MRL)与共集成电荷陷阱存储器(CTM)的多比特光学存储阵列。该阵列由5个级联的MRL组成,每个激光器能够实现4个可编程的非易失性状态,总共生成1024个独特状态。每个MRL都展现了完整的写入/擦除操作(100个周期),波长偏移为Δλ非易失性 ~ 80皮米,动态功耗小于400皮瓦。我们为每个MRL展示了多比特写入操作(2比特),并验证了其24小时的时间持续性。表1展示了当前最先进的硅光子CTM/FGM设备、性能及本文中提出的工作。此外,我们还讨论了将这些非易失性光源应用于光学三元内容寻址存储(O-TCAM)的使用,这在内存搜索中具有应用价值23–25。

                   表1 | 最先进CTM/FGM光子器件的完整调查

a: Si/poly-Si/SiO2, b: Si/SiN/SiO2, c: Si/HfO/AlO/SiO2, d: Si/SiN/SiO2, e: n-InP/Al2O3/p-Si.

  1. 基于Intel硅光子晶圆厂工艺的III-V/Si器件的CMOS兼容性。

  2. 异质集成假设在共同材料平台上演示激光器、探测器和光学存储的集成。

  3. 由于该工艺需要紫外辐射,因此更可能较高。

结果
设备设计
如图1所示,所制造的具有共集成电荷陷阱存储器(CTM)的微环激光器(MRL)设备定义在III-V/Al2O3/Si区域中。制造过程首先从100毫米的硅基绝缘体(SOI)晶圆开始,该晶圆包括一个300纳米厚的顶部硅层,如图1a和1b所示。硅波导使用深紫外ASML步进光刻机进行图案化,然后使用基于氯气(Cl2)的气体化学方法进行刻蚀。接下来,采用原子层沉积(ALD)在图案化硅和原始III-V外延晶圆的两侧沉积10纳米的Al2O3。然后,III-V外延层通过一个中介Al2O3层与图案化硅晶圆进行键合,如图1c所示。有关制造过程的更详细描述可以在补充部分5中找到。

图1 | 制备的非挥发性MRL图像。
a:俯视图;
b:横截面扫描电子显微镜(SEM)图;
c:Al2O3介质电荷陷阱层的透射电子显微镜(TEM)图像;
d:MRL阵列的显微镜图像。

硅波导的定义宽度、高度和刻蚀深度分别为1.5μm、300nm和245nm,如图1b所示。晶圆键合的III-V区域由p-i-n外延堆叠组成,3μm宽的主动增益区域由多量子阱(MQW)定义,包含6层压应变(+0.8%)的In0.86Ga0.14As0.55P0.45阱层,周围是7层拉伸应变(-0.19%)的In0.84Ga0.16As0.29P0.71屏障层。为了改善热性能,在MQW区域上方使用了电子停层(In0.5Al0.5As)。顶部台阶由1.5μm厚的p-InP层和200nm厚的p-In0.53Ga0.47As接触层组成。完整的外延堆叠可以在补充部分2中找到。一个完整的硅刻蚀在n-InP区域下方部分使用,使得n-InP和p++硅接触之间存在电气隔离,如补充图1a所示。模拟的横向电场(TE)模式见补充图1b。实验测量的20nm厚Al2O3的折射率为nAl2O3 = 1.775,计算得出MQW的约束因子为ΓMQW = 5.5089%,总有效折射率为neff = 3.2505,群折射率为ng = 3.4942。III-V/Al2O3/Si堆叠最初是为易失性相位调谐设计的5,6,26,在正向偏压下,载流子会在半导体/绝缘体界面处积聚。因此,材料折射率Δn和自由载流子吸收ΔαFCA的变化是由电压依赖的等离子色散效应引起的,可以通过经典的Drude模型进行描述,如补充图1c所示。

非易失性波长调谐的起源:电荷陷阱机制
除了易失性波长调谐,非易失性调谐是由于Al2O3/p-Si和Al2O3/n-InP的缺陷界面上存在时间依赖的载流子陷阱。如图1c和2a所示,晶体硅与非晶Al2O3以及晶体n-InP之间的不完美界面导致悬挂键载流子陷阱的存在。这些陷阱可以改变n-InP/Al2O3/p-Si界面的内部场,并引起非易失性的等离子色散波长偏移。例如,如果电子陷阱存在于Al2O3/p-Si界面处,陷阱中的电子会将孔吸引到p-Si侧的界面,如图2a所示。同样地,如果孔陷阱存在于Al2O3/n-InP界面,陷阱中的孔将吸引电子到n-InP区域的界面。这些n-InP/Al2O3/p-Si界面的合并陷阱效应导致了一种非易失性的等离子色散效应,永久改变了特定区域的折射率,这是非易失性波长调谐的来源。该陷阱是一个瞬态行为,需要适当长的编程和重置电压偏置,如Heiman模型所描述11。这个瞬态行为可以通过占据概率微分方程描述,如公式(1)所示。

其中FxtD、vxP和vxN分别表示载流子陷阱占据概率、孔热速度和电子热速度。x代表Al2O3/p-Si或Al2O3/n-InP界面。σxP和σxN由公式(2)定义,表示孔和电子的载流子陷阱截面,P和N分别是自由孔和电子浓度,Fxdeg是孔捕获,而4)是孔向价带发射的陷阱率。这些速率与载流子陷阱截面线性相关,哪种速率占主导地位取决于载流子表面密度。载流子隧穿至陷阱态ExtA从导带边缘Exc通过电子消逝波矢κe建模,如公式(2)-(3)所示。同样,从价带边缘Exv到陷阱态ExtA的隧穿通过波矢κh发生。假设单能量陷阱密度在指定深度d以内均匀,超出该深度则为零。

图2 | 电荷捕获机制。
a:n-InP/Al2O3/p-Si界面及载流子陷阱区域的扫描电子显微镜(SEM)图像。
b:初始状态和编程操作过程中能带图。
c:计算的Al2O3/p-Si界面的载流子陷阱占据概率;
d:计算的Al2O3/n-InP界面的载流子陷阱占据概率。

图2c–d显示了n-InP/Al2O3/p-Si堆栈两种界面计算的载流子陷阱占据概率。在没有任何偏置的情况下,“初始”状态的占据概率为零。经过足够时间的电压编程后,占据概率达到饱和值,标志着非挥发性状态的开始。通过关闭偏置,系统会保持一个永久的占据概率,表示非挥发性。擦除这种非挥发状态通过施加相反极性的偏置,清除被捕获的载流子并将其驱回半导体区域。用于时间占据概率计算的材料参数列在补充部分2中。

器件表征
初始光输出与电流-电压(LIV)测量分别在MRL激光的左侧和右侧输出面进行,如补充图2a所示,观察到的阈值电流约为12 mA。实验细节在补充部分3中讨论。该特定环形波导的硅波导半径为23.62 μm,计算得到的自由光谱范围(FSR)为3.515 nm,FSR = λ²/ngL。实际测得的FSR更接近于3.167 nm(补充图2b),可能由于III-V/Si光学模态的变化和制造误差造成。由于LIV图中存在“拐点”,因此出现了显著的多模和双向激光。这已经被证明,由于不完美的侧壁蚀刻,背向反射可以增强腔内反射,进而降低激光的稳定性并触发频繁的激光方向变化。这是由于CW模式和CCW模式之间的强耦合,导致LIV曲线出现波动。通过强制激光以单向方式工作可以解决这一问题。一种策略是使用S形腔内自注入锁定技术。与LIV图一起,我们同时跟踪了左、右输出的光谱,如补充图2b-c所示。这些图有助于绘制单模工作区域以及顺时针(CW)或逆时针(CCW)操作区域。由于单一腔模主导了激发发射,能够在特定注入电流下实现单模操作,这个腔模负责耗尽大部分电子载流子。对于我们的情况,我们选择使用19 mA的注入电流来实现几乎等量的CW和CCW功率下的单纵模操作。

补充图2d–e展示了在编程过程中出现的挥发性和非挥发性波长偏移。补充图2e显示了归一化偏移与编程时间的关系。通过施加0 → −6 V的“写入”操作20分钟后,由于Al2O3/Si和Al2O3/III-V界面上耗尽区的扩大,出现了弱的红移。接下来,通过关闭施加的偏置(−6 → 0 V),观察到一个非挥发性蓝移约50 pm。为了“擦除”这一非挥发状态,施加0 → +6 V的偏置进行20分钟。在擦除过程中,观察到大约100 pm的挥发性蓝移,这与载流子在Al2O3/Si和Al2O3/III-V界面上的积累相符。最后,通过关闭偏置实现完整的“重置”回到原始激光波长。整个过程在补充图2e中进行了说明,跟踪的光谱显示在补充图2d中。功率消耗在整个过程中都得到了跟踪,在“写入”和“擦除”操作期间约为100皮瓦(pWs),如补充图2f所示。非挥发性状态消耗0静态功率。

