#氧化铝光波 #掺铒氧化铝光波导 #片上光放大器 #氧化铝波导放大器

摘要:我们展示了一种基于多晶Al2O3的封装掺铒波导放大器(EDWA),该放大器表现出高外部光纤到光纤增益、在宽波长范围内稳定的性能以及对温度变化的良好鲁棒性。该设备与光纤阵列和热电控制系统集成,有助于高效表征和实际部署。在1480 nm的双向泵浦下,50厘米长的波导放大器实现了24 dB的外部净增益,并在1550 nm时输出功率超过54 mW。该放大器展现了宽广的增益带宽,覆盖整个C波段并延伸至L波段,外部净增益在90纳米范围内(1525–1615 nm)进行了测量。温度依赖的测试结果表明,放大器在高达95°C的温度下仍保持良好性能,在小信号模式下外部净增益为17 dB。这些结果突出了多晶Al2O3:Er3+作为高性能光学放大平台在光子集成电路中的潜力。
#0:10mm-10mmsto衬底-bto薄膜(300nm厚度可定制)
#1:sto外延片
2寸 外延 sto 2-20nm(可定制)- 2um Sio2(可定制) -Si(可定制)
#2:a向 bto外延片
2寸 外延 a-向 bto(300nm或者500nm,或者定制)-sto 8nm(可定制)- 2um Sio2(可定制) -Si(可定制)
#3:C向 bto外延片
2寸 外延 c-向 bto(150nm或者300nm,或者定制)-sto 8nm(可定制)- 2um Sio2(可定制) -Si(可定制)
#离子注入铒代工
#6寸DUV步进式光刻代工,最小线宽180nm,超高性价比,可以只曝光
#快速氮化硅硅光铌酸锂流片 #高性价比 #低成本
#提供8寸 8umSiO2热氧片,6寸15um热氧片 10um热氧片 8寸10um热氧片
室温低损伤@GCIB抛光代工@束斑小(4-5mm)更均匀
#降低硬质材料化合物晶圆等绝大多数材料的表面粗糙度,比如金刚石 ,磷化铟,砷化镓,碳化硅
#提高复合衬底和镀膜膜层的器件层膜厚均匀性,
比如SOI LNOI LTOI SICOI 等 SMARTCUT得到的薄膜
或者镀膜所得到的膜层 ,比如镀了一层氮化硅,但是由于是cvd镀膜所得到的,表面的膜厚精度很差,粗糙度很差,可以通过粗糙度初步降低粗糙度,然后通过GCIB团簇离子束抛光来修整整面的膜厚均匀性 到0.5%以下举例:
未经过Trimming 工艺的 6寸LN/LTOI晶圆 数据:
Range:100-200A
经过Trimming 工艺的 6寸LN/LTOI晶圆 数据:
Range:60A以内
SOI晶圆:--220nm薄膜/ 3um厚膜-3umSIO2-675umALOOI晶圆;--氧化铝薄膜晶圆,键合工艺和镀膜工艺
TAOOI晶圆--氧化钽薄膜晶圆,镀膜工艺
SINOI晶圆--超低损耗氮化硅薄膜晶圆,210nm-300nm-400nm-800nm
SICOI晶圆;新型量子光学平台500nm-700nm-1um
6寸LTOI晶圆批量供应;铌酸锂的有力的竞争对手,薄膜钽酸锂晶300600
8寸LNOI晶圆;8寸LNOI助力更大规模薄膜铌酸锂产品量产
LN/LT-SOI/Si/SIN W2W&D2W异质集成
流片: 6寸 氮化硅 铌酸锂 硅光 超高性价比流片, 1个BLOCK的价格买一整片晶圆
划重点--全国产-超高性价比-6 寸硅光-氮化硅-铌酸锂流片白皮书
我们为客户提供晶圆(硅晶圆,玻璃晶圆,SOI晶圆,GaAs,蓝宝石,碳化硅(导电,非绝缘),Ga2O3,金刚石,GaN(外延片/衬底)),镀膜(PVD,cvd,Ald,PLD)和材料(Au Cu Ag Pt Al Cr Ti Ni Sio2 Tio2 Ti3O5,Ta2O5,ZrO2,TiN,ALN,ZnO,HfO2。。更多材料),键合(石英石英键合,蓝宝石蓝宝石键合)光刻,高精度掩模版,外延,掺杂,电子束光刻等产品及加工服务(请找小编领取我们晶圆标品库存列表,为您的科学实验加速。
