上海奥麦达微电子有限公司

专业高效
微纳加工公司

6寸XZ切薄厚膜钽酸锂晶圆--利用Z切周期极化薄膜钽酸锂纳米波导实现的高效可调频率转换(上科大陆娟娟老师团队)

#LTOI晶圆 #薄膜铌酸锂晶圆 #周期计划薄膜钽酸锂 #薄膜钽酸锂晶圆 #钽酸锂光波导 #钽酸锂调制器
作者:Simin Yu,1, ∗ Mingyue Qi,1, ∗ Huizong Zhu,1 Bofu Zhao,1 Jingchun Qian,1 Qiushi Chen,1 and Juanjuan Lu1, † 
单位:1State Key Laboratory of Quantum Functional Materials, School of Information Science and Technology, ShanghaiTech University, Shanghai 201210, China
薄膜钽酸锂(TFLT)由于其较弱的光折射效应、更高的光学损伤阈值、更宽的透明窗口和比薄膜锂铌酸盐更低的双折射,最近成为一种有前景的光子平台,用于芯片级非线性光学。在此,我们开发了一种超低损耗的钽酸锂集成光子平台,并报告了基于高保真极化的Z切TFLT的首个功能性二次谐波发生器。因此,电信波长(1550 nm)和近可见波长(775 nm)之间在直波导中实现了准相位匹配(QPM),并促使二次谐波发生,归一化效率为229 %/W/cm²。通过700 mW的泵浦功率,获得了5.5%的绝对转换效率。这种二次谐波发生器表现出稳定的温度可调性(-0.44 nm/°C),对于需要精确频率对准的应用,如原子钟和量子频率转换,具有重要意义。

#离子注入铒代工

#6寸DUV步进式光刻代工,最小线宽180nm,超高性价比,可以只曝光

#提供8寸 8umSiO2热氧片

室温低损伤@GCIB抛光代工@束斑小(4-5mm)更均匀

#降低硬质材料化合物晶圆等绝大多数材料的表面粗糙度,比如金刚石 ,磷化铟,砷化镓,碳化硅

#提高复合衬底和镀膜膜层的器件层膜厚均匀性,

比如SOI LNOI  LTOI SICOI 等 SMARTCUT得到的薄膜 

或者镀膜所得到的膜层 ,比如镀了一层氮化硅,但是由于是cvd镀膜所得到的,表面的膜厚精度很差,粗糙度很差,可以通过粗糙度初步降低粗糙度,然后通过GCIB团簇离子束抛光来修整整面的膜厚均匀性 到0.5%以下举例:

未经过Trimming 工艺的 6寸LN/LTOI晶圆 数据:

Range:100-200A

经过Trimming 工艺的 6寸LN/LTOI晶圆 数据:

Range:60A以内

划重点--销售晶圆和加工

ALOOI晶圆;--氧化铝薄膜晶圆,键合工艺和镀膜工艺

TAOOI晶圆--氧化钽薄膜晶圆,镀膜工艺

SINOI晶圆;--超低损耗氮化硅薄膜晶圆

SICOI晶圆;新型量子光学平台

6寸LTOI晶圆批量供应;铌酸锂的有力的竞争对手,薄膜钽酸锂晶圆

8寸LNOI晶圆;8寸LNOI助力更大规模薄膜铌酸锂产品量产

LN/LT-SOI/Si/SIN  W2W&D2W异质集成

流片: 6寸 氮化硅 铌酸锂 硅光 超高性价比流片, 1个BLOCK的价格买一整片晶圆

划重点--全国产-超高性价比-6 寸硅光-氮化硅-铌酸锂流片白皮书

我们为客户提供晶圆(硅晶圆,玻璃晶圆,SOI晶圆,GaAs,蓝宝石,碳化硅(导电,非绝缘),Ga2O3,金刚石,GaN(外延片/衬底)),镀膜(PVD,cvd,Ald,PLD)和材料(Au Cu Ag Pt Al Cr Ti Ni Sio2 Tio2 Ti3O5,Ta2O5,ZrO2,TiN,ALN,ZnO,HfO2。。更多材料),键合(石英石英键合,蓝宝石蓝宝石键合)光刻,高精度掩模版,外延,掺杂,电子束光刻等产品及加工服务(请找小编领取我们晶圆标品库存列表,为您的科学实验加速。