图3 | 非挥发性MRL循环性测试。
a:左输出的100个非挥发性周期的光谱。
b:对应的二维光谱图。
c:在非挥发性编程过程中,左、右输出的峰值波长跟踪。
d:右输出的100个非挥发性周期的光谱。
e:对应的二维光谱图。
f:左、右输出的消光比(ER)。

为了确定非挥发性波长偏移的稳健性,我们进行了循环性测试,如图3所示。使用相同的编程操作(补充部分3),唯一不同的是将“写入”和“擦除”时间缩短至5分钟。左输出的非挥发性和重置光谱记录了100个周期,如图3a、b所示。右输出的数据也同时记录并显示在图3d、e中。通过跟踪左、右输出的非挥发性/重置状态的峰值波长,观察到非挥发性偏移约为80 pm(Δneff, non-volatile ~ 2 × 10⁻⁴),如图3c所示。随着循环次数的增加,整个光谱出现了蓝移,表明材料可能出现退化。两种输出的非挥发性和重置状态之间的消光比(ER)显示在图3f中。我们推测,左输出的40 dB ER是一个下限,因为激光线宽的测量受到光谱分析仪(OSA)的限制。右输出的ER较低,主要由于CCW方向的功率较弱。我们对四个相距10 mm的晶圆进行了测量,以确定器件的一致性。从每个晶圆中选择的MRL的LIV测量表明,阈值电流分别为7.7、10.0、7.3和16.5 mA。

阈值电流的变化表明,MRL结构中可能存在非均匀的增益/损耗,这可能是由于III-V mesa和硅波导的非均匀蚀刻或光刻所致。我们还进行了非挥发性写入操作(0 V → −6 V),并记录了非挥发性波长偏移(−6 V → 0 V)。从1至4号芯片的平均非挥发性波长偏移分别为−79.0、−82.6、−86.8和−89.8 pm。标准偏差分别为3.54、1.91、4.02和2.22 pm。这表明,尽管增益/损耗存在变化,但由于氧化物中电荷捕获所引起的非挥发性偏移在统计上是有一定重复性的。

图4a展示了5个MRL级联至公共总线波导的示意图,具有左侧和右侧输出端口。MRL1的半径为24.25 μm,每个后续级联的MRL由243 nm的增量长度组成,从而计算得出波长通道间隔为2 nm。图4b和图4c显示了每个MRL的LIV和相应的光谱。如预期的那样,在没有任何腔内滤波器的情况下,每个MRL表现出多模和双向激光特性,LIV曲线中出现了“拐点”。左、右输出的光谱绘制出来,选择合适的偏置电流为27 mA,以实现CW和CCW方向的单模激光。

图4 | 5通道MRL阵列表征。
a:MRL阵列示意图。
b:左、右输出的MRL LIV测量。
c:对应的光学光谱。
d:所有5个MRL的非挥发性激光状态的光谱测量,重叠了时间持续数据。
e:每个MRL的非挥发性激光状态的放大图。
f:各种非挥发性状态的峰值波长跟踪。接下来,我们分别对每个MRL施加非挥发性编程电压0 V、−2 V、−4 V和−6 V,持续5分钟。非挥发性状态的保持时间通过在电压源关闭后记录数据来确定。这会为每个MRL产生4个非挥发性激光状态。图4d展示了所有5个MRL的非挥发性光谱,并重叠显示了时间持续性。图4e展示了每个非挥发性激光状态的放大快照。考虑到5个MRL,这将产生1024个不同状态的光学存储库。通过跟踪每个非挥发性激光状态的峰值波长,可以确定非挥发性波长偏移约为−80 pm。值得注意的是,超过−6 V时,Al2O3进入记忆电阻状态,发生细丝化现象,导致更大的波长偏移。

未来通过使用多层CTM或浮栅存储结构,可以进一步提高非挥发性波长偏移的幅度,这些内容在补充部分6中有详细介绍。这些结构由交替层的高k介质材料组成,如n-InP/Al2O3/HfO2/SiO2/Si。Al2O3和SiO2作为隧穿/阻挡氧化物,而HfO2作为电荷捕获区域。在这种情况下,计算得到的非挥发性波长偏移约为1.6 nm(Δneff,non-volatile ~ 40 × 10⁻⁴),相较于本文结构有显著改进。尽管我们工作中的非挥发性开关速度较慢,但仍有改进的途径。例如,已知通过不同的快速热退火(RTA)条件,可以改善CTM的开关速度,RTA退火在450°C下,退火15分钟可以将编程速度从毫秒级提高到微秒级。未来的工作将探索在晶圆结合之前使用RTA技术,以实现编程速度的提高。未来的研究还将通过增加氧空位和缺陷杂质,探索增加电荷捕获位点的方法。

非挥发性微环激光器内容寻址存储器
我们发现,本文提出的MRL的可编程存储特性在实现紧凑型光学三值内容寻址存储器(O-TCAM)中具有重要应用。内容寻址存储器(CAM)是一种特殊类型的存储器,设计用于在单个时钟周期内搜索其所有内容,指示是否有任何存储的数据与感兴趣的数据匹配,并返回匹配的地址。这种高速的表格搜索功能非常适合路由器、交换机和智能网卡(SmartNICs),它们需要快速执行数据包路由和检测。近年来,已证明,带编码搜索和数据字的三值CAM(TCAM)可以执行内存计算功能,这是各种机器学习算法所必需的。TCAM中的搜索和数据字可以处于0、1或X(无关)三种状态,从而相比于二值CAM(BCAM),提供了更好的搜索灵活性。光学CAM在信号数据速率上比电气CAM具有优势,因此可以通过减少延迟来加速搜索。

在我们之前的工作中,我们开发了两种基于微环的O-TCAM架构——波长分复用(WDM)O-TCAM和时分复用(TDM)O-TCAM。这两种架构都采用了特殊的点积编码方案,我们发现这种方案适合用于实现能够测量汉明距离(相似性学习的重要度量)的微环O-TCAM。为了支持三种CAM状态,每个搜索和数据符号由两个比特组成。在WDM O-TCAM的情况下,这种编码方案需要两个微环调制器(MRMs)来进行三值搜索符号的电光转换,并需要两个微环谐振器(MRRs)来存储三值数据符号并与相应的搜索符号进行比较。这需要比二值搜索多一倍的微环数量。值得注意的是,在基于微环的TDM O-TCAM的情况下,二值搜索和三值搜索需要相同数量的微环和符号持续资源。

图5 | 基于MRL的WDM O-TCAM示意图。每个数据符号存储在一个MRL中,并与MRR基引擎中的搜索符号进行比较。光电探测器(PD)输出电流指示存储的数据符号与搜索符号之间的匹配状态。我们的MRL和MRM芯片照片显示在插图中。

我们在这里提出了一种基于MRL的WDM O-TCAM架构,利用集成非挥发性存储器的MRL,将微环数量减少了两倍,相较于我们之前的WDM O-TCAM设计。我们的MRL基于WDM O-TCAM的示意图如图5所示。第l个MRL和MRM(l ∈ {1, K})各自具有一组波长,每个波长表示不同的符号状态。MRL的状态与存储的数据符号相关,取决于激光波长和通过搜索符号控制的数据速率下的MRM共振。存储库设计为长期存储,因此低速驱动器足以在MRLs中存储数据字。我们在MRL基于WDM O-TCAM中使用的编码方案在表2中描述了第l个三值符号。我们的编码方案是对参考文献42中提出的编码方案的修改和扩展,适应我们具有可编程存储功能的MRLs,并支持三值搜索和存储操作。当MRL的光耦合到MRM时,发生不匹配,导致在MRM的输出端口测量到电流。我们的MRL基于WDM O-TCAM可以适应于在通过端口监控匹配状态,从而将光电探测器(PD)数量减少为1,这与在文献23中开发的WDM O-TCAM架构类似。为此,编码方案需要进行两项修改——1)交换搜索符号0和1的MRM共振;2)动态交替MRM在高Q模式下过滤λl,0或λl,1,和低Q模式下同时过滤这两种波长。低Q模式设计用于在通过端口阻塞光,表示X(无关)搜索符号。这种三值搜索状态之间的Q切换可以通过修改MOSCAP偏置来实现,但这是一个较长的更新过程,导致较慢的搜索速度。

表2 | 提议的基于MRL的WDM O-TCAM中第l个符号的编码方案(内部光电探测器 / 掉落端口监控)

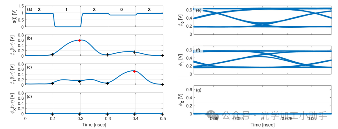
为了验证我们的O-TCAM架构的可行性,我们实验性地演示了一个1符号MRL基于WDM O-TCAM电路。我们使用了一种基于量子点的微环激光器,激光波长为1310.09 nm,并通过外部可调激光器注入锁定,以放大激光信号,如补充部分4.2所示。激光信号进一步放大,光功率约为0 dBm,输入到MRR阵列中。MRR是一个载流子注入装置,直径为19.9 μm,测得Q值约为15 K。通过施加由任意波形发生器(AWG)生成的调制电压偏置(即搜索信号,s(t)),我们能够通过MRR的通过端口观察到0和1的匹配信号。搜索信号的调制速度为50 Mbps,受高速探针和光纤阵列的机械限制。编码方案(为通过端口监控修改)和实验中使用的引擎及存储设置在补充部分4.3中描述。由于微环具有固定的Q值,并且匹配信号通过其通过端口进行监控,因此搜索信号来自二进制集合。搜索信号s(t)如图6a所示,匹配信号分别如图6b(d = 0)、图6c(d = 1)和图6d(d = X)所示。图6b-d中的时间轨迹验证了我们的O-TCAM按预期运行。

图6 | 基于MRL的WDM O-TCAM架构的实验结果。
a:搜索信号s(t),来自二进制集合,由实时示波器测量。在信号上方,指示了搜索序列。
b–d:匹配信号,通过实时示波器测量,与存储符号进行比较,分别为符号0(子图b)、符号1(子图c)和符号X(子图d)。匹配决策点用加号符号标记,其中匹配(Match)和不匹配(Mismatch)分别用黑色和红色表示。

此外,我们在Lumerical INTERCONNECT中模拟了1符号MRL基于WDM O-TCAM,并在掉落端口进行监控。MRL被建模为两个连续波(CW)激光器和内容比较引擎与硅光子(SiPh)MRM,该MRM的掉落端口有一个硅锗雪崩光电二极管(APD),其后跟随一个跨阻放大器(TIA)。MRM和APD模型取自我们为超大规模计算互连研究开发的SiPh工艺设计套件(PDK)。来自CW激光器的光代表存储的数据符号,被广播到MRM,MRM被搜索序列调制。此操作模式相当于比较数据符号和搜索符号。仿真设置在补充部分6.2中总结。由于MRM在0和1搜索状态之间具有不相同的插入损耗,因此CW激光器的输出功率设置为补偿这一差异。为了映射所有内容搜索组合,我们将搜索序列设置为X1X0X,并将存储的数据设置为0、1或X。搜索信号驱动MRM以10 Gbps运行,如图7a所示,匹配信号分别如图7b(d = 0)、图7c(d = 1)和图7d(d = X)所示。在这三种情况下,在决策点(由加号标记)处,匹配信号遵循表2中的决策方案。当搜索符号来自二进制集合时,匹配信号的眼图如图7e(d = 0)、图7f(d = 1)和图7g(d = X)所示。开放的眼图验证了我们的O-TCAM按预期工作。MRM的高Q值(Q = 15K),由于当前MRL的波长变化(80 pm)较小,因此需要较高的Q值,这会导致匹配/不匹配脉冲的时间间隔扩展。类似的效应曾在文献[23]中观察到。匹配脉冲之间的干扰以及匹配与不匹配状态之间的对比度,可以通过一种新的MRL设计得到显著改进(按照“设备表征”部分描述的步骤),该设计允许更大的波长偏移,从而提高ER,并允许使用带宽更广的MRM。

图7 | 基于MRL的WDM O-TCAM电路的仿真结果,其中包含单一存储内存和单一引擎单元。
a:搜索信号s(t)。搜索序列为X1X0X。
b–d:在TIA输出端,匹配信号与存储的数据符号0(子图b)、1(子图c)或X(子图d)进行比较。匹配决策点用加号符号标记,其中匹配(Match)和不匹配(Mismatch)分别用黑色和红色表示。
e–g:在TIA输出端的眼图,与数据符号0(子图e)、1(子图f)或X(子图g)进行比较。搜索符号来自二进制集合。