请联系小编免费获取原文
文章名:Broadband Packaged Erbium-Doped Polycrystalline Al2O3 Waveguide Amplifier with 24 dB External Net GainC. E. OSORNIO-MARTINEZ,1,2,†
D. B. BONNEVILLE,1,2,†
M. DIJKSTRA,1 A. R. DO NASCIMENTO JR.,3
AND S. M. GARCÍA-BLANCO1,2,
1Integrated Optical Systems, MESA+ Institute for Nanotechnology, University of Twente, 7500 AE Enschede,The Netherlands
2ALUVIA Photonics, 7500 AE, Enschede, The Netherlands
3PHIX B.V., 7500 AE Enschede, The Netherlands
1. 引言
光子集成电路(PICs)已成为多种应用的关键技术,包括相干光通信【1,2】、激光雷达(LiDAR)【3,4】和卫星间通信【5】。对紧凑型、可扩展、高性能光学放大器的需求日益增加,推动了将光增益介质直接集成到光子芯片上的重大努力。在现有的解决方案中,掺铒波导放大器(EDWAs)已经成为半导体光放大器(SOAs)和掺铒光纤放大器(EDFAs)的有力替代方案,提供高增益、低噪声系数,并且与大规模制造技术兼容。
尽管SOAs和EDFAs被广泛使用,但它们存在固有的局限性,限制了它们在许多集成光子学应用中的采用。SOAs依赖半导体增益介质,表现出高功耗【6】和对温度变化的显著敏感性【7-9】。这迫使它们需要主动的热控制和管理来维持稳定的性能,从而进一步增加了它们的操作功率需求。此外,它们的高非线性和短的激发态寿命导致增益和相位动态强烈依赖瞬时泵浦和信号功率【6】,使得它们不适合需要高信号保真度或宽带操作的应用。另一方面,尽管EDFAs提供了卓越的增益和低噪声系数【10】,但它们的手动组装和体积庞大使得它们不适合用于可扩展和紧凑型设备。
铝氧化物(Al2O3)是掺铒离子的优良宿主材料,因其具有高溶解度【11】、低传播损耗【12】、线性特性以及与CMOS制造工艺的兼容性【13】。传统上,掺铒波导放大器(EDWAs)已经在无定形Al2O3中得到了验证【14-17】。然而,最近的研究表明,多晶Al2O3提供了更好的光学特性,特别是在较低的背景损耗【18】和更高的功率承受能力【19】方面。使用多晶Al2O3能够提高器件性能,同时保持与现有光子平台的兼容性。在之前的研究中,已展示了外部光纤到光纤增益,采用溅射法制备的掺铒多晶Al2O3波导放大器【13】,展示了其在大规模光子集成中的潜力。此外,这些放大器与硅氮化物(Si3N4)等无源光子平台的单片集成也已实现【17,20】,这是朝着主动-被动集成光子电路的重要一步。一个关键的挑战是将这些放大器无缝集成到更大的光子系统中,适用于商业应用的相关环境。
SOA放大器的封装要求较高,因为它们需要两个光学对准(输入和输出),使用光纤或透镜,同时需要主动热控制和密封外壳。相比之下,EDWA封装可能更具成本效益,因为它只需要一个光学对准(在同一PIC侧面进行输入和输出),不需要热控制(如本文所述,放大器在宽温度范围内保持良好的性能),并且可以使用简单、低成本的外壳进行机械保护,且易于制造并可定制以适应各种应用。考虑到组装过程的成本可能是芯片制造的四倍【21】,上述优点能够显著提高产品的毛利率,并减少EDWA在现有系统中的集成时间。然而,泵浦激光器的集成仍然是一个开放的挑战,因为EDWA是光泵浦的,而SOA是电泵浦的。为解决这一问题,正在探索几种可扩展的解决方案,包括异质和混合集成技术,如微转印印刷【22】、端面耦合【23】或倒装芯片粘接【24】。其他关键组件的单片集成,如波长分复用器(WDMs)【17,20】和光隔离器【25】,也已得到验证。
在这项工作中,我们展示了一种基于多晶Al2O3的宽带掺铒波导放大器的封装。该设备的封装包括输入和输出光纤阵列附件以及热电控制,在我们的测试过程中提高了其光学稳定性和可靠性。我们展示了24 dB的外部净增益和超过54 mW的芯片外输出功率,使该放大器在与之前在离子注入Si3N4中展示的工作相比具有高度竞争力和可扩展性【26】。此外,我们还研究了封装放大器的温度依赖性,表明其在高达95°C的温度下仍保持良好的性能,这一点相对于需要主动热稳定的SOA具有显著优势。
2. 制造与封装
Al2O3:Er³⁺波导被设计为在泵浦波长(1480纳米)和信号波长(1520至1640纳米)下支持横向电(TE)偏振的单模操作,波导的厚度为770纳米,宽度为1.75微米。芯片的输入和输出端设计了边缘耦合器,耦合器的尖端宽度为200纳米,以最小化光纤到芯片的耦合损耗,考虑到所用光纤(PM15-U25D,康宁公司)在1550纳米时的模场直径(MFD)为10.5 ± 0.5微米。耦合器的尖端在1毫米的长度范围内线性锥形渐变,以确保逐渐的模态过渡。为了表征光纤到芯片的耦合损耗并促进器件封装过程,设计中还包含了耦合环。
本研究中的器件采用与[13]中报告的同一批次的晶圆制造,后者展示了一个30厘米长的放大器。在本研究中,波导的长度增加到了50厘米(最小弯曲半径为450微米),以研究更高外部净增益的潜力。为了清晰起见,下面简要描述了主要的制造步骤;然而,关于薄膜和波导特性表征的更多细节可以在[13]中找到。
图1
a) 显微镜图像,展示了一个1.5 cm × 1 cm的芯片,芯片上包含三个50厘米长的波导放大器和位于芯片两面上的耦合环。
b) 波导横截面的扫描电镜(SEM)图像,叠加了在1550纳米时基模TE模式的模拟电场分布。
c) 表征封装,显示了组装的主要组件,包括带有波导放大器的芯片,正在通过使用保持偏振的光纤阵列进行1480纳米的双向泵浦。
掺铒Al2O3薄膜通过反应性射频磁控溅射(AJA ATC 1500)沉积,遵循[13]中描述的程序,使用高纯度的Al(99.9995%)和Er(99.9%)固体靶材,在O2气氛中实现多晶Al2O3:Er³⁺。使用可变角度光谱椭圆偏振仪(VASE,Woollam M-2000UI)在制造样品位置进行了测量,确定薄膜厚度为770 ± 2纳米,1550纳米处的折射率为1.717 ± 0.001。掺铒浓度被确定为1.5 × 10²⁰离子/cm³,1550纳米处的背景传播损耗低于0.1 dB/cm,如[13]中所报告。
波导放大器通过电子束光刻(EBL)使用负性光刻胶(AR-N 7520.18)和反应离子刻蚀(RIE)技术进行图案化【27】。之后,晶圆被包覆上两层SiO2:首先是高质量的LPCVD TEOS层(约1微米厚),然后是约6微米厚的PECVD沉积的SiO2层。包覆沉积后,晶圆在N2环境中退火。图1(a)展示了切割后的芯片,包含三个50厘米长的波导放大器和位于芯片两面上的耦合环。图1(b)显示了通过聚焦离子束(FIB)铣削和抛光准备的波导横截面,叠加了1550纳米处的模拟基模TE模式剖面。
芯片使用PHIX B.V.提供的标准表征封装进行封装,封装过程中包括在垂直方向上以8度角度抛光芯片的两侧,以减少背反射并促进对准。然后,将抛光后的保持偏振(PM)光纤阵列固定到芯片上,使用一种环氧树脂进行机械固定,同时保持与光学路径邻近,避免直接暴露于引导光中,确保与高功率操作兼容。表征封装还包括一个热电冷却器(TEC)和集成的热敏电阻器,使得PIC能够在最高95°C的温度下稳定工作。此类型的光子集成装配对于在不同温度下可靠的表征至关重要;然而,也可以采用简化的组装工艺,以实现大规模生产。图1(c)展示了封装后的掺铒波导放大器的数字图像。
3. 实验结果
封装后的EDWA使用图2(a)所示的光学系统进行了表征。两台泵浦激光二极管,波长为1480纳米,用于对50厘米长的波导放大器进行双向泵浦,光隔离器保护泵浦二极管。可调激光器(Agilent 8164B)作为信号源,用于低功率测量(即-35 dBm到6 dBm),波长范围为1525至1640纳米。对于1550纳米的高功率表征,专用激光二极管(Aerodiode, 1550LD-3-0-0)提供高达约16.5 dBm的信号功率。光纤波长分复用器(WDM)(AFW Technologies, 1470 ± 20 nm/1580 ± 50 nm)用于结合和分离泵浦和信号波长。一个自由空间长通滤光片(FELH1500,Thorlabs Inc.)被放置在WDM输出之后,以去除任何残余的泵浦信号。通过光谱分析仪(OSA,Yokogawa AQ6375E)以0.1纳米的分辨率测量放大的信号,这是进行准确噪声系数表征的必要条件【28】。为了校准系统损耗,入射功率(即第一WDM输出和封装设备输入光纤阵列之间的功率)通过经过校准的功率计(PM)和OSA进行了测量。这些测量之间的差异对应于OSA-光纤接口的连接损耗(αOSA),其被确定为1.04 dB。测量的入射功率已经包括了系统中第一个部分的光学组件(例如光纤、光隔离器、连接器和第一个WDM)的贡献,这些组件位于封装设备之前。接下来,通过在OSA处测量通过设置的总传输功率,芯片被移除并由直接的光纤到光纤连接替换。通过比较这个传输功率并减去入射功率,可以计算出放大信号在泵浦测量过程中经历的损耗。从这些测量中,确定第二部分设置的损耗(αout)为3.4 dB。这包括来自光学组件(如光纤、连接器、滤光片和第二WDM)的贡献以及OSA-光纤接口损耗(αOSA)。
封装设备的光纤到芯片耦合损耗作为波长的函数进行了表征,使用了芯片两侧的耦合环,如图1(a)所示。这些耦合环的长度为2.9毫米,最小弯曲半径为63.5微米,通过线性边缘耦合器连接了光纤阵列的相邻通道,这些耦合器与放大器波导中使用的耦合器相同。可调激光器连接到光纤阵列的一个通道,而来自相邻通道的输出被引导到探测器端口,从而实现了光纤到芯片再到光纤的传输测量。光谱数据经过归一化处理,以直接的光纤到光纤参考为基准,去除外部设置的影响,且总插入损耗除以2,以提取每个面上的平均耦合损耗。波长依赖的耦合损耗结果如图2(b)所示。在泵浦波长(1480纳米)下,每个面的耦合损耗测量为2.8 dB,而在信号波长范围(1520至1640纳米)内,耦合损耗在1.74至2.5 dB之间变化。封装放大器的外部净增益(gexternal),从输入到输出光纤阵列进行测量,通过OSA测量的输出功率与入射功率的比值计算,经过设置的光学插入损耗校正。
gexternal (dB) = (Pout + αout) − (Pinc + αOSA)
图2
a) 用于封装放大器表征的光学设置。采用双向泵浦方案和两个信号源,分别用于低功率和高功率信号。
b) 每个面上的耦合损耗随波长变化的测量结果。
c) 外部净增益随片上泵浦功率的变化,对于两种不同信号功率的情况。
d) 外部净增益和e) 输出信号功率随入射信号功率变化的结果,波长为1550纳米,最大泵浦功率为25.6 dBm。
在表征过程中,使用了折射率匹配胶(G608N3,Thorlabs Inc.)涂抹在PIC的输入和输出面上,以进一步抑制寄生激光,这些寄生激光并未完全被斜面抛光所消除。将胶水涂抹在顶部,使其能够流入光纤阵列和芯片面之间的接口,从而减少在高增益操作期间的残余反射。图2(c)展示了外部净增益随片上泵浦功率的变化,对于1550纳米的两种入射信号功率水平。较低的功率水平(-22 dBm)对应于EDFA表征中常用的标准小信号基准,而较高的功率水平(-2 dBm)则用于探索在中等输入功率下放大器的性能。片上泵浦功率是通过将正向和反向入射泵浦功率相加,并减去耦合损耗(2.8 dB/面)计算得到的。在这些测量中,两个泵浦二极管的功率是对称增加的。对于入射信号功率为-22 dBm且片上泵浦功率为25.6 dBm(约363 mW)时,达到了最大外部净增益约23.7 dB。增益尚未完全饱和,表明随着泵浦功率的增加,增益可能会进一步提高,但这超出了当前设置的能力范围。图2(d)展示了在1550纳米下,固定泵浦功率(片上功率为25.6 dBm)时,外部净增益随入射信号功率的变化。在小信号区域,饱和功率(即外部净增益从最大值下降3 dB时的信号功率)大约为-13 dBm;然而,外部净增益在入射信号功率高达16.3 dBm时仍然存在。图2(e)展示了在输出光纤阵列测量的对应输出信号功率,最大值为17.4 dBm(约54 mW)。补偿信号耦合损耗(2.04 dB/面)后,这对应于片上信号输出功率约88 mW。根据这些数值,片上功率转换效率(即片上信号功率的净增量与总片上泵浦功率的比值)计算为16.3%。作为对比,当前最先进的SOAs的片上功率转换效率约为10%【29】。
封装光放大器的增益性能在小信号区间(即入射信号功率为-22 dBm)下,作为信号波长(1525 – 1640 nm)的函数进行了表征,同时保持片上泵浦功率为25.6 dBm。图3(a)展示了外部净增益随波长的变化,在1556纳米处测得了峰值增益为24.3 dB。封装放大器在90纳米波长范围内(1525 – 1615 nm)展示了外部净增益,覆盖了整个C波段和部分L波段。图3(b)展示了封装放大器的噪声系数(NF)随波长变化的情况,噪声系数是使用插值源减法法计算的,按照IEC 61290-10-4:2007标准【28】所述的方法进行计算,使用的公式为:
NF (dB) = PASEamp − gexternal − 10log10(hvB0) (1)
其中,PASEamp是由封装放大器添加的放大自发辐射(ASE)噪声,计算公式为:
PASEamp(dBm) = 10log10(10PASE/10 − 10(gexternal+PSSE)/10) (2)
这里,PASE是输出光纤阵列处的ASE功率(以dBm为单位),并经过设置损耗(αout)校正,光带宽为B0(Hz)。gexternal是放大器在光频率v(Hz)下的外部净增益(以分贝为单位)。PSSE表示入射信号的噪声功率(dBm),在封装之前测量并经过OSA-光纤接口损耗(αOSA)校正,h是普朗克常数(单位:mJ·s)。图3(c)展示了用于噪声系数计算的光谱示例,对应于图3(b)中红框高亮显示的数据点。校正后的光谱显示,入射信号功率为-22.1 dBm时,信号输出功率为1.50 dBm,对应的外部净增益为23.6 dB。ASE功率(PASE)为-29.8 dBm,信号噪声功率(PSSE)为-76.3 dBm,这些值是从信号峰值相距2纳米的噪声底部插值得到的。将这些值代入公式(1)和(2),得到1553纳米信号波长下的光纤到光纤噪声系数为4.6 dB。
图3
a) 外部净增益随信号波长变化的图像,入射功率为-22 dBm。
b) 随波长变化的噪声系数图像。
c) 输入信号和放大信号的校正光谱,用于计算噪声系数。
d) 叠加的校正光谱,展示了输出信号功率随波长的变化。绿色区域突出显示了外部净增益的实现范围。
图3(d)叠加了输出光谱,经过设置损耗(αout)校正,突出显示了材料相关损耗、耦合损耗和外部净增益的区域。
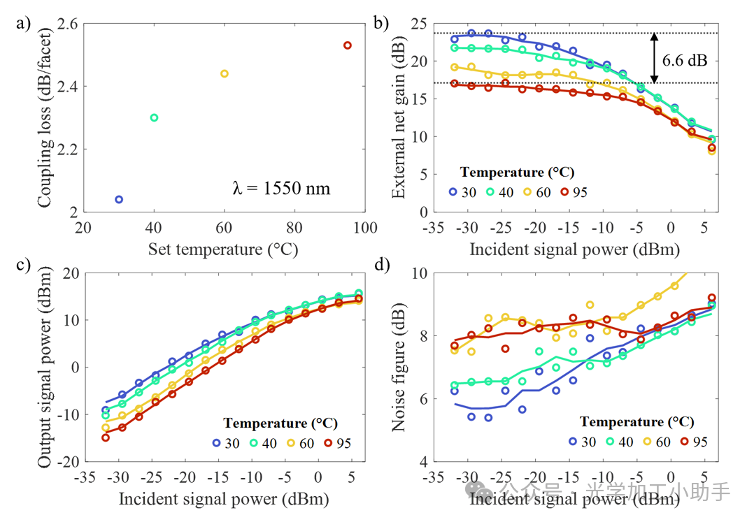
封装放大器的温度依赖性使用TEC控制器进行了表征。1550纳米波长的耦合损耗通过输出面上的耦合环进行监测,结果如图4(a)所示。从30°C到95°C,耦合损耗增加了0.5 dB,这可以归因于热膨胀引起的光纤错位。外部净增益随信号功率的变化也在相同的温度范围内进行了测量,如图4(b)所示。增益的减少在较低信号功率下更加明显,下降了6.6 dB,而在较高入射信号功率下,外部净增益仅减少了1.6 dB。这种行为部分可以通过温度增强的信号再吸收来解释,在小信号区间这种效应更加显著,因为此时人口反转最高。在较高温度下,Er³⁺离子在人为能级之间的分布使得信号波长的吸收截面比发射截面增大,这种不对称性增强了低信号功率下的再吸收损失。相比之下,在较高信号功率下,反转部分被受激发射耗尽,使得增益对这种温度诱导的再吸收效应的敏感度降低。这些趋势与掺铒光纤的温度依赖光谱学研究一致,这些研究报告了温度对吸收截面的类似影响【30】。
除了再吸收效应外,泵浦光功率的减少也导致了观察到的增益下降。随着温度升高,耦合损耗的增加导致到达波导放大器的泵浦光减少,从而导致反转降低。根据图2(c)中展示的结果,估算泵浦功率减少对小信号增益的影响约为减少2.3 dB。然而,在较高信号功率下,泵浦减少的影响较小,计算出的增益减少约为0.8 dB。这个贡献与再吸收机制无关,解释了在整个输入信号功率范围内观察到的温度依赖的增益下降部分原因。
图4
a) 随温度变化测得的每个面的耦合损耗。
b) 外部净增益,
c) 输出信号功率,
d) 噪声系数,
作为入射信号功率的函数,分别在不同温度下进行测量。
图4(c)展示了不同温度下,输出信号功率随入射信号功率的变化,结果与增益测量趋势一致。类似地,图4(d)展示了噪声系数的温度依赖性,特别是在较低的入射信号功率下,噪声系数从5.4 dB上升至8.5 dB。噪声系数的上升归因于高温下反转减少和过剩噪声增强的共同作用。随着增益的下降,放大器的自发辐射在输出信号中所占的比例增大,导致信噪比下降。这种行为与噪声系数的理论公式一致,公式中考虑了自发噪声和过剩噪声的贡献【31】。尽管如此,封装放大器在95°C下的性能仍与在室温下运行的商业SOA(SOA1117S,Thorlabs Inc.)相当【32】,显示了封装EDWA在高温应用中的优势,且无需主动热稳定。进一步的研究表明,SOA在25°C到100°C的温度范围内,峰值增益减少了约10 dB【9】,这表明半导体放大器的显著热敏感性。相比之下,我们的封装EDWA在小信号区间保持17 dB的外部净增益,并且在95°C时,在较高信号水平下输出功率超过25 mW。对于封装中所需额外元件(如WDM、泵浦和光隔离器)的热效应,未来的研究将集中在这些因素上,研究的结果将取决于实施方法和材料选择。
4. 总结
我们展示了一种基于多晶Al2O3的宽带封装掺铒波导放大器(EDWA),实现了高外部光纤到光纤增益、低噪声系数,并在宽广的波长范围内稳定运行。该设备封装包括光纤阵列附件和热电控制,确保了在表征过程中和环境温度变化不受控的情况下稳定的性能。表征结果显示,在1480纳米的双向泵浦下,1550纳米时放大器实现了最高外部净增益24 dB,芯片外输出功率超过54 mW。该放大器展现了覆盖整个C波段和部分L波段的宽增益带宽,同时在高达95°C的温度下保持良好的性能。噪声系数在工作波长范围内进行了测量,最小值为1553纳米时的4.6 dB。
这些结果进一步证明了多晶Al2O3:Er³⁺作为一种可扩展和可靠的波导放大器和激光器平台的潜力。未来的工作将集中于完全集成的EDWA,结合片上泵浦激光器和光隔离器,进一步提高其在大规模实施中的实用性。