#光子微波振荡器 #超低损耗氮化硅光波导 #电光频率梳 #铌酸锂相位调制器 #氮化硅螺旋谐振器

低噪声振荡器是现代通信、微波光谱学、微波基础传感(包括雷达和遥感)以及计量系统中决定系统性能的关键组件。近年来,基于光学频率分割的超低相位噪声光子微波振荡器已经成为生成高性能微波信号的范式转变。在这项工作中,我们报告了基于螺旋谐振腔参考激光器和集成电光频率梳的片上低相位噪声光子微波生成。双激光器共同锁定到一个超高Q值的硅氮化物螺旋谐振腔,并且它们的相对相位噪声测量低于腔体热噪声极限,从而实现了记录的片上光学相位噪声。利用宽带集成电光频率梳,将螺旋谐振腔参考激光器的相对相位噪声分割到微波域,产生了记录的低相位噪声芯片级振荡器(在10 Hz偏移时为-69 dBc/Hz,在10 kHz偏移时为-144 dBc/Hz,对于10 GHz载波,由37.3 GHz输出进行缩放)。该工作中卓越的相位噪声性能、平面芯片设计、高技术成熟度以及代工准备的处理技术,代表了集成光子微波振荡器的重大进展。
#0:10mm-10mmsto衬底-bto薄膜(300nm厚度可定制)
#1:sto外延片
2寸 外延 sto 2-20nm(可定制)- 2um Sio2(可定制) -Si(可定制)
#2:a向 bto外延片
2寸 外延 a-向 bto(300nm或者500nm,或者定制)-sto 8nm(可定制)- 2um Sio2(可定制) -Si(可定制)
#3:C向 bto外延片
2寸 外延 c-向 bto(150nm或者300nm,或者定制)-sto 8nm(可定制)- 2um Sio2(可定制) -Si(可定制)
#离子注入铒代工
#6寸DUV步进式光刻代工,最小线宽180nm,超高性价比,可以只曝光
#快速氮化硅硅光铌酸锂流片 #高性价比 #低成本
#提供8寸 8umSiO2热氧片,6寸15um热氧片 10um热氧片 8寸10um热氧片---用于“”氮化硅陀螺“”,“”超低损耗超高纵横比氮化硅光波导 “”“厚膜薄膜铌酸锂”“”
室温低损伤@GCIB抛光代工@束斑小(4-5mm)更均匀
#降低硬质材料化合物晶圆等绝大多数材料的表面粗糙度,比如金刚石 ,磷化铟,砷化镓,碳化硅
#提高复合衬底和镀膜膜层的器件层膜厚均匀性,
比如SOI LNOI LTOI SICOI 等 SMARTCUT得到的薄膜
或者镀膜所得到的膜层 ,比如镀了一层氮化硅,但是由于是cvd镀膜所得到的,表面的膜厚精度很差,粗糙度很差,可以通过粗糙度初步降低粗糙度,然后通过GCIB团簇离子束抛光来修整整面的膜厚均匀性 到0.5%以下举例:
未经过Trimming 工艺的 6寸LN/LTOI晶圆 数据:
Range:100-200A
经过Trimming 工艺的 6寸LN/LTOI晶圆 数据:
Range:60A以内
SOI晶圆:--220nm薄膜/ 3um厚膜-3umSIO2-675umALOOI晶圆;--氧化铝薄膜晶圆,键合工艺和镀膜工艺
TAOOI晶圆--氧化钽薄膜晶圆,镀膜工艺
SINOI晶圆--超低损耗氮化硅薄膜晶圆,210nm-300nm-400nm-800nm
SICOI晶圆;新型量子光学平台500nm-700nm-1um
6寸LTOI晶圆批量供应;铌酸锂的有力的竞争对手,薄膜钽酸锂晶300600
8寸LNOI晶圆;8寸LNOI助力更大规模薄膜铌酸锂产品量产
LN/LT-SOI/Si/SIN W2W&D2W异质集成
流片: 6寸 氮化硅 铌酸锂 硅光 超高性价比流片, 1个BLOCK的价格买一整片晶圆
划重点--全国产-超高性价比-6 寸硅光-氮化硅-铌酸锂流片白皮书
我们为客户提供晶圆(硅晶圆,玻璃晶圆,SOI晶圆,GaAs,蓝宝石,碳化硅(导电,非绝缘),Ga2O3,金刚石,GaN(外延片/衬底)),镀膜(PVD,cvd,Ald,PLD)和材料(Au Cu Ag Pt Al Cr Ti Ni Sio2 Tio2 Ti3O5,Ta2O5,ZrO2,TiN,ALN,ZnO,HfO2。。更多材料),键合(石英石英键合,蓝宝石蓝宝石键合)光刻,高精度掩模版,外延,掺杂,电子束光刻等产品及加工服务(请找小编领取我们晶圆标品库存列表,为您的科学实验加速。
请联系小编免费获取原文
Spiral resonator referenced low noise microwave generation via integrated optical frequency divisionLONG CHENG,1,MENGDI ZHAO,1, YANG HE,1, YU ZHANG,2 ROY MEADE,2 KERRY VAHALA,3MIAN ZHANG,2 AND JIANG LI1,*1hQphotonics Inc, Pasadena, California 91107, USA
2HyperLight Corporation, Cambridge, Massachusetts 02138, USA
3T. J. Watson Laboratory of Applied Physics, California Institute of Technology, Pasadena, California 91125, USA
4These authors contributed equally to this work.
1.引言
具有高频谱纯度和低相位噪声的微波振荡器在多个应用中至关重要,包括微波光谱学 [1]、雷达基础的传感 [2,3]、光子微波雷达 [4]、相干通信系统 [5–7] 和量子计算系统 [8,9]。在过去十年中,基于光学频率分割(OFD)[10] 的光子微波生成已成为高性能、超低相位噪声微波生成的首选方法 [11–13],其相位噪声性能超越了最好的电气振荡器。对于OFD振荡器系统,两个关键要素是低相位噪声激光参考和光学频率梳,它将光学参考的极高分数频率稳定性转移到微波领域。最近,光子微波振荡器(PMOs)使用两点光学频率分割 [14–17] 和电光频率分割(eOFD)[14,18] 的小型化和集成化进展迅速。各种芯片级或微型光学参考腔,包括超高Q值螺旋谐振器(Q ∼ 107 到 108)[15,18–20]、微型法布里-佩罗腔(Q > 109)[16,21] 和离散晶体MgF2谐振器(Q > 109)[22],已被集成到这些OFD系统中。此外,芯片级频率梳,如孤子微梳 [15–17,20,21] 和薄膜锂铌酸(TFLN)电光(EO)梳 [18],也已用于执行光学频率分割并实现低相位噪声水平。
在这项工作中,我们报告了芯片级光子微波振荡器的重大进展。首先,通过将两个激光锁定到超高Q值硅氮化物螺旋谐振器(Q > 2亿,腔长14米),我们实现了激光噪声相对于腔体绝对热折射噪声(TRN)限值的抑制,相比其他片上激光器,激光相位噪声(在10 Hz偏移下)提高了超过20 dB。其次,为了增强光到微波的频率分割比(N)并通过电光频率分割(eOFD)[14] 降低振荡器相位噪声,我们通过驱动一个串联薄膜锂铌酸(TFLN)相位调制(PM)芯片,在同一芯片上集成了两个低Vπ的PM,从而生成一个带宽高达35 nm的宽带集成电光频率梳。由此产生的PMO在芯片级振荡器中实现了创纪录的低相位噪声性能。显著的是,本工作中的PMO具有卓越的相位噪声性能、平面光子芯片设计、高技术成熟度和代工可加工性,这些都是集成PMO在通信、传感和信号处理中的大规模应用的重要步骤。
2.结果
图1(a)展示了PMO架构。整体频率稳定性来自两个激光器共同锁定到14米长的Si3N4螺旋谐振腔的两个腔模(频率ν1,ν2),使用Pound-Drever-Hall (PDH) 锁定技术[23]。
通过电光频率分割,利用集成的EO梳将共同锁定的激光器之间的相位噪声分解到微波领域。每个锁定激光器的绝对频率噪声包含螺旋谐振腔的热折射噪声(两个激光器之间的相关和共模噪声)和残余的激光锁定噪声(两个激光器之间的非相关噪声)。如本文所示,它们的频率差(ν2 − ν1)表现为低于腔体TRN噪声极限的频率噪声。
图1(b)是Si3N4螺旋谐振器的照片。它的占地面积为21毫米×21毫米,单程长度为14米。波导横截面尺寸为10 μm × 0.1 μm,适用于低光学约束和超低片上传播损耗(<0.2 dB/m)在C波段波长下[24,25]。该设备在CMOS代工厂制造。它的负载质量因子(Q)为1.6亿,固有Q为2.04亿。超高Q因子和螺旋谐振器的大模式体积结合起来,抑制了激光锁定噪声以及谐振器的TRN噪声。图1(c)是带有串联相位调制器(PMs)的TFLN芯片的照片。为了降低PM的Vπ,采用双通(回收)设计,使得在给定调制频率下,Vπ降低了两倍[18,26]。此外,较长的电极长度(26毫米)增强了电光调制长度,并降低了TFLN调制器的Vπ[27,28]。
为了建立系统的固有频率稳定性,首先对两个激光器的相对相位噪声进行表征,当它们共同PDH锁定到14米长的螺旋谐振器时。对于这次测量,使用一台RIO激光器和一台可调外腔二极管激光器(都在1553 nm附近工作),它们共同PDH锁定到螺旋谐振器,然后在一个40 GHz带宽的光电探测器上混频。得到的光电探测器拍频(大约20 GHz)经过放大并在相位噪声分析仪上分析。图2(a)(蓝色曲线)显示了两个共同PDH锁定的激光器之间的相位噪声,结果在10 kHz偏移处达到了−96 dBc/Hz,在接近的10 Hz偏移处为−22 dBc/Hz。为对比,图2(a)中的红色曲线给出了两个激光器自由运行(没有PDH锁定)时的相位噪声。锁定使得相位噪声在10 kHz偏移时减少了42 dB,在10 Hz偏移时减少了82 dB。图2(a)中还绘制了14米螺旋谐振器的计算TRN噪声(绿色曲线)。与腔体TRN噪声相比,两个共同PDH锁定的双激光器之间的相对相位噪声从10 Hz到10 kHz偏移范围内被抑制了6-10 dB。还值得注意的是,最近将非硅基芯片谐振器,如离散的MgF2谐振器[22]和微型法布里-佩罗腔[29],与共同PDH锁定的激光器结合使用时,也报告了低于腔体TRN噪声的激光相位噪声。在这里,两个共同PDH锁定激光器相位噪声的主要噪声贡献归因于每个激光器的残余PDH锁定相位噪声,这也在基于法布里-佩罗腔的共同PDH锁定系统中得到了报告[29,30]。残余的PDH锁定相位噪声在两个激光器之间是非相关的,因此不会从共模噪声取消中受益,并且与两个激光器之间的频率分离无关。最后,Si3N4谐振器的超高Q因子通过增加窄腔共振的频率区分斜率,抑制了PDH锁定相位噪声[23]。

图1. (a) 基于集成光频率分割的螺旋谐振器参考的片上低噪声微波生成架构。激光器被锁定到超高Q值螺旋谐振器的两个腔模上。由于来自单一谐振器的共同模噪声取消,共同锁定的激光器的频率差(ν2 − ν1)实现了低频噪声,低于腔体热噪声极限。通过将集成电光(EO)梳的光谱端点锚定到双激光参考,双激光参考的分数稳定性(ν2 − ν1)被转移到EO梳线间距(微波频率)上。而EO梳线间距的相位噪声则由双激光参考的相位噪声除法降到更低。
(b) 14米长的Si3N4螺旋谐振器的照片。
(c) 双薄膜LiNbO3相位调制器(PM)的图像,包括同一芯片上的两个PM。中间部分未显示。
图2. (a) 同步PDH锁定激光器(蓝色)和自由运行激光器(红色)的拍频噪声。与螺旋谐振器的同步PDH锁定激光器的相对相位噪声降低到低于腔体TRN噪声极限(绿色曲线)。
(b) 片上低噪声双激光参考的比较。当前工作实现了从10 Hz到10 kHz偏移的片上相对激光相位噪声创纪录的低值。
(i) 两激光器共同自注入锁定到Si3N4螺旋谐振器[18],
(ii) 来自硅酸盐盘谐振器的双布里渊激光器[31],
(iii) 来自Si3N4环谐振器的双布里渊激光器[32],
(iv) 两激光器共同PDH锁定到4米Si3N4线圈谐振器[15],
(v) 来自Si3N4环谐振器的OPO信号和闲置[17],
(vi) 本工作。
双激光参考是两点光频分频(OFD)系统和电子光频分频(eOFD)系统的核心,它们的相位噪声与光到微波频率分频输出的相位噪声(在 fM 处)相关,如下式所示:SfM = Sν2−ν1 / N² 在锁定带宽内。本文中的螺旋谐振器参考激光器已经实现了创纪录的片上相对相位噪声,适用于从10 Hz到10 kHz的偏移频率,如图2(b)所示。特别是在10 Hz的偏移频率下,与之前的片上双激光参考相比,当前工作实现了超过20 dB的相位噪声降低。
图3. (a) 由串联TFLN相位调制器芯片生成的宽带集成EO梳波光谱,具有3 dB带宽为4.4 THz。
(b) 同PDH锁定激光器的光谱(红色)跨越27 nm,以及在eOFD操作下的TFLN EO梳波(蓝色)。插图显示了两束激光之间光谱中点处的EO梳波线放大图。
集成电子光学(EO)梳波是通过串联的薄膜铌酸锂(TFLN)相位调制器(PM)芯片生成的。每个单独TFLN相位调制器的Vπ测量值为2.0 V,工作频率为37.3 GHz。图3(a)显示了使用此芯片生成的宽带集成EO梳波光谱,具有3 dB带宽为4.4 THz(35.3 nm)和37.3 GHz的线间距。与使用单个PM相比,串联PM设计使EO梳波带宽加倍,导致更高的光到微波频率分频比,并且额外减少了6 dB的OFD相位噪声。
图4(a)给出了芯片级PMO的示意图。1553 nm和1580 nm的两束激光分别通过同PDH锁定到Si3N4螺旋谐振器,功率放大到约100 mW,并通过镜头光纤耦合到TFLN相位调制器芯片上。
图3(b)显示了同PDH锁定的激光器(红色)与TFLN EO梳波(蓝色)的光谱。显示了两组EO梳波,每组围绕各自的参考激光器居中,且具有27 nm(或3.43 THz)的波长跨度。通过TFLN芯片后,EO梳波通过半导体光放大器(SOA)放大至10 mW,并对中央梳波谱线进行带通滤波并检测。检测到的信号用于生成相位误差,以通过快速伺服滤波器对VCO进行反馈控制。由于光带通滤波器的调谐范围有限,集成的EO梳波和同PDH锁定的激光参考被操作在较窄的3.43 THz范围内,而不是图3(a)中实现的最大4.4 THz跨度。
此PMO的光学到微波频率分配比(N)为92(从3.43 THz到37.3 GHz的分配)。图4(b)中的插图显示了锁定振荡器的RF光谱(分辨带宽2 Hz)和自由运行的VCO光谱(分辨带宽1 kHz)。显然,在锁定情况下,光谱相干性(噪声边带)相比自由运行情况有显著改善(减少)。
图4。(a) 基于芯片的PMO实验设置示意图。(b) 37.3 GHz载波下基于芯片的PMO的微波相位噪声(蓝色)。虚线绿色曲线是从37.3 GHz PMO输出缩放得到的10 GHz载波的相位噪声。黄色曲线是共PDH锁定激光器的相位噪声。棕色曲线是37.3 GHz自由运行VCO的相位噪声。虚线黑色曲线是通过将共PDH锁定激光器的相位噪声缩减39 dB预测的PMO相位噪声。插图显示了PMO在锁定(RBW 2 Hz)和自由运行(RBW 1 kHz)情况下的RF光谱。
图4(b)的主面板显示了在37.3 GHz下测量的振荡器相位噪声(蓝色曲线),以及37.3 GHz下自由运行VCO的相位噪声(红色曲线)和螺旋谐振器参考的双激光相位噪声(黄色曲线)。相位噪声是通过Rohde & Schwarz FSWP相位噪声分析仪测量的。在37.3 GHz载波下,得到的相位噪声分别为:10 kHz偏移时为−133 dBc∕Hz,10 Hz偏移时为−58 dBc∕Hz(蓝色曲线)。光学到微波频率分配将共PDH锁定激光器的相位噪声均匀降低了近39 dB(20 log10N),从10 Hz到10 kHz偏移。虚线绿色曲线给出了相位噪声,缩放至10 GHz载波(通过20 log10 (37.3 GHz / 10 GHz) dB的缩减),在10 kHz偏移时相位噪声为−144 dBc∕Hz,在10 Hz偏移时为−69 dBc∕Hz。图4(b)中还绘制了双激光相位噪声(虚线黑色曲线),假设光学到微波频率分配完美地从3.43 THz到37.3 GHz进行。
测得的37.3 GHz PMO相位噪声(蓝色)和通过eOFD操作预测的37.3 GHz相位噪声(虚线黑色)在10 Hz到100 kHz的偏移范围内良好匹配。这进一步验证了通过共PDH锁定的螺旋谐振器参考的双激光相位噪声与两个激光之间的频率间隔无关。
最后,值得特别注意的是这些光谱中的近距离相位噪声水平(10 Hz偏移,10 GHz载波),它超越了其他基于硅芯片的PMO结果超过10 dB [15,17,18,20]。此外,在10 kHz偏移(缩放至10 GHz载波)时,本次演示超越了其他基于硅芯片的PMO结果,分别为:16 dB [17],9 dB [15],3 dB [18],和2 dB [20]。
讨论与结论
在这项工作中,提供OFD系统频率稳定性并执行光学频率分割的核心组件是集成光子芯片,即超高Q值的Si3N4螺旋谐振器和TFLN调制器芯片。未来的工作中,为了实现更高的集成度并进一步减少体积、重量和功耗,异质集成的窄线宽激光器【33】或混合集成的自注入锁定激光器【16,24】可以取代这项工作中使用的外腔二极管激光器。由于从非优化的边缘耦合器到透镜光纤的高总插入损耗(21 dB,光纤到TFLN芯片再到光纤),本工作中使用了掺铒光纤放大器(EDFA)在SiN芯片和TFLN芯片之间。进一步设计TFLN边缘耦合器可以为Si3N4输出波导提供匹配的模式剖面,并实现Si3N4芯片和TFLN芯片之间的直接边缘耦合,而无需使用EDFA。此外,可以使用共振集成EO梳状光谱【34,35】来显著降低驱动EO梳生成的整体功耗,并通过增强EO梳带宽和光学到微波频率分割比进一步降低相位噪声水平。最后,控制和驱动电子设备(如激光控制器、伺服环路滤波器、VCO和放大器)可以作为多芯片模块实现,以进一步减小系统尺寸。
本工作中生成的TFLN EO梳状光谱是通过直接的相位调制产生的,无需使用模式锁定或微梳生成的最小阈值,或者在几种孤子OFD系统中用于耗散Kerr孤子生成的专用泵浦激光器调谐机制【15,17,20,22】。此外,本工作中的核心集成光子组件(Si3N4螺旋谐振器和低Vπ TFLN调制器)已经是工厂生产的,并具有高技术准备水平,以及大规模和低成本制造,这对集成PMO的大规模部署和应用至关重要。
总之,我们已经展示了基于螺旋谐振器参考激光器和集成电光频率分割的低相位噪声PMO。通过将两台激光器共锁定到一个高性能的14米长超高Q值Si3N4螺旋谐振器上,成功实现了记录的低芯片激光相位噪声。通过串联TFLN PM芯片生成了宽带集成EO梳状光谱,并用于执行集成的电光频率分割。本工作中的PMO实现了芯片级振荡器的记录低相位噪声。这一卓越的相位噪声性能,结合简单的系统设计、高技术准备水平和工厂准备加工,代表了芯片级PMO的重大进展。我们的演示预计将在基于芯片级PMO的通信、传感和信号处理的广泛应用中开辟新的道路。
附录 A
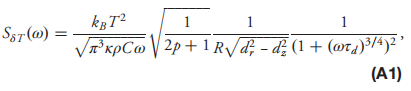
热折射噪声建模。热折射噪声源于温度的热力学波动引起的折射率变化,这种变化发生在微观模式体积内【36】。温度波动的方差由下式给出:
其中,kBk_B是玻尔兹曼常数,ρ\rho是密度,CC是比热容,VV是模式体积,TT是热浴的温度。对于耳语厅模式(WGM)谐振器,温度波动的频谱密度由下式给出【36,37】:
其中,κ是热导率,R是WGM谐振器的半径,dr和dz分别是基本模式沿径向和垂直方向的半宽度。
其中,l是轨道数,m是方位数。对于谐振器的基本模式,l=m。
其中,fd是TRN频谱的拐角频率,对于1/ω^2的依赖性。
TRN频率噪声的频谱密度可以推导为:
其中,f0f_0 是谐振频率,neffn_{\text{eff}} 是波导模式的有效折射率,β\beta 是波导模式的热光系数。
用于计算TRN噪声的关键参数根据公式(A1)和(A2)如下:
ρ=2.2×103kg m−3,κ=1.38W m−1K−1,C=680J kg−1K−1,β=1.2×10−5K−1,dr=4μm,dz=0.4μm.\rho = 2.2 \times 10^3 \, \text{kg m}^{-3}, \, \kappa = 1.38 \, \text{W m}^{-1} \text{K}^{-1}, \, C = 680 \, \text{J kg}^{-1} \text{K}^{-1}, \, \beta = 1.2 \times 10^{-5} \, \text{K}^{-1}, \, dr = 4 \, \mu\text{m}, \, dz = 0.4 \, \mu\text{m}.最后,图2(a)中的计算TRN噪声遵循与已发布的SiN螺旋谐振器的TRN噪声相比的1/V比例法则,相关谐振器的回程长度分别为7 m[38]和1.4 m[25]。
双激光相位噪声比较
在图2(b)中,将螺旋谐振器参考的双激光的相位噪声与其他芯片上的双激光参考进行比较也很有趣。
硅片盘参考的双SBS激光器[31]和SiN环形谐振器参考的双SBS激光器[32],以及Si3N4环形谐振器的OPO信号和闲置光子[17],展示的两激光之间的相对相位噪声比本工作中的结果要高,主要是因为它们的模式体积比本工作中的14米长的Si3N4螺旋谐振器小得多(大于200倍)。
来自14米长的Si3N4螺旋谐振器的共自注入锁定激光器[18]在10 kHz偏移时显示出相当低的相位噪声,但在100 Hz偏移时的相位噪声要比本工作中的结果高得多,这可能是由于用于自注入锁定的DFB激光器的自由运行频率噪声较高所致。
来自4米长Si3N4线圈谐振器的共-PDH锁定激光器[15]显示出比本工作中的结果更高的相位噪声,这可能是因为其Si3N4谐振器的Q因子较低(Q0 = 4100万),而本工作中的Q因子为204百万。
残余PDH锁定相位噪声
图5展示了当外部腔激光器(RIO激光器)与14米Si3N4螺旋谐振器锁定时的残余PDH锁定相位噪声,并与图2中的共-PDH锁定双激光相位噪声一起绘制。可以看到,共-PDH锁定双激光相位噪声主要受到残余PDH锁定相位噪声的限制。第二个外部腔激光器的残余PDH锁定相位噪声与此类似(如预期),因此在图中没有显示。
图5 残余PDH锁定相位噪声(黑色曲线)为其中一台外部腔二极管激光器(RIO激光器)在与14米Si3N4螺旋谐振器锁定时的表现。蓝色曲线为共-PDH稳定的双激光相位噪声。