我们进一步分析了基于MRL的O-TCAM架构的能量性能。主要的功耗元件包括MRL、引擎驱动器、TIA和比较器。平台的关键性能和设计规则列在补充部分7中。值得注意的是,内存银行驱动器对总功耗的贡献可以忽略不计,因为数据符号被长期存储在MRL中。图8显示了每个O-TCAM设备对总能量消耗的影响,符号计数为5、10和20。符号计数最多为20个符号,以确保微环的自由光谱范围(FSR)内有足够的通道间距,从而最小化串扰。每个MRL所需的光功率通过O-TCAM电路的链路预算分析确定。在我们的平台中,通过在MRM内集成APD来改善链路预算,从而消除掉落端口损耗。APD的灵敏度水平对应于NRZ信号,其BER为10^-12,这些假设为我们提供了MRL光功率的量级。由于我们的平台能够进行异构集成,我们将所有必要的光子学设备——光源、MRM和光电探测器——集成在一个芯片中。因此,与分离电路设计相比,链路损耗显著减小,导致5符号O-TCAM电路的MRL平均光功率为14 μW。然而,由于当前设备的低壁插效率(WPE)为0.3%,MRL对总能量消耗的影响仍然显著。我们预计,通过改进波导损耗、制造工艺和量子点MRL的高效性,WPE可提高至20%。这将使MRL的电功率降低66倍。

图8 | O-TCAM中各个组件对能量消耗的贡献,符号数为5、10和20个。基于MRL的O-TCAM的总能量消耗由圆形标记表示。

讨论

总之,我们展示了III-V/Si光源中非易失性存储单元的共集成。这使得能够实现能效高、无静态功耗的非易失性波长调谐。演示了一个由5个级联MRL组成的阵列,代表一个光存储库,每个激光器具有4个可编程的非易失性状态,最大波长变化为约80 pm,信号消光比约为40 dB。写入/擦除操作重复进行,最多达到100个周期,且长时间的非易失性持续时间可长达24小时。或者,MRL中的非易失性波长调谐在温度变化的环境中对激光波长锁定非常有益。我们过去的工作表明,由于电流注入加热,激光波长会出现红移,范围为0.097–0.17 nm/mA。通过补充部分6中的改进CTM设计,有可能使MRL在9–16 mA的电流注入值下实现“无温度漂移”,且不消耗任何功率。

我们还相信,这些具有非易失性功能的III-V/Si激光器与无缝异构光子平台结合使用,可以推动神经形态/脑启发的光学网络、光学相控阵、光电通信、未来的光学近存储加速器架构等应用的实现。我们探索了一个应用案例——光学三元内容可寻址存储器(O-TCAM),该存储器设计能够在一个时钟周期内搜索其所有内容。具体来说,我们提出了一种O-TCAM架构,利用级联的MRLs存储数据字,并使用级联MRMs来确定每个搜索符号和数据符号之间的匹配状态。由于我们的方案在波长域中对三元搜索符号和数据符号进行了编码,因此与我们以前的WDM O-TCAM架构相比,微环资源减少了2倍。我们通过仿真验证了该架构,并显示匹配信号符合我们的编码方案。

我们根据平台的关键性能和设计规则分析了O-TCAM架构的能量消耗。在同一设备上对MRLs和MRMs的异构集成最小化了链路损耗,从而使得每个MRL的平均光功率为14 μW。基于MRL的O-TCAM在5个三元符号下的端到端能量消耗为1156 fJ/sym。通过将MRLs的WPE提高到20%,总能量消耗可以减少到703 fJ/sym。虽然集成在光学网络中的电气TCAM具有较低的能量消耗,但它们需要下变频器来调整信号数据率以适应搜索速度。在我们的MRL基础O-TCAM架构中不需要此步骤,从而解决了当前光学网络系统中的内容搜索延迟问题。


方法

制造

本地设备制造始于100 mm的SOI晶圆,其中包含350 nm厚的顶部硅层和2 μm的埋氧化物(BOX)层。通过热氧化和缓冲氟化氢(HF)酸蚀刻,将顶部硅层减薄至300 nm,从而留下干净的硅表面。硅波导通过深紫外(248 nm)光刻步进机定义,并且通过硼掺杂形成p++硅接触。接着,使用同一深紫外步进机分别图案化光栅耦合器、硅肋波导和垂直气体释放通道(VOCs),然后使用氯气(Cl2)基气体化学蚀刻170 nm。