请联系小编免费获取原文


微信图片_2025-06-27_110301_179

I. 引言
二阶非线性(χ(2))是许多关键非线性光学过程的基础,包括二次谐波生成(SHG)[1, 2]、和频生成[3]和光参量振荡[4–6]。其中,二次谐波生成在各种应用中具有特别重要的作用,如光谱学[7, 8]、超连续谱生成[9, 10]、量子频率转换[11, 12]和纠缠光子对生成[13, 14]。与其他流行的χ(2)材料如氮化铝[15, 16]和砷化镓[17, 18]相比,铁电材料包括钛酸钾[19, 20]、锂铌酸(LN)[21, 22]和钽酸锂(LT)[23, 24]脱颖而出,原因在于它们具有较大的二阶非线性系数以及在铁电域控制方面的灵活性。特别是锂铌酸,随着薄膜锂铌酸(TFLN)技术的出现,受到了广泛关注,这大大促进了光子集成电路的发展,使得紧凑型高性能光电芯片的设计成为可能[25, 26]。
然而,尽管其广泛应用,TFLN存在一些限制,如较低的光学损伤阈值和强光折射效应,限制了其在高功率下的性能。研究人员已探索了如材料掺杂、改进晶体生长和后处理等策略,但这些方法也带来了新的挑战[27, 28]。因此,开发新型薄膜铁电材料已成为当前研究的重点。近期高质量薄膜钽酸锂(TFLT)的展示,使其成为锂铌酸薄膜(TFLN)的优良替代材料。TFLT展现出与TFLN相当的折射率(n = 2.12)和二阶非线性(d33 = 26 pm/V)。此外,TFLT具有增强的光学损伤阈值(240 mW/cm²)、更宽的透明窗口(0.28 − 5.5 µm)和更低的双折射(0.004),进一步增强了其在包括电光调制器、频率转换器和光开关等设备中的潜力[29–31]。基于模间相位匹配[32]和周期极化钽酸锂(PPLT)在x-cut上的几种SHG设备已经被开发,展示了其在非线性光子学应用中的前景。
本文介绍了超低损耗集成z切TFLT光子平台的开发,并报告了基于高保真极化的首个功能性二次谐波发生器。结果,在直波导中实现了电信波长(1550 nm)与近可见波长(775 nm)之间的准相位匹配,产生了强烈的二次谐波生成,归一化效率为229 %/W/cm²。在700 mW泵浦功率下,最大绝对转换效率为5.5%。值得注意的是,这种二次谐波发生器表现出稳定的温度可调性(-0.44 nm/°C),这对于需要精确频率对准的应用,如原子钟和量子频率转换,具有重要意义。

II. 设备设计与制造

微信图片_2025-06-27_110305_466

图1. (a) PPLT 波导中二次谐波生成(SHG)过程的示意图,其中两个基频光子的湮灭生成一个二次谐波光子。(b) 在固定薄膜厚度为 600 nm 和未蚀刻层厚度为 100 nm 的情况下,泵浦波长与极化周期的模拟关系,折射率来自参考文献 [34]。插图显示了基频(顶部)和二次谐波(底部)TM 模式的模拟电场分布。

图1(a)展示了PPLT波导的设计原理,其中二次谐波生成(SHG)过程通过结合两个基频光子生成一个频率是原来两倍的光子。钽酸锂(LT)波导的宽度固定为1 µm,厚度为600 nm,并具有100 nm厚的未蚀刻层。室温下准相位匹配(QPM)SHG的极化周期Λ由以下公式确定:

Λ=λ2ωn2ωnω\Lambda = \frac{\lambda_{2\omega}}{n_{2\omega} - n_{\omega}}

其中,λ₂ω是二次谐波波长,而nω和n₂ω分别是基频(FH)和二次谐波(SH)波长处的有效折射率。为了利用最大二阶非线性张量分量d33,我们模拟了从FH到SH波长的基频横向磁模式(TM00模式)的极化周期,如图1(b)所示。估算所需的极化周期约为2.75 µm,在泵浦波长为1550 nm时。插图显示了TM00模式在FH(1550 nm)和SH(775 nm)波长下的数值模拟光模式分布。

设备制造开始时先进行波导图案化,然后进行极化处理。使用商业锂铌酸酯(LTOI)晶片(由NANOLN提供),该晶片由一层600 nm厚的z切钽酸锂薄膜和一层2.0 µm厚的二氧化硅(SiO2)层构成,基底为硅。利用电子束光刻(EBL)技术定义波导图案,采用氢硅烷四氧烯(HSQ)光刻胶,并在25%的TMAH溶液中显影以获得高对比度。经过优化的感应耦合等离子体反应离子刻蚀(ICP RIE)技术使用Ar+等离子体将图案转移到钽酸锂层上。接着,晶片浸泡在3:1 KOH(40%):H2O2(30%)溶液中,在40°C下处理3小时,以去除干法刻蚀产生的再沉积物。

微信图片_2025-06-27_110310_031

图2. (a) z 切 LTOI 设备的极化设置示意图。插图显示了极化电压脉冲的波形。(b-d) PPLT 波导的伪彩色 SEM 图像:(b) 波导图像,(c) 具有 60° 侧壁角的切割波导面,(d) 光耦合区域的微环及其侧壁。(e-f) TM 模式在基频波长(e)和二次谐波波长(f)下的洛伦兹拟合,提取的加载(QL)、内禀(Qi)和耦合(Qc)Q值。

对于极化过程,首先通过EBL和剥离工艺在钽酸锂波导上沉积镍(Ni)指状电极。然后将晶片加热至250°C,在铜板上进行极化,施加三次400 V、120 ms的脉冲,如图2(a)所示。施加的电压脉冲波形如插图所示。去除镍后,扫描电子显微镜(SEM)清晰显示出反转的极化域,呈现接近50%的占空比,如图2(b)所示。高保真度的极化对实现高转换效率至关重要。最终,公交波导在两端被渐缩至3 µm宽,以提高光纤与芯片的耦合效率。图2(c)展示了具有60°侧壁角的切割波导面。插入损耗分别被标定为电信波长和近可见波长下的-5.22和-5.44 dB/面。图2(d)显示了微环(上图)及其光耦合区域内光滑侧壁(下图)的伪彩色SEM图像。

通过测量微环的光学品质因子(Q),对TFLT波导的传播损耗进行表征。对TM模式在1583 nm和766 nm附近的共振衰减进行洛伦兹拟合,如图2(e-f)所示,得出电信波长下的传播损耗为0.72 dB/cm,近可见波长下的传播损耗为2.69 dB/cm。

III. 结果与讨论
A. 二次谐波生成

微信图片_2025-06-27_110315_050

图3. (a) 用于PPLT波导表征的实验设置示意图。FPC,光纤偏振控制器;EDFA,掺铒光纤放大器;WDM,波长分复用器;PD,光电探测器。(b) 在25°C下,具有不同极化周期的PPLT波导的SHG光谱。(c) 归一化SHG效率与泵浦波长的关系,表明FWHM为14 nm,并与数值模拟结果良好匹配。(d) 绝对转换效率与芯片上泵浦功率的关系。插图展示了在非耗尽区SHG与泵浦功率的关系。

图3(a)展示了用于二次谐波生成(SHG)测量和设备表征的实验 setup。可调的电信激光器(Santec TSL570)作为泵浦源,光纤偏振控制器(FPC)确保芯片上的泵浦光与TM偏振方向对齐。电信(IR)和近可见(Nvis)输出信号通过波长分复用器(WDM)进行分离,并随后通过相应的光电探测器(PD)进行测量。设备的相位匹配波长,在25°C下测量,对于极化周期为2.77、2.75和2.73 µm时分别出现在1485、1571和1626 nm,如图3(b)所示。这些实验结果与图1(b)中呈现的模拟结果高度一致,验证了极化过程的有效性和精确性。图3(c)展示了一个典型的sin²型归一化转换效率谱,具有1568 nm的相位匹配波长,展现了14 nm的半最大宽度(FWHM)。模拟数据(红线)与实验数据(蓝线)之间的微小偏差可能归因于极化过程的非理想性和薄膜厚度的不均匀性。为了进一步增加FWHM带宽,以满足需要宽光谱操作的应用,可以采用非周期性极化设计和波导色散工程。

我们还通过掺铒光纤放大器(EDFA)放大泵浦激光的光功率,研究了转换效率对功率的依赖性。最高的绝对转换效率在泵浦功率为700 mW时被测量为5.5%,如图3(d)所示。实验泵浦耗尽行为与理论预测高度一致[35]。在非耗尽区进行线性拟合表明,二次谐波生成的功率与泵浦功率之间存在二次依赖关系(图3的插图),从而得到了芯片上的归一化SHG效率为229 %/W/cm²。我们注意到,记录的归一化效率低于理论值,主要归因于材料缺陷(钽酸锂薄膜中的空位和不均匀性)和极化不完美(极化周期和占空比的偏差)。进一步改进可通过采用高质量的薄膜钽酸锂材料和适当的极化周期控制来实现[36]。此外,优化波导几何形状并实施后期退火处理,有助于减小传播损耗并改善相位匹配。

B. 热可调性

微信图片_2025-06-27_110324_180

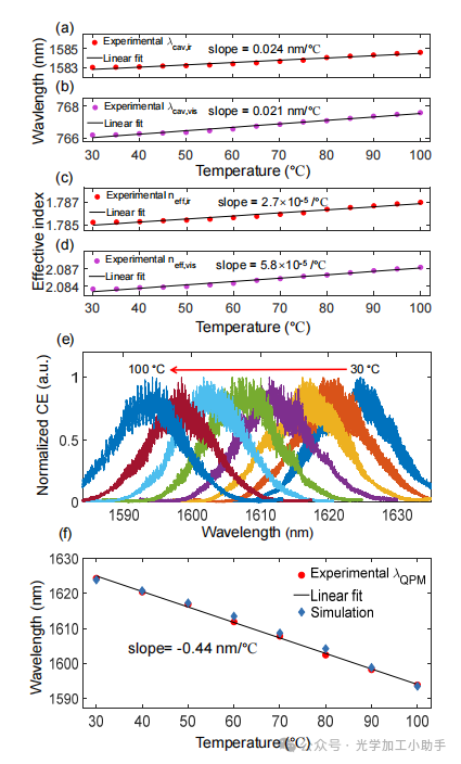
图4. 测量的温度依赖腔体共振波长,在电信波长(a)和近可见波长(b)下。(c-d) 从(a-b)提取的有效折射率与温度的关系。(e) 随着温度每次增加10°C从30°C到100°C,测量的SHG光谱发生蓝移。(f) 对应于(e)的QPM波长温度依赖性,实验调谐性拟合为-0.44 nm/°C。

我们对钽酸锂(LT)微环共振器的热响应进行了表征。图4(a)和(b)展示了图2(f-g)中模式的温度依赖共振波长λcav,分别在电信波段和近可见波段得到24 pm/°C和21 pm/°C的热响应。基于关系式 2πRneff(T)=mλcav(T)2\pi R n_{\text{eff}}(T) = m \lambda_{\text{cav}}(T),其中R是微环的半径,neffn_{\text{eff}}是共振模式的有效折射率,m是模式数,我们提取了两种模式的有效折射率温度依赖性 d[neff(T)]dT\frac{d[n_{\text{eff}}(T)]}{dT}(图4(c-d)),表明我们的微环腔具有高效的可调性。

我们进一步研究了QPM波导的热可调性。图4(e)清楚地显示了随着温度升高,二次谐波生成(SHG)峰值波长的蓝移,展现出如图4(f)所示的-0.44 nm/°C的热可调性。除了钽酸锂材料的热光效应 ne(o)(T)n_e(o)(T) [34] 外,钽酸锂中的热电效应在高温下沿z轴生成内部电场Ez,因此通过Pockels效应[37, 38]引起折射率变化Δn。

微信图片_2025-06-27_110329_771

这里,r33 = 27.4 pm/V 和 r13 = 6.92 pm/V 是钽酸锂(LT)的电光系数;ε0 和 εr = 31 分别是真空介电常数和相对介电常数;p = -230 µC/(m²·K) 是热电系数[39]。波导的热膨胀调节了模式的束缚和极化周期,给定公式为[40]:

微信图片_2025-06-27_110334_843

其中,h 是 z 切钽酸锂(TFLT)波导的厚度,X 表示波导宽度 W 和极化周期 Λ。包含这三种效应的数值模型预测了图4(f)中温度与模拟 QPM 波长(蓝色菱形)的关系,这与实验结果(红色点)高度一致。这一结果表明,观察到的热调谐主要来源于热膨胀引起的几何变化、热电场引起的折射率调制以及传统的热光效应之间的相互作用。模拟与实验之间的微小偏差可能来源于未考虑的因素,如波导尺寸公差和热电系数的温度依赖变化[41]。尽管如此,理论与实验之间的显著一致性为我们设备的热调谐特性提供了强有力的证据,并确认了我们设计方法在热可调非线性光子设备中的有效性。

IV. 结论
总之,我们成功地演示了超低损耗集成钽酸锂光子平台,并基于高保真极化的 z 切 TFLT 提出了首个功能性二次谐波发生器。我们实现了归一化效率为 229 %/W/cm² 的二次谐波生成,并在 700 mW 泵浦功率下达到了 5.5% 的最大绝对转换效率。演示的-0.44 nm/°C 的温度可调性进一步增强了精确频率对准的潜力,这对许多精密应用至关重要。我们的工作不仅为优化二次谐波生成性能提供了重要的见解,而且为未来在量子频率转换和原子钟等领域的应用奠定了有前景的基础。此外,通过减少传播损耗和提高极化质量,可以进一步优化性能,为 TFLT 平台上的二次谐波发生器在未来更为出色的应用铺平道路。

关于我们:

OMeda成立于2021年,由3名在微纳加工行业拥有超过7年经验的工艺,项目人员创立。目前拥有员工15人,在微纳加工(涂层、光刻、蚀刻、双光子印刷、键合)等领域拥有丰富的经验。 同时,我们支持4/6/8英寸晶圆的纳米加工。 部分设备和工艺支持12英寸晶圆工艺。针对MEMS传感器、柔性传感器、微流控、微纳光学等行业。

中国(上海)自由贸易试验区临港新片区业盛路188号450室 电话:+86 188 233 40140 邮箱:jing.chen@omeda-optics.com

来源:OMeda

关于我们

OMeda(上海奥麦达微)成立于2021年,由3名在微纳加工行业拥有超过7年经验的工艺,项目人员创立。在微纳加工(镀膜、光刻、蚀刻、双光子打印、键合,键合)等工艺拥有丰富的经验。 同时,我们支持4/6/8英寸晶圆的纳米加工。部分设备和工艺支持12英寸晶圆工艺。针对MEMS传感器、柔性传感器、微流控、微纳光学,激光器,光子集成电路,Micro LED,功率器件等行业。

姓名:*
邮件:*
公司名称:
电话:*
您的需求: