摘要
负电荷硅空位(SiV⁻)中心在钻石中是固态量子记忆的领先候选者,能够通过电磁波或声波进行控制。后者尤为有前景,因为SiV⁻对应变的强响应,使得自旋-声子相互作用强度较大。实际上,已经证明了通过表面声波(SAW)进行相干自旋控制,这对于开发片上声学量子网络至关重要。然而,钻石缺乏压电性,因此需要与压电材料接口,以高效地将声波传递到钻石中的自旋上。在此,我们展示了一种异质集成的声学平台,将薄膜铌酸锂(TFLN)与钻石结合,以实现对单个SiV⁻自旋的声学控制。此外,通过利用SiV⁻位置的强表面声波诱导的应变,我们实现了对电子自旋的相干声学控制,与基于氮化铝-钻石的最新设备相比,Rabi频率提高了两倍以上。这项工作是实现基于声子的量子信息处理系统的关键一步。
#金刚石和铌酸锂键合片
#0:10mm-10mmsto衬底-bto薄膜(300nm厚度可定制)
#1:sto外延片
2寸 外延 sto 2-20nm(可定制)- 2um Sio2(可定制) -Si(可定制)
#2:a向 bto外延片
2寸 外延 a-向 bto(300nm或者500nm,或者定制)-sto 8nm(可定制)- 2um Sio2(可定制) -Si(可定制)
#3:C向 bto外延片
2寸 外延 c-向 bto(150nm或者300nm,或者定制)-sto 8nm(可定制)- 2um Sio2(可定制) -Si(可定制)
#离子注入铒代工
#6寸DUV步进式光刻代工,最小线宽180nm,超高性价比,可以只曝光
#快速氮化硅硅光铌酸锂流片 #高性价比 #低成本
#提供8寸 8umSiO2热氧片,6寸15um热氧片 10um热氧片 8寸10um热氧片
室温低损伤@GCIB抛光代工@束斑小(4-5mm)更均匀
#降低硬质材料化合物晶圆等绝大多数材料的表面粗糙度,比如金刚石 ,磷化铟,砷化镓,碳化硅
#提高复合衬底和镀膜膜层的器件层膜厚均匀性,
比如SOI LNOI LTOI SICOI 等 SMARTCUT得到的薄膜
或者镀膜所得到的膜层 ,比如镀了一层氮化硅,但是由于是cvd镀膜所得到的,表面的膜厚精度很差,粗糙度很差,可以通过粗糙度初步降低粗糙度,然后通过GCIB团簇离子束抛光来修整整面的膜厚均匀性 到0.5%以下举例:
未经过Trimming 工艺的 6寸LN/LTOI晶圆 数据:
Range:100-200A
经过Trimming 工艺的 6寸LN/LTOI晶圆 数据:
Range:60A以内
SOI晶圆:--220nm薄膜/ 3um厚膜-3umSIO2-675umALOOI晶圆;--氧化铝薄膜晶圆,键合工艺和镀膜工艺
TAOOI晶圆--氧化钽薄膜晶圆,镀膜工艺
SINOI晶圆--超低损耗氮化硅薄膜晶圆,210nm-300nm-400nm-800nm
SICOI晶圆;新型量子光学平台500nm-700nm-1um
6寸LTOI晶圆批量供应;铌酸锂的有力的竞争对手,薄膜钽酸锂晶300600
8寸LNOI晶圆;8寸LNOI助力更大规模薄膜铌酸锂产品量产
LN/LT-SOI/Si/SIN W2W&D2W异质集成
流片: 6寸 氮化硅 铌酸锂 硅光 超高性价比流片, 1个BLOCK的价格买一整片晶圆
划重点--全国产-超高性价比-6 寸硅光-氮化硅-铌酸锂流片白皮书
我们为客户提供晶圆(硅晶圆,玻璃晶圆,SOI晶圆,GaAs,蓝宝石,碳化硅(导电,非绝缘),Ga2O3,金刚石,GaN(外延片/衬底)),镀膜(PVD,cvd,Ald,PLD)和材料(Au Cu Ag Pt Al Cr Ti Ni Sio2 Tio2 Ti3O5,Ta2O5,ZrO2,TiN,ALN,ZnO,HfO2。。更多材料),键合(石英石英键合,蓝宝石蓝宝石键合)光刻,高精度掩模版,外延,掺杂,电子束光刻等产品及加工服务(请找小编领取我们晶圆标品库存列表,为您的科学实验加速。
请联系小编免费获取原文
文章名:Thin Film Lithium Niobate on Diamond (LiNDa) platform for Efficient Spin-Phonon Coupling作者:Zhujing Xu1*, Sophie Weiyi Ding1,2, Eliza Cornell1, Salma Mohideen1,3, Matthew Yeh1, Kazuhiro Kuruma1,4, Leticia Magalhaes1, Amirhassan Shams-Ansari1,5, Benjamin Pingault6,7 and Marko Lončar1*单位:1 John A. Paulson School of Engineering and Applied Sciences, Harvard University, Cambridge, Massachusetts, USA. 2 AWS Center for Quantum Computing, San Francisco, California, USA. 3 Department of Physics, Stanford University, Stanford, California, USA.
4 Research Center for Advanced Science and Technology, The University of Tokyo, Tokyo, Japan.
5 DRS Daylight Solutions, 16465 Via Esprillo, San Diego, California, USA.
6Center for Molecular Engineering and Materials Science Division, Argonne National Laboratory, Lemont, Illinois, USA.
7 Pritzker School of Molecular Engineering, University of Chicago, Chicago, Illinois, USA.
引言
量子声学的最新进展推动了多个平台上的声子介导量子系统的发展,包括超导量子比特(1-8)、固态量子发射体(9-13)、量子点(14-16)和光子学(17-19)。在这些平台中,负电荷硅空位(SiV⁻)中心在钻石中已成为有前景的长期量子记忆和可扩展量子网络节点的候选者(20, 21)。此外,SiV⁻自旋具有较高的应变敏感性(22, 23),从而能够高效地与声子耦合(24, 25)。值得注意的是,声波已经被证明能够相干地驱动负电荷硅空位(SiV⁻)中心中的电子自旋和核自旋,并且其耦合效率比通过直接微波驱动获得的效率高出两个数量级(10, 26)。这些实验展示了量子信息处理中机械自由度的独特优势。
然而,这些实验依赖于将钻石与压电材料进行接口,以有效激发表面声波(SAW),因为钻石本身不具有压电特性。在可用材料中,单晶薄膜铌酸锂(TFLN)由于其强压电性(𝑑!" = 𝑑#$ ∼ 70 𝑝𝐶/𝑁(27))和低声学损耗,已经被用来实现高频机械谐振器(28-30)、高品质因子MEMS谐振器(31, 32)、声学延迟线振荡器(33-35)、量子转换器(18, 36)、集成声子电路(37, 38)、声光调制器(39, 40)和波束控制系统(41-44)。此外,TFLN还具有多个非零的压电张量分量,能够生成强大且可控的应变场,从而增强在混合量子系统中的自旋-声子耦合。尽管TFLN在量子声学中展现出显著的前景,但迄今为止其与钻石的集成仅限于光子应用(45),而其在高性能声学器件中的潜力仍然未被探索。
在这项工作中,我们展示了薄膜铌酸锂在钻石上的异质集成(LiNDa),这是实现高性能表面声波量子器件的新平台(图1(C))。我们的方法依赖于微转印技术(46),将TFLN膜转移到钻石基板上,之后通过标准的微加工工艺在LN器件层上制造互指换能器(IDTs)。利用这种异质集成的LiNDa平台,我们实现了一个双向表面声波(SAW)器件,其中央共振频率约为3.8 GHz,固有质量因子为2450。借助这一平台,我们展示了Rabi频率的提高超过两倍,与先前报道的结果(10)相比,目前的限制来自于未优化的自旋位置和低温冷却装置中的污染。我们的结果展示了将钻石中的自旋与集成声学平台结合的关键一步。LiNDa平台提供了高效的微波和声学信号之间的双向转换,显示出它作为一个声学链接的潜力,连接超导量子处理器与固态材料中的基于自旋的量子存储器(47)。此外,这种新型结构在满足对高频、大带宽射频前端滤波器日益增长的需求方面具有巨大的潜力,特别是在新兴的5G通信标准中具有重要的应用价值(48, 49)。
结果

图1. 在异质集成薄膜锂铌酸盐(TFLN)和金刚石平台上的表面声波(SAW)器件。
(A) 异质集成薄膜锂铌酸盐和金刚石(LiNDa)平台上实现的SAW器件示意图。一个600纳米厚的x-cut TFLN层被转移到金刚石上并通过范德华力进行粘接。铝制的指间电极(IDTs)图案化在TFLN的顶部,以有效地转换声波。
(B) 模拟的SAW模式的横截面。共有五种基本模式,包括两种剪切模式(S1和S2)和三种瑞利模式(R1、R2和R3)。
(C) 在该异质平台上的SAW器件的光学图像。SAW沿着LN的z方向传播。IDTs双向发射声波,并作为声波的反射镜。
(D) 在一个30微米长的SAW器件上的频域测量(长度定义为两个IDTs之间的距离),如(B)所示。该器件支持所有五种基本SAW模式,它们的共振频率分别为2.41 GHz、2.62 GHz、3.82 GHz、4.57 GHz和5.14 GHz,而理论预测的五种基本模式频率为2.69 GHz、2.93 GHz、4.17 GHz、5.15 GHz和5.94 GHz。频率差异来自制造缺陷、薄膜锂铌酸盐厚度的变化以及来自IDTs的质量负载效应。
(E) 放大的R2模式。最大传输 𝑆21 在3.8 GHz时为-10.7 dB,3dB带宽大于300 MHz。反射和传输测量(𝑆11 和 𝑆21)显示由两组IDTs之间的反射形成的一系列均匀间隔的腔模式。
我们的表面声波(SAW)器件是基于电子级单晶钻石(Element Six)制作的,顶部覆盖了600纳米厚的x切TFLN薄膜。我们选择了LN的z轴作为SAW的传播方向。我们从商业TFLN晶圆(NanoLN)上释放出大小为250 μm × 200 μm的TFLN膜。然后,通过微转印技术将TFLN膜转移到钻石基板上(46)。TFLN和钻石通过范德华力牢固结合在一起。最后,在TFLN上使用电子束光刻(EBL)定义金属互指换能器(IDTs),并进行金属沉积和剥离(详细制造工艺见附加材料)。IDT手指之间的间距决定了声波的波长,选择1.7 μm对应于3.8 GHz的生成SAW频率。换能器能够有效地将电信号转化为声信号,并可以激发该异质结构中的所有五种基本声学模式,包括两种剪切模式和三种雷利模式。通过有限元建模获得的支持SAW模式的分布如图1B所示。
设备首先通过矢量网络分析仪进行表征。我们对一个传播长度为30 μm的设备进行频域测量(如图1C所示),揭示了所有五种模式。第三个共振峰对应于其中一个雷利模式,显示出最高的传输率,因其具有良好的阻抗匹配,并且在所有基本模式中具有最高的机电耦合效率(图1C)。雷利模式的相速度被测量为约6477 m/s,与模拟值6990 m/s相吻合。轻微的差异来源于波导方向、IDT间距和TFLN厚度的制造不确定性。雷利模式的3dB带宽大于300 MHz,由IDT使用的手指数量决定。雷利模式的最大传输𝑆!#在3.8 GHz时测量为-10.7 dB,传播长度为30 μm,比之前报道的铝氮化物在钻石上的SAW传输(10)提高了10 dB。高传输率来自TFLN的低声学损耗和高机电效率,以及LN和钻石之间的低损耗界面,证明了我们异质集成的质量。我们注意到,不像光子学中的微转印实例,我们的方法没有使用任何中间层,如苯环丁烯(BCB)(50–52),来增强LN和钻石之间的附着力,而是完全依赖干净且正确终止的界面和范德华力。通过IDT的传输在理论上受到-6 dB的限制,因为生成的声波在两个方向上对称发射。这个限制可以通过采用单向换能器(UDTs)来克服,单向换能器优先在一个方向上发射声波(53–55)。
由于铝制互指换能器(IDTs)可以作为传播表面声波(SAWs)的反射镜,因此在两个IDTs之间形成了一个声学腔。图2A中的反射谱揭示了一系列均匀间隔的腔模式,自由光谱范围(FSR)为52.6 MHz,对于一个具有较长声学腔(d = 50 μm)的设备。这使我们能够评估腔的有效长度,并确定SAW在每个IDT中的穿透深度。我们发现穿透深度为𝐿% = 4.3 μm,这与每个IDT电极的反射率|𝑟&| ~ 10%相对应(56)。由金属镜子约束的SAW腔通常由于金属包覆区和未包覆区之间的小速度对比而具有较弱的约束性(57)。因此,通常需要使用大量IDT以实现高反射率,这会导致设备占地面积增大并增强欧姆损耗。与此相反,LiNDa平台上实现的金属镜子提供了显著更强的约束力,每个电极的反射率超过了石英上的金属法布里-珀罗腔(56)、氮化镓(GaN)-蓝宝石(sapphire)上的刻蚀槽腔(58)以及砷化镓(GaAs)上的刻蚀槽腔(15)。增强的反射率来源于TFLN的强机电耦合和TFLN与钻石之间的高声学折射率对比。这使得减少金属镜子数量成为可能,从而最小化欧姆损耗并简化制造工艺。

图2. 平面SAW腔体的微波特性测试。
(A) 一个50微米长的SAW器件的频域测量。铝制IDT电极作为反射镜形成法布里-佩罗腔。观察到一系列均匀间隔的腔模式,并测量到自由谱范围(FSR)为52.6 MHz。
(B) 在4.08 GHz处的腔模式用洛伦兹函数拟合,得到整体Q因子为2100。这对应于内在的 𝑄' 为2450。
(C) 每个腔模式的内在𝑄'与模式共振频率的关系。𝑄'的增加归因于当腔模式达到镜面停止带的高频边缘时,体积散射损耗的减少。
我们使用洛伦兹函数拟合了反射谱,并发现整体质量因子为 𝑄 ~ 2100,这对应于内在质量因子 𝑄' ~ 2450(图2B)。所有模式的内在质量因子(𝑄')显示出与其共振频率之间的增加趋势(图2C)。这种趋势可以归因于腔模式到达镜面停止带的高频边缘时,群速度较慢,导致体积散射损失减少(15)。通过每个电极的反射率,我们可以计算镜面散射的损失,并发现镜面散射限制的质量因子为 𝑄ₘᵢᵣᵣₒᵣ = π (d + Lₚ)/λ₀ [1 - tanh(Nₘᵢᵣᵣₒᵣ |rₛ|)] = 1.61 × 10⁵。这里 𝑑 = 50 𝜇m 是两个 IDT 之间的距离,𝑁('))) = 40 是法布里-珀罗腔中的镜子数量。通过时域测量提取的 LiNDa 平台声学传播损失为 𝛼p = 3.2 dB/mm(更多传播损失校准细节见补充材料)。因此,由于传播损失限制的法布里-珀罗腔质量因子为 𝑄ₚᵣₒₚₐ₉ₐₜᵢₒₙ=ω/2 v₉ αₚ = 2638,其中 𝑣g= 6161 m/s 是群速度。这样得到腔体的内在质量因子 𝑄' =𝑄ₚᵣₒₚₐ₉ₐₜᵢₒₙ⁻¹ + 𝑄ₘᵢᵣᵣₒᵣ⁻¹ = 2595(56),这与实验中测得的 𝑄' 相似。在当前设计下,质量因子不是由电极数目限制的,而是受到材料损失、声波传播衍射和辐射损失到下方基板的限制。该腔体在 5K 时的精细度为 𝐹 = 𝑄445>𝜆/(2(𝑑 + 2𝐿%) = 30.5,这与 GaAs 中 mK 温度下的 SAW 腔体相当(15)。通过更好的设备设计和材料处理,可以提高设备性能。

图3. 用于SiV⁻自旋相干控制的高斯SAW器件的微波特性测试。
(A) 用于SiV⁻电子自旋相干控制的三端口器件示意图。我们沿LN的z轴使用两个IDT,并沿y轴使用一个IDT。
(B) 沿LN的y轴单个IDT器件的反射测量。中心频率约为3.8 GHz。
(C) 沿LN的z轴IDT器件的传输和反射测量。中心频率约为4.1 GHz。
(D) SiV⁻自旋在钻石中的电子能级。基态中的自旋分裂可以通过外部磁场调节。基态和激发态之间的光学跃迁可用于初始化和读取自旋态|↓⟩和|↑⟩。声波可以用来驱动两个自旋态之间的跃迁。
(E) 当对y轴IDT施加3.83 GHz的0 dBm RF功率时,SiV⁻自旋C跃迁的SAW调制引起的边带。测量结果很好地拟合为双洛伦兹函数。
为了减小表面声波(SAW)横向剖面,从而增强自旋-声子相互作用,我们使用了弯曲的IDT(换能器),这些IDT可以生成一个高斯形状的SAW波束,将声能聚焦到一个焦点(图3A)。SAW模式通过其产生的应变与埋置在钻石表面50纳米处的SiV⁻自旋进行非辐射耦合。我们设计了一个三端口设备,其中两个IDT沿TFLN的z轴布置,一个IDT沿TFLN的y轴布置。选择三端口设备是为了将来进行需要同时驱动两个SAW信号的实验,即连续波调制SiV⁻自旋以及脉冲探测调制后的自旋状态(59)。在这项工作中,我们主要关注单面设备,用于生成高效的相干控制脉冲,以实现对单个SiV⁻自旋的高效相干控制。每个IDT中的电极数量被选择为与源电子设备的50欧姆阻抗匹配。图3B和图3C展示了在室温下高斯SAW设备的微波测量结果。z轴设备的中心频率约为4.1 GHz,y轴设备的中心频率约为3.8 GHz。z轴设备和y轴设备的波长分别为1.7 𝜇m和1.1 𝜇m。选择这些波长是为了使SiV⁻的基态自旋分裂(图3D)可以通过附近的永磁体通过Zeeman效应调谐到与模式频率共振。通过调整磁铁位置,单个SiV⁻的自旋分裂可以与声学模式频率匹配,从而实现自旋的共振驱动,这一点在(10)中首次得到了证明。
单个SiV⁻自旋的声学测量是在一个封闭式循环液氦低温冷冻机中进行的,其冷端温度为4.7 K。我们使用一台可调的737 nm激光器来共振激发单个SiV⁻中心的光学跃迁。当连续的声波到达SiV⁻自旋时,光能的调制会在共振激发谱中产生边带。图3E显示了来自3.83 GHz、0 dBm输入功率的连续声波引起的C跃迁的边带。每对测量到的峰值都可以很好地通过双洛伦兹函数拟合,对应C2和C3跃迁。

图4. 对单个SiV自旋的相干声学控制。
(A) 可光学检测的声学共振(ODAR)测量。首先通过光学初始化脉冲将自旋初始化为|↓⟩态。接着,施加一个20 ns的SAW脉冲,当其与自旋跃迁频率共振时,它将翻转自旋状态。之后,通过另一个光学脉冲读取|↑⟩态的群体。通过声学脉冲的频率展示|↑⟩态的归一化群体。3.83 GHz的ODAR峰值显示了SiV⁻自旋跃迁的共振频率。
(B) 拉比测量。首先通过光学初始化脉冲将自旋初始化为|↓⟩态。通过改变声波脉冲的持续时间长度,同时固定频率为3.83 GHz,测量|↑⟩态的归一化群体。测得的拉比频率为33.4 MHz,在-4 dBm的微波功率下施加到低温箱输入端。
(C) 拉比频率的功率依赖性显示线性行为。我们的测量结果表明,与之前报告的铝氮化物在钻石平台的结果相比,LiNDa平台的拉比频率提高了两倍以上【10】。
我们通过进行光学检测声学共振(ODAR)测量来确定SiV⁻自旋共振频率并确认其与SAW模式的相互作用,测量的脉冲序列如图4A的插图所示。光脉冲由声光调制器生成,驱动IDT的微波脉冲来自任意波形发生器(AWG)。激光器调谐至C3共振,使得光脉冲的前部分荧光计数与|↑⟩状态中的粒子数成正比。第一个300 ns光脉冲还通过光泵浦将自旋初始化为|↓⟩状态。接着是20 ns微波SAW脉冲,用于驱动自旋。最后,再施加一个300 ns的光脉冲,用于读取最终的粒子数,通过两个脉冲的信号比率来确定相对粒子数。SAW频率被扫描,当SiV⁻处的应变以与|↓⟩和|↑⟩状态之间的自旋分裂匹配的频率调制时,它会共振驱动两个状态之间的粒子数。所得到的ODAR峰值如图4B所示,表明SiV⁻基态自旋分裂的共振频率为3.83 GHz。
然后,我们将SAW频率固定在3.83 GHz,并改变SAW脉冲的持续时间长度以测量拉比振荡(图4B)。随着SAW脉冲持续时间的增加,我们观察到|↓⟩和|↑⟩状态之间的人口发生相干振荡。拉比测量很好地拟合为指数衰减的正弦函数,给出了输入微波功率为-4 dBm时的拉比频率为33.4 MHz。正如预期的那样,我们观察到拉比频率随着功率平方根的增加呈线性增长,如图4C所示。当与当前最先进的AlN-on-diamond平台在相同的微波功率下进行比较时,LiNDa平台的拉比频率是其两倍以上(10)。
讨论
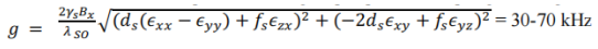
我们将这种更高效的拉比驱动归因于TFLN更高的微波与声学转化效率以及由SAW模式几何形状实现的更大单光子应变。我们的模型显示,由高斯IDTs产生的SAW模式的电机械耦合效率(𝑘^2)为25%(图3)。关于单个光子生成的应变的模型表明,对于位于钻石表面50 nm下方的SiV⁻自旋,不同SiV⁻取向下的单自旋-光子耦合率为𝑔 = 30 -70 kHz。在这里,高斯IDTs的腰部尺寸为𝑤0 = 6.8 𝜇m。更多关于仿真的细节可在补充材料中找到。
为了与以前的SAW研究进行比较,关键的性能指标是对于给定微波驱动功率可以实现的最大拉比频率。传输测量表明,RF到声学转换和材料损失导致的损失为-10 dB。此外,线接触和其他电气连接还会导致-10 dB的插入损失。单个光子的功率由𝑝0 = ℏ𝜔0/𝑡0= 1.25 × 10^3𝑊给出,其中𝑡0= 20 𝑛𝑠是从SAW设备的测量带宽(约50 MHz)计算的光子持续时间,𝜔? = 2𝜋 × 3.8 × 10^A Hz是光子的频率。在这种情况下,1 mW的RF功率将产生10 𝜇W的声学功率,这对应于系统中𝑛 = 7.98 × 10^10个光子。因此,相应的总拉比频率将为√𝑛𝑔 = 8.5-20 GHz。这比我们在实验中使用相同功率测量的拉比频率大约大150倍。这个巨大差距归因于SiV⁻位置的未优化(不在高斯腰部中心)以及我们低温冷冻机中存在显著的油污染,导致SAW设备性能下降(详细信息见补充材料)。通过更好的设计,如使用UDTs(53–55),更聚焦的高斯IDTs,更优化的SiV⁻位置和更好的低温冷冻系统,可以进一步改进设备性能。
LiNDa平台显著优于AlN-on-diamond平台,后者近年来一直是钻石SAW实验的主力平台(10, 26, 60)。在AlN-on-diamond支持的SAW模式中,Rayleigh模式具有最高的电机械耦合系数𝑘^2 = 1.3%(60, 61)。在相同的操作频率3.8 GHz下,Rayleigh模式在AlN-on-diamond结构上的单自旋-声子耦合率为8-13 kHz,且与上文提到的相同的模式体积。因此,LiNDa平台提供了19倍的𝑘!增强和5倍的应变响应增加,这两者结合可以使可实现的拉比频率提高超过20倍。
总结来说,我们展示了锂铌酸盐和钻石的异质声学集成,用于增强SiV⁻色心的自旋-声子耦合。我们已经展示了该平台在低声学损耗和单个SiV⁻自旋的高效声学相干控制方面的改进。理论上,与之前报告的结果相比,单自旋-声子耦合强度可以提高超过20倍。此外,TFLN的强电机械耦合与TFLN和钻石之间的高声学指数对比结合,使平台上的金属电极可以作为反射声学镜面工作。这为增强自旋-声子相互作用提供了2,450的内在质量因子,这对进一步增强自旋-声子相互作用至关重要。LiNDa平台为量子声学动力学(QAD)和各种量子系统之间的声子介导接口提供了一个有前景的路径。
《薄膜铌酸锂在钻石平台上的应用(LiNDa)用于高效的自旋-声子耦合》补充材料
1.设备制造

图S1. 用于实现LiNDa平台的制造过程。 (A) 准备和转移薄膜锂铌酸盐膜的工艺流程。 (B) 悬挂的LN膜的光学图像,带有细小的固定绳。绿色对比度突出显示了刻蚀区域。 (C) 在硅晶片上的图案化聚二甲基硅氧烷(PDMS)印章。 (D) 用于转移的单个PDMS单元的示意图。顶部部分为50微米厚,横向尺寸为295微米×463微米,足够大以覆盖整个悬挂的LN膜区域,并在提起PDMS时断开固定绳。 (E) 转移到钻石基板上的600纳米厚LN膜的光学图像。LN膜的尺寸为200微米×250微米。
薄膜铌酸锂(TFLN)已在多种衬底上进行过图案化,包括硅(62)、碳化硅、二氧化硅(63)和蓝宝石(64)。然而,薄膜铌酸锂在钻石(LiNDa)上的样品尚未报道。在本研究中,我们在LN-绝缘体样品上图案化并刻蚀出TFLN薄膜,并将其转印到钻石芯片上。本工作中使用的转印工艺如图S1(A)所示。制造过程首先在525 μm厚的硅承载晶片上,使用4.7 μm厚的热硅酸缓冲层,图案化600 nm厚的X切割LN。图案通过光刻定义,使用SPR700-1.0作为光刻胶。随后,通过氩离子刻蚀将图案转移到LN层上。光刻胶通过皮拉哈解决方案(3:1浓硫酸和40%过氧化氢)去除。LN薄膜通过在氢氟酸(49% HF)中刻蚀去除硅酸层而释放出来。悬浮的LN薄膜最终通过丙酮和甲醇清洗,并在临界点干燥机中干燥。图S1(B)显示了悬浮LN薄膜的光学图像。
为了准备聚二甲基硅氧烷(PDMS)印章,我们首先图案化铬光掩模。然后,我们将50 μm厚的SU8光刻胶旋涂到硅晶片上。使用接触光刻将图案转移到SU8层上。基底和固化剂混合后倒入SU8掩模中,并在120摄氏度下烘烤20分钟。图S1(C)展示了在硅晶片上的图案化PDMS印章。每个印章的厚度约为50 μm,横向尺寸为295 μm × 463 μm,足够大以覆盖整个悬浮的LN薄膜区域,并在提起PDMS时切断联接。图S1(D)显示了提起PDMS时的过程。
为了将LN薄膜转印到钻石衬底上,我们从硅晶片上切下一片图案化的PDMS,并将其粘贴到玻璃片上。玻璃片安装在一组平移台上,向下移动直到PDMS印章完全覆盖LN薄膜。由于PDMS的粘弹性,快速提起PDMS会导致悬浮的LN薄膜从连接点处分离,并附着到PDMS上。然后,我们将附着有LN薄膜的PDMS印章与单晶钻石芯片接触。在LN与钻石接触时,我们将钻石芯片加热到100°C,持续10分钟。通过缓慢提起PDMS印章,LN薄膜从PDMS上脱落并保持附着在钻石上。这一过程实现了同时转印超过十个LN薄膜。随后,将芯片在丙酮和异丙醇中清洗。图S1(E)展示了转印到钻石衬底上的LN薄膜的光学图像。薄膜的尺寸为200 μm × 250 μm。
然后,我们在LiNDa平台上制造了SAW器件,如主文中的图1(B)所示。金属的电极间歇式换能器(IDTs)通过对准的电子束光刻(EBL)定义,使用PMMA 950 C4作为光刻胶。我们蒸发110 nm铝并通过在80°C的去胶液PG中进行解膜工艺创建电极。接着,通过另一次EBL写入定义线键合焊盘,蒸发10 nm钛和300 nm金,再进行一次解膜工艺。
2.传播损耗校准

图S2. 平面SAW器件中的声波传播损耗分析。 (A) 130微米长的器件在5K和室温(RT)下的时域响应 |ℎ|。点表示每个回波的峰值,测得为 |ℎmax|。 (B) 和 (C) 对最大脉冲响应 |ℎmax| 进行线性拟合,以提取5K和室温下的传播损耗。传播损耗在室温下为35.2 dB/mm,在5K下为3.2 dB/mm。
为了提取这一异质平台的转换效率和传播损耗,我们可以对 S21(ω)
进行反傅里叶变换,从而得到时域响应 ∣h(τ)∣【35,37】。图S2(A)展示了一个时域响应的例子,测量对象为一台130μm长的器件,在5K和室温下进行测量。我们观察到一系列峰值(在图S2(A)中用点标出),这些峰值由回程时间 Δτ=2L/vg分开,其中 LL 是两个IDT之间的传播长度,vg是声波的群速度。第一个峰(未标出)对应两个IDT之间的直接电交叉干扰。第一个标记的峰代表IDT转换并注入声波,随后的峰是由电极反射产生的。第 nth峰 h(n)依赖于IDT的转换效率、传播损耗和反射系数。它可以写成:
其中,α是传播损耗,T是IDT的转换效率,R是机械功率反射系数【35,37】。因此,我们可以写出:
2ln∣h(n)∣=2lnT+2nlnR−α(2n+1)L (37)
通过对 ln∣h(n)进行线性拟合(图S2(B) 和图S2(C)),我们可以得到室温下的传播损耗 α=35.2dB/mm,以及5K下的传播损耗 α=3.2dB/mm。这些传播损耗比TFLN-on-sapphire平台和悬浮TFLN平台上SAW器件的等效损耗高几倍【35,37】。较高的损耗可以归因于声波的发散,因为声波没有被引导。此外,这里的TFLN没有退火,这也可能导致声学损耗。
3.计算单一自旋-声子耦合与Rabi频率

图S3. SAW模式和自旋-声子耦合强度的模拟。(A) 使用COMSOL中的有限元分析方法模拟的600nm x切割LN在钻石上的剪切模式。声波沿着锂铌酸盐的y轴传播。(B) 当表面电极被电短路时,模拟的剪切模式本征频率随着波长变化。(C) 随着波长变化,模拟的机电耦合系数𝑘!。最高的𝑘!约为25%。
我们首先简要讨论描述将电能转换为机械能效率的电机耦合系数 keff,它取决于材料的特性,并且可以通过声表面波(SAW)模式的相速度来计算。当压电层表面电极被电气开路或短接时,使用以下公式计算:
我们使用 COMSOL 进行有限元分析,模拟沿着600纳米的X切割 LN-钻石层传播的SAW模式的相速度,结果如图S3所示。我们假设SAW沿着LN的y轴传播,并专注于第一个剪切模式,因为它具有最高的 keff。LiNDa材料堆栈的特征频率和 keff被建模并针对不同的波长进行模拟。主文中的图3(A)所示的y轴器件的波长为1.1 μm。我们测量到该剪切模式的共振频率为3.83 GHz,而模拟结果预测为3.89 GHz(图S3(B))。我们的建模显示,在该波长下,剪切模式的 kef为25%(图S3(C))。
我们的建模表明,对于位于钻石表面50纳米处的SiV⁻,剪切模式对应于单一自旋-声子耦合率
对于不同的Siv-定向(22).这里ys=14 GHz/T是自旋的陀螺磁比,Bx是沿SiV-x轴的横向磁场。在实验中,我们把一块永磁体放在样品下面,施加的磁场大致沿着磁场的方向。[001]钻石芯片的方向。基态分裂取决于静态应变和磁场。在低应变区间,共振条件2𝛾s𝐵x = 𝜔m p提供了一个轴向磁场分量 Bz 和机械模式频率𝜔m =2𝜋 × 3.83 GHz之间的近似关系。因此,我们可以得到横向磁场分量 Bx大致为2𝛾s𝐵x= 𝜔m × 𝑡𝑎𝑛θ,其中 θ≈54.7∘是B场方向 [001] 和 SiV⁻ 轴之间的角度。机械模式中由单个声子引起的SiV⁻基底中的张量分量为ϵij,应变的易感性为ds=1.3PHz/strain和 fs=−1.7PHz/strain。基态中的轨道分裂为 λso=46GHz。此处,Gaussian IDTs的腰部宽度为 w0=6.8μm。在计算自旋-声子耦合强度时,我们仅考虑 Egx 和 Egy 应变,因为这两个应变分量修改了轨道分裂,从而耦合了两个基态自旋。而相比之下,A1g 应变会均匀地移动整个基态能级,不会耦合基态自旋【10,22】。
计算得到的单一自旋-声子耦合率在1 mW RF功率下给出了8.5-20 GHz的Rabi频率(在正文中提到)。这个值是我们在实验中使用相同功率测量到的Rabi频率的150倍。这个巨大的差异归因于SiV⁻的放置位置未优化(未放置在高斯腰部的中心),以及在我们的低温系统中存在显著的油污染,导致SAW器件的性能下降。接下来,我们分别讨论每个因素的影响。
对于图3和图4中展示的设备,应变分布由高斯函数描述,公式为:
𝑢(𝑟, 𝑧) = 𝑢[𝜔0/𝜔(z)]𝑒𝑥𝑝[(-r^2)/[𝜔(z)^2]]
其中,𝑢(𝑟, 𝑧) 是高斯光束中心的应变,𝜔0=6.8μm是光束腰部半径,r 是光束中心轴的径向距离,z是光束聚焦点的轴向距离,w(z)=𝜔0+√1+(z/zR)^2是光斑大小,zR=πw0^2/λ是Rayleigh范围。
对于实验中测量的SiV⁻,zz 大约是70 μm,rr 大约是10 μm,因此应变约为0.16 umax。此外,在我们的低温系统中发生了意外的油污染,这导致了SAW器件的显著损耗。我们估计RF到声学转换过程中增加了约-20 dB的损失。这两个因素可能使得Rabi频率比预期小100倍。
4.LiNDa上的声波脊波导
TFLN和钻石的异质集成结合了以下优点:(1) LN的强压电性,使得双向高效的微波到声波转换成为可能,(2) LN(4-7 km/s)和钻石(12-18 km/s)之间的声速差异,使得声波能够得到强烈的束缚。与之前提出的其他声学平台相比,如GaN-on-sapphire(58)、LN-on-sapphire(37)和AlN-on-diamond(10),我们的LN-on-diamond平台具有最高的声学折射率对比度。

图S4. LiNDa平台上的SAW脊波导器件。(A) 使用COMSOL中的有限元分析方法模拟的300nm厚的x切割LN在钻石上的波导模式。声波在波导中沿着LN的y轴传播。(B) 随着波导宽度增加,四种基本模式的模拟本征频率。波长为800nm。(C) 曲折声波导器的光学图像。该图案通过正光刻胶定义,并通过氩离子刻蚀转移到LN上。(D) 曲折声波导器的扫描电子显微镜(SEM)图像。(E) 频域传输和反射测量。传输光谱经过门控,以有效减少微波串扰。
我们设计并测试了一个LiNDa上的声波脊波导,用于引导声波。图S4(C)显示了脊波导设备的光学图像。我们在LN上图案化了一对互电极换能器(IDTs),用于将微波转化为声波,反之亦然。通过使用COMSOL的有限元分析方法,我们设计了波导结构。图S4(A)显示了波导的四种基本SAW模式。每种基本声学波导模式的模拟特征频率显示在图S4(B)中。图S4(C)和(D)中的波导宽度为800 nm,波长为800 nm。波导厚度为200 nm,剩余层厚度为100 nm。波导中的声波沿锂铌酸盐的y轴传播。在我们制造的设计中,我们定义了一个800 nm的IDT指纹对周期(即SAW波长),以及一个4 μm的电极长度,长渐变区引导声波进入声波导。
我们从将300 nm的LN膜转移到钻石基底开始制造过程。首先,使用电子束光刻(EBL)定义波导图案,采用Zep520A(正电子束光刻胶),然后通过氩离子刻蚀将图案转移到LN中,刻蚀深度为200 nm。之后,在SC1溶液中进行重新沉积清洗。接着,使用piranha溶液(3:1的98%硫酸和40%过氧化氢)去除光刻胶。图S4(D)展示了弯曲声波导的扫描电子显微镜图像。最后,使用PMMA 950 C4作为光刻胶,通过电子束光刻(EBL)定义金属IDT。我们蒸发110 nm的铝,并通过在PG去除剂中进行升温80°C的去除工艺来制作电极。线焊接垫通过另一次电子束光刻定义,随后蒸发10 nm钛和300 nm黄金,再进行另一次相同的去除工艺。
该设备通过频域传输和反射测量进行表征,如图S4(E)所示。传输测量通过门控有效抑制微波串扰。测得的传输在6.2 GHz处表现出共振,传输幅度为-57 dB。观察到的高传输损失归因于IDT区域和波导区域之间的制作复杂性和模式不匹配。我们将详细讨论每个贡献因素。
制作复杂性:使用SC1溶液进行刻蚀后清洗步骤对于去除氩离子刻蚀LN后的重新沉积残留物至关重要。然而,这一清洗过程可能导致LN薄膜与钻石基板的分层。为了解决这个问题,我们在膜的周围沉积了10 nm的铬层和350 nm的金层,以机械地将LN固定在钻石基板上。随后,使用金和铬蚀刻剂去除金属层,在图案化IDT之前。虽然这种方法有效,但金属夹层的使用增加了额外的制作复杂性。此外,设备制造过程中涉及的多种化学过程可能导致表面粗糙度增加,并可能对声学性能产生不利影响。
模式不匹配:IDTs将声波引入板区域,在此区域内,板模式与导波波导模式之间存在不匹配。通过延长锥形区域并将LN的各向异性特性纳入设计中,可以实现更好的绝热模式转换,从而提高两种模式之间的耦合效率。然而,目前的锥形长度受到LN薄膜尺寸(约200 μm)的限制,限制了实现最佳耦合效率的锥形长度。