接下来,硅晶圆通过Piranha清洗、缓冲HF酸蚀刻去除硬掩膜。然后,进行氧等离子体清洗,接着执行SC1和SC2清洗。III-V晶圆经过丙酮、甲醇和IPA清洗后,进行氧等离子体清洗,并在NH4OH:H2O(1:10)中浸泡1分钟。接下来,使用原子层沉积(ALD)技术在III-V和Si晶圆上沉积Al2O3介质,目标厚度为每侧5 nm,沉积温度为300°C。两片样品在室温下手工结合,然后在压力下进行300°C(2小时升温)的晶圆键合,总时间为15小时。

晶圆键合后,III-V的背面通过机械磨削直到剩余约100 μm的III-V层。接着,采用湿法蚀刻去除剩余的InP基底,停止在p接触的InGaAs层上。通过氯气(Cl2)基气体化学蚀刻,在奥克斯福德感应耦合等离子体(ICP)蚀刻机中定义III-V的基区,并确保停留在有源量子阱(QW)区域之上。接下来,通过额外的光刻步骤定义有源区域,并湿法蚀刻,留下干净的n接触区域。使用Ge/Au/Ni/Au/Pd/Ti(金/铝/镍/金/钯/钛)的组合沉积在n-InP上作为n接触层,硅的p接触使用Ni/Ge/Au/Ni/Au/Ti(镍/铝/金/镍/金/钛)组合沉积。随后,使用等离子增强化学气相沉积(PECVD)沉积SiO2作为包层材料,之后进行蚀刻孔道的定义。最后,使用Ti/Au金属探针垫进行最终电气接触定义。

非易失性MRL测试的测量设置

100 mm的晶圆通过真空固定到温度可控的不锈钢基座上,使用半自动探针站进行测试。实验设置如补充部分4.1所示。所有非易失性MRL激光器的耐久性和循环性测量均由PC自动化进行。电流注入和MOSCAP相位调谐(可变和不可变)使用Keithley Source Meter(2400)进行。通过光栅耦合器从设备垂直收集光,使用Newport功率计(1936-R)和探测器(818-IG-L-FC/DB)进行光功率测量。光谱使用Yokogawa AQ6370D进行测量。对微环激光器的电气接触通过三接触DC探针完成,其中每个接触代表电流注入、接地和相位调谐电压。

O-TCAM演示的测量设置

实验设置如补充部分4.2所示。使用10%的光分配器观察光谱,剩余90%的光通过Thorlabs铈掺杂光纤放大器(PDFA)进行放大。放大的信号然后耦合到一个微环谐振器(MRR)上,MRL和MRR的温度设置为25°C。通过任意波形发生器(Keysight M8195A)生成搜索信号,随后通过电压放大器(SHF M827A)和直流偏置(Keithley 2400)通过偏置分配器应用到MRR。由于光纤阵列的光纤与高频RF探针之间无法机械对准,使用了直流探针。最后,匹配信号通过Agilent Infiniium示波器(DSA-X 93204A)记录。


关于我们:

OMeda成立于2021年,由3名在微纳加工行业拥有超过7年经验的工艺,项目人员创立。目前拥有员工15人,在微纳加工(涂层、光刻、蚀刻、双光子印刷、键合)等领域拥有丰富的经验。 同时,我们支持4/6/8英寸晶圆的纳米加工。 部分设备和工艺支持12英寸晶圆工艺。针对MEMS传感器、柔性传感器、微流控、微纳光学等行业。

中国(上海)自由贸易试验区临港新片区业盛路188号450室 电话:+86 188 233 40140 邮箱:jing.chen@omeda-optics.com

来源:OMeda

关于我们

OMeda(上海奥麦达微)成立于2021年,由3名在微纳加工行业拥有超过7年经验的工艺,项目人员创立。在微纳加工(镀膜、光刻、蚀刻、双光子打印、键合,键合)等工艺拥有丰富的经验。 同时,我们支持4/6/8英寸晶圆的纳米加工。部分设备和工艺支持12英寸晶圆工艺。针对MEMS传感器、柔性传感器、微流控、微纳光学,激光器,光子集成电路,Micro LED,功率器件等行业。

姓名:*
邮件:*
公司名称:
电话:*
您的需求: