该文章内容较长较丰富,看源文,请联系小编要文件
#低损耗氮化硅光波导 #离子注入铒 #6寸DUV步进式光刻代工
铒(Er)离子是光纤放大器和激光器的常用增益介质,相比于基于半导体的平台,提供了较长的激发态寿命、较慢的增益弛豫、较低的放大非线性和噪声以及良好的温度稳定性。近年来,超低损耗的氮化硅(Si3N4)光子集成电路的进展,加上离子注入技术,已使得高功率的片上铒放大器和激光器成为可能,其性能与光纤放大器相当,从而支持紧凑型光子系统。然而,这些结果受到高能(2 MeV)注入束能的限制,这是为了紧密限制的Si3N4波导(700 nm高度)所需的。由于延长的注入时间、大量的离子通量和高能量,目前尚未实现铒掺杂光子集成电路的大规模生产。在此,我们克服了这些限制,展示了首个完全晶圆级、兼容铸造厂的铒掺杂光子集成电路基于可调谐激光器。使用200 nm厚的Si3N4波导,我们将离子束能量需求降低至500 keV以下,实现了使用工业300 mm离子注入机的高效晶圆级注入。降低的注入能量标志着铒掺杂光子设备大规模生产的关键进展。与此同时,低约束的Si3N4波导显著增加了激光性能和输出功率。我们展示了91 nm的激光波长调谐范围,覆盖几乎整个光学C波段和L波段,光纤耦合的输出功率达到36 mW,内在线宽为95 Hz。铒离子的温度不敏感特性使激光能够稳定工作至125°C,并且使用远程光纤泵浦在室温下工作超过6小时,激光频率漂移不到15 MHz。铒掺杂波导激光器的完全可扩展、低成本制造为相干通信、LiDAR、微波光子学、光频合成和自由空间通信的广泛应用铺平了道路。
铒掺光纤激光器(EDFLs)被视为最低激光相位噪声的基准,在分布式光纤传感、陀螺仪、自由空间通信和光频计量等广泛应用中发挥着关键作用。其优势归因于铒离子的独特性质,包括长激发态寿命、慢增益动态、温度稳定性和低噪声特性。然而,由于体积庞大、手工组装成本高以及复杂性,铒掺光纤激光器主要应用于实验室环境,在对占地面积要求不高的工业领域的应用受到限制。基于铒掺光子波导的集成激光器的实现——使用与光纤激光器相同的铒离子增益基础——为设备小型化、光纤激光相干性和温度不敏感性在单片结构中提供了潜力。然而,与商业光纤激光器相比,基于铒的集成激光器在内在线宽和输出功率方面历来表现不佳,直到最近:直接将铒离子注入超低损耗Si3N4波导使得铒掺波导放大器(EDWAs)得以实现,光学增益超过30 dB,输出功率超过100 mW。这一进展进一步促成了铒掺波导激光器(EDWLs)的开发,其在调谐性方面超过了商业铒掺光纤激光器,且保持相干性。这些成就都在700 nm厚、紧密限制的Si3N4波导中实现。然而,这种厚Si3N4波导需要高能注入(最高可达2 MeV)以实现足够的离子渗透,确保与光场的最佳模式重叠。这显著限制了系统的可扩展性,因为它需要专用的注入设备,具有较小的区域覆盖(通常<2×2 cm²)、低束流、长处理时间,并且带来高能离子束导致的加热和波导变形等挑战。


图1. 铒掺Si3N4(Er:Si3N4)光子集成电路的晶圆级制造。
(A) Er:Si3N4 PICs晶圆级制造的关键工艺示意图,包括4英寸Si3N4光子晶圆制造、铒离子注入和微加热器沉积。通过激光写入形成的6 µm厚光刻胶掩膜(AZ 15XT)使得晶圆级选择性铒离子注入到作为增益部分的Si3N4螺旋波导中。
(B) 最先进集成可调激光器的关键性能指标比较,包括波长调谐范围、输出功率和内在线宽。被比较设备的参考文献:Comm. ITLA(1):Lumentum ITLA;SiN/III-V(2):[1];Er:Si3N4(3):[2];Si/III-V(4):[3];LNOI/III-V(5):[4];Er:Al2O3(6):[5];Si/III-V(7):[6];LNOI/III-V(8):[7]。
(C) 按照(A)所述制造工艺后,Er:Si3N4集成可调激光器的4英寸晶圆光学图像。
(D) 单个Er:Si3N4集成可调激光器的光学图像,足迹为0.4×1.0 cm²。
(E) 200 nm厚Er:Si3N4波导的扫描电子显微镜图像,叠加模拟的基模横向电(TE)光学模式。
(F) 基于三步连续离子注入过程的模拟铒离子分布,最大束能为480 keV,优化铒离子与光学模式的重叠,沿着200 nm厚Si3N4波导的垂直方向。
(G) 基模TE模式的模拟有效光学模式面积和达到波导中心所需的注入束能,作为Si3N4波导厚度的函数。显示了2.1 µm宽[8]、700 nm厚波导和5 µm宽、200 nm厚波导(本研究)的有效光学模式面积进行对比。
(H) 微电子工业中常用离子注入工艺的注入能量和剂量[9, 10],与之前实施的铒掺波导放大器(EDWA)[11]、铒掺波导激光器(EDWL)[8]以及本研究中提出的EDWL实现(标注红星)所需的能量和剂量进行比较。
在这里,我们克服了这些挑战,展示了首个C+L波段铒基可调波导激光器,通过完全晶圆级制造实现。这是通过200 nm波导厚度的低约束Si3N4平台实现的,大大降低了所需的离子束能量至500 keV以下。这种方法确保与标准工业注入机兼容,适用于8到12英寸的晶圆(图1H),提高了成本效益、产量和基于已建立半导体协议的铒掺Si3N4(Er:Si3N4)设备的制造可扩展性。它将铒注入时间从2×2 cm²区域的数十小时减少到12英寸晶圆的数十分钟(补充说明1),最小化了波导变形,补充说明1中提供了高约束和低约束Si3N4波导中铒离子注入的详细比较。此外,低约束设计减轻了光学非线性效应,从而提高了激光性能。总体而言,我们展示了具有紧凑的0.4×1.0 cm²占地面积、91 nm波长调谐范围(覆盖几乎整个C波段和L波段)、光纤耦合输出功率最高达到36 mW且内在线宽为95 Hz的全混合集成铒基激光器。这在输出功率和调谐范围上超越了商业铒掺光纤激光器和最先进的III-V基集成激光器(图1B,[1,3-7]),为稀土掺杂光子集成电路的大规模、低成本制造铺平了道路,为广泛应用提供了负担得起的高相干光源。
#低损耗氮化硅薄膜晶圆,提供文章中用的规格6寸 200nmSIN-8umSIO2-675umSI
#离子注入铒代工
#6寸DUV步进式光刻代工,最小线宽180nm,超高性价比,可以只曝光
#提供8寸 8umSiO2热氧片
ALOOI晶圆;--氧化铝薄膜晶圆,键合工艺和镀膜工艺
TAOOI晶圆--氧化钽薄膜晶圆,镀膜工艺
SINOI晶圆;--超低损耗氮化硅薄膜晶圆,
SICOI晶圆;新型量子光学平台
6寸LTOI晶圆批量供应;铌酸锂的有力的竞争对手,薄膜钽酸锂晶圆
8寸LNOI晶圆;8寸LNOI助力更大规模薄膜铌酸锂产品量产
LN/LT-SOI/Si/SIN W2W&D2W异质集成
流片: 6寸 氮化硅 铌酸锂 硅光 超高性价比流片, 1个BLOCK的价格买一整片晶圆
划重点--全国产-超高性价比-6 寸硅光-氮化硅-铌酸锂流片白皮书
晶圆级铒掺杂光子集成电路的离子注入与制造
EDWL的晶圆级制造过程始于制造超低损耗的Si3N4光子集成电路(图1A)。Si3N4波导是通过在带有8 μm湿氧化SiO2层的Si晶圆上,使用200 nm低压化学气相沉积(LPCVD)Si3N4薄膜形成的。沉积后的1200°C退火去除了氢气逸出[29],最小化了在1500–1538 nm波段范围内的吸收。波导通过深紫外(DUV)步进光刻技术进行图案化,并通过干法刻蚀获得光滑且垂直的侧壁。关于超低损耗Si3N4 PICs制造的详细信息,请参见方法部分和补充说明2。
在进行铒离子注入之前,施加了一层6 μm厚的光刻胶层(AZ 15nXT),以选择性地暴露用于铒注入的区域,同时屏蔽被动区域。铒离子注入是在被动Si3N4波导上使用商用VIISta HE离子注入机进行的,该注入机能够处理直径可达300 mm的区域,并支持同时注入四个4英寸晶圆。本研究通过三步连续注入来最大化铒离子与基模TE光学模式的重叠,同时最小化寄生上转换。注入能量分别为480、270和130 keV,以实现均匀的离子分布。每一步的优化离子通量分别为3.2×10¹⁵、1.5×10¹⁵和1.1×10¹⁵ cm⁻²,总注入时间为100分钟(详细信息见补充说明1)。图1F显示了使用蒙特卡洛程序包“停止与离子在物质中的范围”(SRIM [30])模拟的铒离子浓度分布,最大传输深度超过100 nm,达到了约30%的重叠(Γ ≈ 30%)。
离子注入后,晶圆在1000°C下使用氮气退火1小时,以光学激活铒离子并修复注入引起的缺陷。随后,使用SiCl4和O2前体沉积了3 μm无氢低损耗SiO2包层[31]。接着,制造了铂(Pt)和钛(Ti)微加热器,用于对Vernier滤波器和环镜的热光调谐。
混合集成铒基Vernier激光器
图2. 大规模制造的Er:Si3N4集成激光器组件的表征。
(A) 混合集成可调Er激光器的示意图,采用基于微谐振器的Vernier滤波器进行波长调谐,宽带环形镜用于可调模式反射,Er:Si3N4增益部分。
(B) 测量的Er掺Si3N4和SiO2薄膜的光致发光(PL)光谱,通过520 nm氩激光泵浦,激发4I15/2态,避免带内受激发射。两种PL强度进行了面积归一化和缩放处理,以便清晰显示。
(C) 在两个具有略微不同FSR的Vernier微谐振器的掉落端口测量的宽带光传输。所得的Vernier间隔约为10 THz,对应于85 nm的波长范围。
(D) 被动Si3N4波导的传播损耗,来自50 GHz FSR微环谐振器(5 µm宽度和200 nm高度)内在线宽的测量结果。
(E) 测量的光学谐振(蓝色)与拟合的内在线宽κ0/2π = 22.6 MHz(红色)。
(F) Vernier微谐振器上集成加热器的热光调谐表征。光谱图展示了过滤后的放大自发辐射(ASE)随加热器功率从0到400 mW增加而发生的波长调谐。
(G) 测量(点)和模拟(实线)宽带可调环形镜的传输和反射。传输响应通过微加热器进行热调谐。
铒基激光器(图2A)包括一个线性光学腔,其中铒掺杂增益部分位于两个可调环形镜之间,Vernier模式滤波器由两个具有略微不同自由光谱范围(FSR)的微谐振腔组成。腔体保持200 nm的均匀高度和300 MHz的光学纵向模式间隔。图2B展示了使用520 nm氩激光器激发的Er-掺Si3N4和SiO2薄膜的光致发光(PL)光谱,该激光器通过非辐射衰减使铒离子从较高的能级跃迁到4I15/2态,避免了带内的受激发射。面积归一化并缩放的PL强度表明,Si3N4中铒离子的光谱特性和带宽与SiO2(代表性光纤介质)中铒离子的相似。两条主要PL峰的相对强度差异归因于局部晶场的变化。
在集成激光平台中,铒离子通过两种方法进行光泵浦:使用1480 nm的III-V激光二极管(3SP 1943LCV1)进行边缘耦合或使用高功率光纤耦合模块(QPhotonics QFBGLD-1480-500)进行远程泵浦。边缘耦合器的高度为200 nm,输入端宽度为0.42 μm,输出端宽度为0.5 μm。仿真表明,边缘耦合到1480 nm泵浦二极管时,输入耦合器的插入损耗为0.97 dB,而与UHNA-7光纤进行平接时为0.56 dB。
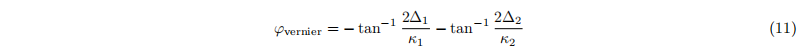
在腔体内实现了一个由两个串联的加-减光栅微谐振腔组成的Vernier环滤波器(图2A),以实现精确的激光模式选择。为了确保单模操作并最小化传输损耗到高阶横向模式,两个谐振腔都具有2 μm的波导宽度和比激光腔纵向模式间隔更窄的3 dB带宽。设计的微谐振腔具有144 GHz和142 GHz的FSR,导致Vernier FSR为10.224 THz,匹配光学C+L波段的波长范围。测量在两个Vernier谐振器的掉落端口的宽带传输(图2C),以及相邻谐振之间的频率差(红色)确认了Vernier滤波器间隔为约10 THz,覆盖了主要的铒发射带。图2D展示了具有50 GHz FSR和5 μm宽度的被动微环谐振腔的传播损耗α,通过横向电(TE)极化的扫描激光光谱法进行测量。图2E展示了具有拟合内在线宽κ0/2π = 22.6 MHz的代表性光学谐振。传播损耗α(dB/m)通过拟合的内在线损耗κ0/2π计算得出,公式为α = 10 log10(e) · ngκ0/c,其中群折射率ng = 1.8。波导传播损耗α在C波段和L波段之间变化,波长依赖性主要归因于波导侧壁的瑞利散射。
Pt/Ti微加热器用于通过将Vernier滤波器的峰值传输与腔体纵向模式对齐,调节激光发射波长。微加热器的调谐效率如图2F所示,其中光谱图演示了在Vernier谐振器掉落端口测量的过滤放大自发辐射(ASE)的波长调谐。随着加热功率从0增加到400 mW,观察到单模线性调谐,实现了620.6 GHz/W的调谐效率。
可调宽带腔体反射镜采用了回路型Mach-Zehnder干涉仪(MZI)结构。MZI中的方向耦合器调节两个臂之间的功率分布,从而决定镜面输出。相位调谐通过微加热器实现,微加热器引入精确的相位偏移,灵活地控制回路镜的宽带传输和反射特性(图2G)。补充说明3中提供了回路镜设计和制造设备的调谐性能的综合分析,展示了在特定偏置条件下的全传输和反射。
激光波长调谐与发射相干性
图3. EDWL在光学C + L波段的性能。
(A) 激光波长调谐演示的实验设置。OSA:光谱分析仪,PM:功率计,PD:光电二极管,ESA:电谱分析仪,CW参考激光器:Toptica CTL。
(B) 完全封装的集成铒基可调激光器组件的光学图像。
(C) 远程泵浦下,测得的光纤输出功率为36 mW的激光光谱。侧模抑制比(SMSR)大于75 dB(设备ID:D125_43_F5_C2)。
(D) 跨越光学C + L波段的单模激光光谱。通过调节Vernier滤波器和环形镜的反射与微加热器实现波长调谐。铒离子通过光纤阵列双向泵浦,光纤阵列间距与输入耦合器和模式选择环形镜之间的间距匹配,传输1480 nm泵浦光并反射1550 nm激光(设备ID:D125_04_F9_C3)。光谱分析仪(OSA)的分辨带宽设置为0.2 nm。
(E) 激光功率与泵浦功率的依赖关系,均在芯片上测量,显示了17.5 mW的阈值和约24%的斜率效率(设备ID:D125_04_F4_C3)。
(F) 自由运行(蓝色)和封装(红色)EDWL的激光频率噪声,使用外差检测与参考ECDL激光器进行比较。参考ECDL的频率噪声通过与稳定光纤激光器的外差检测测量,显示为灰色。β−分离线以虚线灰色显示。单个Vernier滤波器环的模拟热折射率噪声(TRN)极限显示为虚线红色。泵浦激光RIN到EDWL频率噪声的估算转换显示为紫色。EDWL 1设备ID:D125_04_F4_C3,EDWL 2设备ID:D125_43_F2_C2。
(G) 测量的EDWL1(蓝色)、1480 nm泵浦激光器(紫色)、ESA噪声底(黄色)和光子噪声极限(红色)的RIN。
我们使用图3A所示的实验装置研究了EDWL的激光性能和相干性。为了最小化外部干扰并验证激光性能,我们在定制的14针蝴蝶封装中进行了光子封装(图3B)。Peltier元件、热敏电阻和所有微加热器通过焊接连接到蝴蝶封装引脚。封装设备中的铒离子通过1480 nm多模激光二极管(QPhotonics QFBGLD-1480-500,>4 nm光谱宽度,名义功率为400 mW,驱动电流为1.5 A)进行带内泵浦,从4I15/2跃迁到4I13/2能级。激光输入和输出波导通过边缘耦合与切割的UHNA-7光纤连接,并用SMF-28光纤尾纤粘接,导致在1550 nm下的输入插入损耗为1.62 dB,输出为1.28 dB。图3C中的光谱图展示了1608 nm处的单模激光,光纤输出功率为36 mW,侧模抑制比(SMSR)为75 dB,分析仪的分辨带宽为0.5 nm。
图3D展示了芯片外单模激光器在广泛波长范围内的调谐,从1530 nm到1621.3 nm。在这次测量中,Er:Si3N4波导通过光纤阵列双向泵浦,该光纤阵列设计用于匹配输入耦合器与模式选择环形镜之间的间距,传输1480 nm泵浦光,同时反射1550 nm激光波长(补充说明3)。这种泵浦配置足以激发Er离子到4I13/2状态,覆盖整个增益波导。通过调节Vernier滤波器中一个微谐振腔的加热器功率,实现了无模式跳跃的激光波长调谐,将不同的腔模式与滤波器通带对齐。为了最大化目标波长的输出功率,在优化过程中调整了激光腔体和环形镜中的相位移器。图3D中的离散激光对应于Vernier微谐振腔的FSR。通过同时调谐两个微谐振腔,可以实现连续调谐。
这种激光调谐超越了之前集成激光系统所展示的能力[2-7],达到了与基于EDF长度和腔内损耗优化的桌面型EDFLs相当的性能[32]。然而,与L波段相比,C波段的功率有所下降。这个现象归因于由于SiO2包层中的O-H吸收导致的波导损耗增加,这是由于SiO2沉积腔中氢的交叉污染所致。O-H键在接近200 THz时表现出强烈的过调吸收,减少了C波段EDWL的有效增益和激光功率,这一点通过补充说明4中的仿真得到了确认。相比之下,由于较长波长处吸收尾部较弱,L波段输出的影响较小。补充说明4中的理论仿真表明,在没有O-H吸收并且波导损耗遵循图2D中拟合的α值(使用标准SiO2包层)的情况下,EDWL将在C和L波段实现均匀的功率分布。尽管铒离子在C波段的发射更强,但较长波长下减少的传播损耗和较高的饱和功率平衡了输出功率。因此,最小化腔内损耗对于最大化激光功率并实现铒发射带宽内的光谱均匀性至关重要。
图3E展示了芯片内激光功率与芯片内泵浦功率的关系,揭示了1480 nm泵浦下的激光阈值为17.5 mW,斜率效率约为24%,通过减少耦合损耗和腔体损耗可以进一步优化。
我们通过处理EDWL与外部腔二极管激光器(ECDL,Toptica CTL)之间的采样拍频的同相和正交分量,使用Welch方法[33]测量了频率噪声的单边功率谱密度(PSD)(图3F)。对于在1592 nm激光的自由运行EDWL(蓝色曲线,EDWL 1),超出1 MHz偏移频率的频率噪声PSD表现为一个平台h0 = 24.6 Hz²/Hz,对应于洛伦兹线宽πh0为77.3 Hz。通过积分频率噪声从1/T0到频率噪声PSD Sv(f)与β分离线8 ln(2)·f /π²(虚线灰色)相交的位置,在T0 =1 ms测量时间下,得到的全宽半最大(FWHM)线宽为99.7 kHz,主要与高斯贡献相关。EDWL 2(红色曲线)测量时,FWHM线宽为90.4 kHz,主要归因于低偏移频率下机械振动贡献的减少。EDWL 2的松弛振荡频率出现在0.5 MHz的较低偏移处,主要由于激光腔体功率的差异。参考ECDL(灰色曲线)的频率噪声PSD通过与商业稳定光纤激光器(Koheras ADJUSTIK)进行外差测量获得,接近1550 nm。超出1 MHz的频率噪声平台h0与EDWL 1和EDWL 2的特性相一致。在10 kHz以下的偏移频率下,噪声特征也相似,表明在该范围内测量的EDWL PSD主要受到ECDL的影响。使用具有更低频率噪声的参考激光器,可以进一步降低EDWL的洛伦兹线宽πh0和FWHM线宽,展示出与ECDL在这些频率范围内相当或超越的性能。
在影响EDWL频率稳定性的各种因素中,热折射率噪声(TRN)在1 MHz以下的偏移频率处成为一个重要的贡献者。使用已建立的模型[34, 35],我们计算了Vernier滤波器中单个环形谐振器的TRN,并估算了它对整个激光腔体的贡献(详细信息见补充说明6)。仿真得到的TRN在图3F中以虚线红色线表示。此外,1480 nm泵浦激光器的强度噪声通过腔体和Vernier滤波器环加热对EDWL频率噪声产生贡献[36]。为了量化这一贡献,我们通过用弱正弦信号调制泵浦激光的驱动电流,使用电谱分析仪(ESA)测量产生的RIN,并在激光频率噪声谱中测量对应的峰值[37]。通过计算这些峰值的比率来得到传输函数,并用来缩放图3G中的泵浦RIN(补充说明5),估算泵浦激光二极管的噪声贡献(紫色曲线在图3F中)。这种贡献在1 MHz以上的偏移频率处占主导地位。补充说明7中提供了不同泵浦RIN情况下EDWL频率噪声的比较。
图3G中测量了EDWL的RIN,采用了DC耦合光电探测器(Thorlabs DET08CFC),在1550 nm时具有0.9 A/W的响应度。测得的EDWL RIN(蓝色)在5 kHz到1 MHz的中间偏移频率范围内,达到了−150 dBc/Hz的低值。EDWL RIN与泵浦二极管(紫色)紧密跟随,表明泵浦强度噪声与EDWL的RIN性能之间有很强的相关性。超过1 MHz的RIN下降是由于Vernier滤波器的掉落端口过滤作用。进一步减少泵浦二极管噪声将提升EDWL的整体噪声性能。
激光发射的温度和反射鲁棒性
半导体激光器因其紧凑性和成熟的批量生产技术在工业应用中占据主导地位。它们对高温高度敏感,高温会导致载流子复合增加、阈值电流上升、效率降低,并使增益中心漂移[38–40],除非采用改进的热管理和激光设计[41]。相比之下,由于其窄的原子级光学跃迁被填充的5s和5p电子壳层保护,铒掺杂增益介质天生对温度不敏感,这抑制了声子相互作用并稳定了铒离子能级,避免了温度波动的影响[19]。因此,铒掺杂增益介质的发射截面和人口反转效率几乎不随温度变化。这确保了铒掺激光器即使在高温下也能保持稳定的输出功率和线宽,而不会出现半导体激光器常见的性能衰减。
图4. 基于铒的集成可调激光器的稳定性表征。
(A) 激光在设备温度从85°C到125°C时的光谱,超过了大多数商业III-V半导体激光器的温度极限。
(B) 激光稳定性表征的实验设置,评估对外部反射(路径I)、自反射(路径II)和激光波长漂移的敏感性,通过与稳定频率梳进行外差拍频测量(路径III)。RF拍频通过延迟自外差(DSH)干涉测量来测量。80 MHz的中心频率由施加到声光调制器(AOM)的RF频率决定。SMF:单模光纤延迟线,FPC:光纤偏振控制器。
(C) 在注入外部激光功率增加时,测量的激光DSH拍频光谱,在350 MHz的失谐范围内,激光与外部激光的拍频。
(D) 在增加自反射水平时,测量的激光DSH拍频光谱。光路通过环形器被修改,以通过可变光衰减器(VOA)反射激光。
(E) 使用远程泵浦来缓解直接集成中的热不稳定性,测量的激光外差拍频光谱,在6小时内使用光学参考系统(FC1500,Menlo Systems)进行测量。250 MHz的峰值对应于频率梳的重复频率。310 MHz的峰值是频率梳线与激光的拍频,6小时内漂移不到15 MHz。
图4A展示了激光在85°C(6.3 mW)、105°C(4.4 mW)和125°C(5 mW)下的发射光谱,显示了与室温(10 mW)相比,功率仅有轻微下降,主要是由于耦合光纤的耦合漂移。集成激光器面临的另一个重大挑战是背反射,它会降低相干性、引入频率噪声,并对许多模拟和数字应用造成不可容忍的非线性[42]。我们在图4中表征了铒掺集成激光器在不同反射条件下的稳定性。
为了评估反射的影响,我们使用了图4B所示的实验设置,其中通过将受控的背反射注入激光腔体来表征反射敏感性。图4C和4D分别展示了带外部反射和自反射的激光拍频的光谱图,通过延迟自外差检测监测。RF拍频,中心频率为80 MHz,对应于施加到声光调制器(AOM)的RF频率。背反射的反馈水平从−30 dBm到+10 dBm系统地变化。激光表现出对这些反射的抗性,在测试的反射水平下保持一致的频率响应,没有发生相干性坍塌。值得注意的是,激光在自反射下保持稳定,直到14 dB的衰减,与常规ECDL(如Toptica DL pro)相当,后者通常需要>30 dB的光学隔离来减轻背反射。这种抗背反射的鲁棒性归因于微谐振器掉落端口在EDWL中作为固有带通滤波器的功能,表明潜在的隔离器自由操作,简化了光子设计,并增强了在苛刻环境中的可扩展性。
接下来,我们通过监测与完全稳定的光频梳(FC1500,Menlo Systems)进行外差干涉的RF拍频光谱,表征了集成铒掺Si3N4激光器的长期频率稳定性(图4E)。铒掺集成激光器安装在14针蝴蝶封装中,使用UHNA-7光纤进行铒泵浦(图3B),而III-V 1480泵浦激光二极管远程放置,以隔离热引起的不稳定性。源自光频梳的两个梳线的拍频,中心频率为250 MHz,用于监测和基准稳定性。激光与梳线的拍频在六小时内进行了跟踪。图4E中的光谱显示了频率漂移在15 MHz以内,证明了我们的Er:Si3N4激光器具有强稳定性。这种稳定性归因于高Q腔体和高效热管理的单片设计,满足精密传感、LiDAR和高相干光通信等先进应用的严格需求,这些应用对窄线宽、高稳定性和抗干扰性至关重要。
总结
总之,我们展示了首个通过晶圆级工艺制造的铒掺波导激光器,实现了75 dB的SMSR和几乎全C波段和L波段的可调性。通过使用200 nm厚的Si3N4光子集成电路,注入能量降低至500 keV以下,通过在商用300 mm工具中进行晶圆级注入,展示了可扩展性。该激光器提供高达36 mW的光纤耦合输出功率,洛伦兹线宽低于95 Hz,频率漂移在6小时内小于15 MHz。Er:Si3N4 Vernier激光器架构的一个关键优势是温度不敏感性,能够在高达125°C的温度下稳定工作,而不会出现显著的性能衰减。该架构还支持远程泵浦,确保在严苛环境中无需昂贵的封闭包装即可实现环境稳定性和功能。未来增益系数和腔体损耗的改进可以实现光纤激光器级别的相干性,确立该激光器作为下一代光学系统的紧凑型、可大规模生产的平台,推动相干传感、LiDAR、模拟光学链路和相干通信等应用的发展。
方法
光子集成电路制造
为了制造被动的超低损耗Si3N4光子集成电路,使用单晶100 mm Si晶圆进行湿法氧化,形成8.0 µm的SiO2层,作为底层包层,有效隔离光线在薄Si3N4波导中的束缚,尤其是在边缘耦合器处。增益部分波导的横截面为5×0.2 µm²,模式面积为3.02 µm²(图1G),由200 nm厚的低压化学气相沉积(LPCVD)Si3N4薄膜形成。LPCVD Si3N4薄膜表现出0.3 nm的均方根粗糙度和在4英寸晶圆上±0.6%的均匀性。沉积后,Si3N4薄膜在1200°C下退火11小时,以去除多余的H2并打破N-H和Si-H键,这些键在1500–1538 nm波长范围内会产生吸收[43, 44]。这一退火过程导致200 nm厚的Si3N4层因薄膜致密化和氢逸出而减薄了3.5%[29]。与在厚Si3N4薄膜中进行的波导后退火[45]不同,LPCVD后立即退火可以确保精确的厚度控制,并保持波导形状,防止低纵横比波导中由拉伸应力引起的变形(补充说明2)。波导图案通过深紫外(DUV)步进光刻(KrF 248 nm)定义,分辨率为180 nm。Si3N4波导通过CHF3和SF6气体的各向异性干法刻蚀形成,获得垂直、清洁和平滑的侧壁,同时最小化刻蚀副产品中聚合物的再沉积。
在离子注入后,我们将芯片在1000°C下使用氮气退火1小时,以光学激活铒离子并恢复注入引起的缺陷。随后,在300°C下使用感应耦合等离子体增强化学气相沉积(ICP-CVD)技术,以SiCl4和O2为前体沉积了3 µm厚的无氢低损耗SiO2包层[?]。集成的Pt/Ti微加热器被制造在SiO2上包层的顶部,以实现微谐振腔共振频率和相位偏移的热光调谐。经过完全的晶圆级制造过程后,晶圆通过深刻蚀SiO2和随后的深反应离子刻蚀(DRIE)使用Bosch方法进行分离,然后进行背面磨削,最终将晶圆分割成单个芯片级激光器(图1D)。
附加信息:通过可扩展制造实现全C波段和L波段可调铒掺集成激光器
Er掺Si3N4器件的离子注入参数:厚波导与薄波导的比较
表S1. 厚(700 nm)和薄(200 nm)Er掺Si3N4器件的制造要求和离子注入参数比较
在铒(Er)掺硅氮化物(Si3N4)波导器件的开发中,离子注入参数的选择——特别是离子能量和剂量——在决定制造工艺的可行性和可扩展性方面起着至关重要的作用。在我们之前的工作中[3, 4],高约束的厚硅氮化物波导(约700 nm)需要高能离子注入,能量高达2 MeV,以实现铒离子与光学模式的最佳重叠。然而,由于高成本和有限的可访问性,尤其是在大规模工艺中,工业应用中通常不使用这种高能注入。此外,高能注入通常需要使用气体绝缘的静电加速器等先进设备,这进一步增加了操作的复杂性。为了解决这些问题,开始使用较薄的硅氮化物层(约200 nm),这使得可以在显著较低的能量下进行离子注入,约为480 keV。这种离子能量的降低与当前微电子制造中使用的注入参数更为一致,在这种情况下,标准注入器通常在大多数高剂量应用中操作于600 keV以下[5]。
补充表S1总结了我们最近实验中铒离子注入的关键参数,包括被动波导制备的制造步骤、离子能量、注入通量、束流电流密度和净注入时间,通常随着离子通量的增加而增加。200 nm波导高度被精心选择,以优化与铒离子的重叠,同时与半导体行业中可用的注入能量对接。
图S1(a)(b)提供了铒掺Si3N4微环谐振器中通过内在线宽表征的铒吸收曲线的比较。图S1(a)显示了2 MeV注入的谐振器的内在线宽(κ0/2π),该谐振器具有2.1×0.7 µm²的横截面和100 GHz的自由光谱范围(FSR),而图S1(b)展示了480 keV注入的谐振器的内在线宽,具有5×0.2 µm²的横截面和50 GHz的FSR。两个谐振器的注入参数详见补充表S1。通过频率梳辅助的宽带激光光谱法测量的κ0/2π显示了在高能和低能样品中铒吸收特征曲线的变化。峰值吸收(最大κ0/2π)的差异来自于为优化重叠因子而优化的铒离子分布。通过将图S1(b)中的铒离子注入剂量缩放到与图S1(a)中峰值吸收匹配,可以在低能注入样品中实现相似的峰值吸收。然而,在较薄的Si3N4波导中,与较厚波导相比,较近的铒离子间距增加了在高注入剂量下离子聚集的可能性。增加的铒浓度进一步引发了配对诱导猝灭,这是由于紧密排列的离子之间的能量转移所致,抑制了完全的人口反转,并降低了量子效率[6, 7]。为了在保持高增益和效率的同时减轻这些效应,200 nm Si3N4波导的注入参数经过精心优化。
图S1. 高能与低能铒注入的比较
(a) 通过2 MeV铒注入能量制造的Er掺Si3N4微环谐振器的测量光学损耗(内在线宽 κ0/2π)。注入参数见补充表S1。微环谐振器的横截面为2.1×0.7 µm²,自由光谱范围(FSR)为100 GHz。内在线宽呈现出典型的铒吸收特征。
(b) 通过480 keV铒注入能量制造的Er掺Si3N4微环谐振器的测量光学损耗(内在线宽 κ0/2π),使用补充表S1中给出的注入参数。Si3N4波导的横截面为5×0.2 µm²,FSR为50 GHz。
(c) (a)中高能注入样品的图片。总注入面积为8.5×8.5 mm²。
(d) (b)中低能注入样品的图片。该图显示了在注入过程中,四个4英寸的晶圆被安装在一个12英寸晶圆上。总注入面积高达707 cm²,对应于一个12英寸晶圆。
通过采用较低能量的注入,我们旨在提高可用性和经济可行性,使得Si3N4波导的晶圆级掺铒成为可能(使用VIISta HE注入机,适用于最大12英寸晶圆,图S1(d)),相比之下,之前的高能方法通常限于小面积掺杂(约8.5×8.5 mm²,使用Tandem注入机,图S1(c))。VIISta HE注入机提供0.5%(1 σ)的剂量均匀性和±0.1°的角度精度,适用于8英寸晶圆。转向较薄的氮化物薄膜和低能量注入不仅提高了成本效益,而且通过利用半导体行业中已经普遍使用的高电流和中电流注入器,提升了设备的生产能力。与这些已建立的协议对接,使得铒掺Si3N4设备的制造更加可扩展,并且在实际应用中具有商业可行性。
退火和刻蚀顺序对Si3N4波导的影响
我们研究了刻蚀-退火顺序对被动Si3N4波导的影响。
在本文讨论的EDWL器件的制造过程中,200 nm的LPCVD Si3N4被沉积在带有8 µm湿氧化层(WOX)的硅基底上。Si3N4波导通过深紫外(DUV)步进光刻技术制造,随后进行干法刻蚀和高温退火。根据不同的条件,高温退火通常会导致LPCVD Si3N4薄膜的收缩[8]。在此,我们将Si3N4波导在1200°C下退火11小时,因此需要研究退火后产生的厚度减少情况。
图S2. 退火-刻蚀顺序对Si3N4波导性质的影响。
(a) Si3N4波导的预制造:低压化学气相沉积Si3N4薄膜,并在1200°C下退火11小时。
(b) 退火后200 nm Si3N4薄膜厚度的收缩。
(c) Si3N4波导制造过程的示意图,展示了刻蚀和退火步骤。
(d) 使用刻蚀-退火顺序制造的Si3N4波导的扫描电子显微镜图像。
(e) 使用退火-刻蚀顺序制造的Si3N4波导的扫描电子显微镜图像。
我们测量了200 nm Si3N4薄膜在退火后的平均厚度减少了6.8 nm(补充图S2(b))。这种收缩可能显著影响对波导高度变化敏感的器件。例如,在波导光栅中,7 nm的厚度变化可能导致中央反射频率的变化,变化量可达太赫兹级别。此外,由于LPCVD Si3N4薄膜具有较大的内在拉伸应力,5 µm × 200 nm的波导在退火后容易出现不可预测的弯曲,补充图S2(d)中的SEM图像显示了这一点。此弯曲影响光模式分布,导致光散射,从而可能影响EDWL器件中铒掺增益部分的性能。
然而,反转Si3N4波导刻蚀和退火的顺序有效地减轻了这种弯曲。补充图S2(e)展示了使用退火-刻蚀顺序制造的Si3N4波导的横截面,在该波导中未观察到弯曲,保持了矩形的横截面形状。退火-刻蚀顺序还允许更好地控制波导厚度,因为它有助于在薄膜级别进行厚度测量。
宽带可调环形镜设计与表征
图S3. 宽带可调环形镜特性。
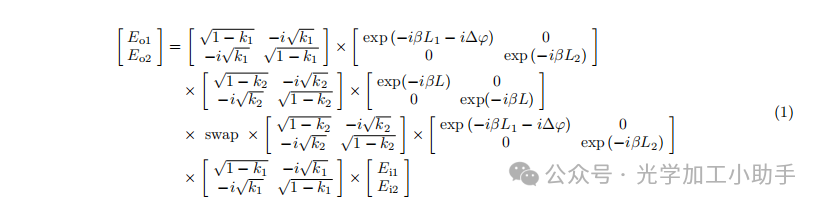
(a) 可调环形镜的示意图。Ei1和Ei2:输入场;Eo1和Eo2:输出场;k1和k2:方向耦合器中的功率耦合比;L1和L2:Mach-Zehnder干涉仪(MZI)臂的长度。
(b) 模拟和实验的传输输出场对加热器功率在MZI臂中应用的依赖关系。1550 nm的仿真参数:Ei1=0,Ei2=1,k1 = k2=0.09;1480 nm的仿真参数:Ei1=0,Ei2=1,k1=0.16,k2=0.3。
本文中EDWL所使用的宽带可调环形镜,如补充图S3所示,基于回路型Mach-Zehnder干涉仪(MZI)结构。该器件具有两个输入场Ei1和Ei2,以及两个输出场Eo1和Eo2。MZI内的方向耦合器通过耦合比k1和k2定义,决定了两个臂之间的功率分布。相位调谐通过集成金属加热器实现,金属加热器引入受控的相位偏移,动态调整环形镜的传输和反射特性,从而实现输出场Eo1和Eo2的宽带调谐。
Eo1、Eo2与Ei1、Ei2之间的数学关系为:
输出场Eo1, Eo2计算公式为:
在补充方程式1和2中,β是传播常数,e^(-i∆φ)表示由微加热器引入的附加相位偏移。闭合回路的非线性相位偏移被忽略,且MZI臂的长度L1和L2设为相等。
补充图S3(b)展示了在1480 nm和1550 nm输入情况下,应用加热器功率的变化对可调环形镜的实验和模拟传输特性。通过这些测量,输入场通过一个端口注入(Ei1=0,Ei2=1),传输定义为相对端口的输出。对于这两个波长,传输可以从0调节到1,展示了通过调节加热器功率,环形镜能够在完全透射和完全反射状态之间切换。在较低的加热器功率下,偏差来源于由于热散失和环境影响引起的电阻波动。
通过调节方向耦合器中的功率耦合比k1和k2,并施加适当的加热器功率(例如,补充图S3(b)中的约600 mW),能够为1480 nm和1550 nm输入提供相反的输出行为,有效地充当波长分复用器。
在为EDWL器件设计的宽带可调环形镜中,设计了两个具有不同功能的反射镜以优化激光性能。输出反射镜提供了可调宽带反射率,用于激光波长,而另一个反射镜则反射C和L波段的激光并传输1480 nm的铒泵浦光。这些功能是通过调整方向耦合器中的耦合比k1和k2实现的。两个反射镜均可通过施加偏置到MZI臂来调节。
图S4. 加热器功率依赖的可调环形镜表征。
(a) 宽带反射镜的传输
(b) EDWL中的模式选择性反射镜的传输
补充图S4展示了可调环形镜的实验表征。通过改变加热器电压,测量并标准化了传输到参考波导,偏振设置为横向电(TE)模式。结果展示了用于EDWL的可调宽带反射(补充图S4(a))。
输出功率调制和可调模式选择性反射(补充图S4(b),加热器功率为0 mW或>300 mW),用于铒离子激发和激光模式反射。
EDWL输出功率和线宽的理论分析
本节通过模拟使用本研究中给出的典型参数,研究了铒掺波导激光器(EDWL)的理论性能,包括输出功率和基本线宽。
补充图S5展示了模拟的腔内功率分布以及EDWL的波长依赖输出功率。图S5(a)展示了激光腔体的示意图,包含高反射率背面镜(反射率R1)、输出耦合镜(反射率R2)、铒掺增益部分以及带传输Tf的模式滤波器。控制单模激光腔内复杂光场A(t)的速率方程表示为:
其中,ng是群折射率,L是腔体往返长度,g是增益系数(1/m),α是传播损耗(1/m)。项ngL/c表示往返时间,通过纵向模式间隔测量为3.33 ns。由于Vernier滤波器微谐振器的群延迟,这一值比计算值多出0.92 ns。
图S5. 铒掺波导激光器腔内功率分布和波长依赖输出功率的仿真。
(a) 激光腔体示意图,包含两个镜面、铒掺增益部分和模式滤波器。模拟输出功率从镜面2收集。
(b) 正向(P+)和反向(P−)传播光的模拟腔内功率分布。镜面传输和滤波引起的损耗被突出显示。
(c) 铒离子浓度为5.6×10²⁶ m⁻³、离子寿命为3.4 ms的EDWL的波长依赖输出功率。
(d) 离子浓度较高(9.35×10²⁶ m⁻³)且离子寿命较短(2.7 ms)的EDWL的模拟输出功率。
图S5(b)展示了正向(P+)和反向(P−)传播模式的模拟腔内功率分布,其中突出显示了镜面传输和滤波器损耗。两个模式在整个腔体中都会经历损耗,往返损耗系数为e^(-αL)。增益发生在铒掺增益部分,具有有效增益系数geff = g0/(1 + P/Psat)。增益被建模为g0 = σeN2 − σaN1,其中N2和N1分别是铒离子在激发态和基态的种群密度,σe和σa分别是铒的发射和吸收截面,使用[3]中测得的数值。Psat是饱和功率,由Psat = τ(hvA/σeffa+σe)·1/Γ给出,其中τ是铒激发态寿命[9]。在仿真中,镜面反射设置为R1 = 0.95和R2 = 0.5。增益和损耗系数分别为2.28 dB/cm和1.98 dB/m,匹配实际EDWL器件中测得的数值。
在铒掺增益部分末端,正向模式在遇到Vernier滤波器损耗(1−Tf)后,被反射镜2反射,反射率为R2。反射光随后向后传播,初始功率为R2·P+。到达镜面1时,光再次被反射以重新启动P+。P+和P−的值通过应用边界条件迭代确定,直到收敛为止。激光器从镜面2的输出为Pout = (1−R2)·P+。减少滤波器损耗Tf和增加镜面反射率R1可以增强EDWL的输出功率。
图S5(c)(d)展示了铒离子浓度分别为5.6×10²⁶ m⁻³和9.35×10²⁶ m⁻³、相应铒离子寿命为3.4 ms和2.7 ms的EDWL理论波长依赖输出功率。镜面反射设置为R1 = 1和R2 = 0.5,并为最大输出功率近似忽略了滤波器损耗。
图S5(c)评估了三种损耗条件:具有低损耗SiO2包层的Er掺Si3N4(Er:Si3N4)波导、含有吸收性O-H杂质的SiO2包层以及波长无关的被动损耗1 dB/m。由于暴露于ICPCVD腔室中的水,制造的EDWL中SiO2包层中的O-H键在200 THz处强烈吸收光,并在C波段具有扩展的尾部[11]。这种吸收显著减少了EDWL在较短波长下的输出功率,与正文中的实验结果一致。L波段EDWL的输出功率与模拟值匹配,表明实际设备中O-H吸收尾部比最初建模的要小。
使用没有吸收的SiO2包层的Er:Si3N4波导进行的仿真显示,C波段和L波段的输出功率均匀。尽管铒离子在C波段的发射更强,但较长波长下较高的饱和功率和较低的传播损耗导致在铒发射带宽上输出功率相对平坦。此外,波长无关的均匀损耗1 dB/m进一步增强了EDWL功率和输出平坦度。
在图S5(d)中,应用了相同的损耗水平,但采用了较高的铒注入剂量,使铒浓度为9.35×10²⁶ m⁻³,寿命为2.7 ms,从而提高了EDWL的输出功率。然而,较高的铒浓度可能降低激发态寿命,并可能增强再吸收和协同上转换效应,从而降低效率并改变铒的吸收和发射特性[6, 7]。这突显了在增益增加与潜在损失机制之间平衡的过程中,需要仔细优化掺杂浓度。
补充图S6研究了铒离子浓度、波导损耗和放大增益对激光性能的影响,使用了与上述相同的算法和参数。图S6(a)显示了1550 nm激光下输出功率(mW)对波导被动损耗(dB/m)和铒掺放大增益(dB/cm)的依赖关系。较高的被动损耗会减少输出功率,尤其是在低放大增益时,这突显了最小化被动损耗以实现最大效率的必要性。增加放大增益可以缓解这些损耗并提高输出功率,但也增加了泵浦功率需求,并引入了热管理挑战。
图S6(b)展示了Schawlow–Townes激光线宽极限(Hz)与波导损耗(dB/m)和放大增益(dB/cm)之间的关系。
基本线宽由以下公式给出:∆ν = nspπhνκ²/Pout,其中nsp = N2/(N2 − N1)是自发发射因子。在热平衡下,激发态N2和基态N1的种群按照玻尔兹曼分布:N2/N1 = e^(-h/kT∆ν)。根据[12],截面满足以下关系:
σa(ν) = σe(ν)e^(h/kT∆ν),在相同的空间本征模下。种群密度可以表示为:
其中,N0是注入的铒离子总种群。自发发射因子在强1480 nm光泵浦下计算为nsp = 1.75。线宽∆ν随着放大增益的增加而减小,因为较高的增益减少了相对噪声贡献,而增加的被动损耗由于腔内衰减增大导致线宽变宽。因此,最小化被动损耗并优化放大增益是实现窄线宽的关键,这对于需要高光谱纯度的应用至关重要。
图S6. 不同铒浓度下EDWL的模拟输出功率和Schawlow–Townes线宽极限。
比较了两个EDWL:EDWL1(铒浓度 = 5.6×10²⁶ m⁻³,铒寿命 = 3.4 ms)和EDWL2(铒浓度 = 9.35×10²⁶ m⁻³,铒寿命 = 2.7 ms)。
(a) EDWL1的输出功率(mW)与波导损耗和放大增益的关系。
(b) EDWL1的Schawlow–Townes线宽极限(Hz)与波导损耗和放大增益的关系。
(c) EDWL2的输出功率(mW)与波导损耗和放大增益的关系。
(d) EDWL2的Schawlow–Townes线宽极限(Hz)与波导损耗和放大增益的关系。
图S6(c)(d)展示了铒浓度较高的EDWL的类似研究,显示了与增益和损耗相关的输出功率和线宽趋势,并在相同波导条件下实现了更高的输出功率,与图S5(c)(d)一致。
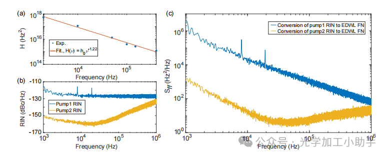
泵浦激光RIN的频率噪声传导
图S7. 泵浦RIN和相位噪声谱与调制
(a) 测量的泵浦RIN,在2 kHz、10 kHz、50 kHz、100 kHz、150 kHz和400 kHz频率下,对驱动电流施加了5.7 × 10⁻³幅度调制。
(b) 通过延迟自外差干涉法(DSHI)在每个调制频率下获得的相应激光频率噪声(FN)。
在2 kHz到400 kHz的几个调制频率ν下,我们测量了泵浦RIN和激光频率噪声(图S7(a)(b))。传导函数H(ν)的计算公式如下:
其中,积分是对激光频率噪声功率谱密度和泵浦RIN中在调制频率ν处的峰值进行的。传导函数在对数-对数坐标上表现出线性关系(图S8(a))。
图S8. 传导函数和计算的噪声贡献
(a) 根据方程5测量和拟合的传导函数H(ν)。
(b) 测量的两种不同1480 nm激光二极管的相对强度噪声(RIN):泵浦1和泵浦2。
(c) 从泵浦1和泵浦2的RIN传导得到的激光频率噪声(FN)。
如图S8(c)所示,传导的频率噪声是通过将没有调制的泵浦RIN(图S8(b))与传导函数H(ν)相乘得到的:
来自Vernier环形谐振器中热折射噪声的频率噪声传导
图S9. 示意图,展示了从Vernier环形谐振器中的热折射噪声(TRN)到激光频率噪声(FN)的传导分析。
为了评估Vernier环形谐振器中热折射噪声(TRN)的贡献,我们考虑了一个双谐振器模型,如图S9所示,并分析其传输特性。该系统的Langevin方程可以写为:
以及耦合关系:
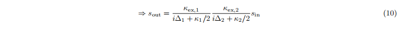
其中,sin、smid 和 sout 分别是激光腔内不同位置的激光腔模式,|s|² 对应于每个位置的光子通量。对于谐振器 j,aj 表示谐振器模式,|aj|² 表示谐振器内的光子数。κ0,j、κex,j、κp,j 和 κj 分别表示内在损耗、与基模的耦合强度、寄生损耗和总损耗。最后,∆j = ωj − ω 表示激光器与腔体模式的失谐,其中 ω 是激光频率。
从方程7、8和9出发,我们推导出 sin 和 sout 之间的关系:
相位关系由以下公式给出:
对于激光腔内的纵向模式,往返相位必须是2π的整数倍:
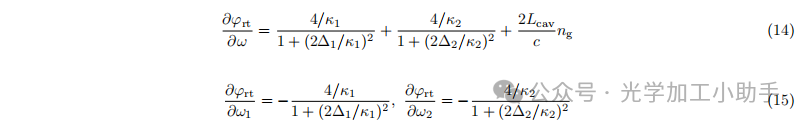
其中,β = neff/cω 是有效传播常数,Lcav 是腔长。我们对往返相位引入一个扰动,结果方差必须为零:
导数表示如下:
为了最大化传导并避免低估热折射噪声(TRN)的影响,我们设置 ∆1 = ∆2 = 0。对于我们的Vernier环形设计,我们使用 κ1 ≈ κ2 ≈ 30 κ0,其中 κ0 ≈ 40 MHz · 2π。考虑到激光腔长 Lcav ≈ 18 cm 和有效群折射率 ng ≈ 1.8,我们得到:
因此,激光频率噪声(FN)与由于热折射噪声(TRN)引起的Vernier环频率波动之间的关系可以表达为:
其中,Sδf1 是单个Vernier环由于热折射噪声(TRN)引起的频率噪声功率谱密度。在这里,我们假设两个Vernier环的温度相同,约为400 K,尽管这略微高估了传导的频率噪声,因为在实验中其中一个环保持在室温下。
泵浦激光依赖的激光频率噪声分析
在补充部分5中,我们分析了泵浦激光RIN对EDWL频率噪声的影响,观察到较高的泵浦RIN导致频率噪声增加。在本节中,我们比较了使用不同泵浦激光器和测量技术获得的EDWL频率噪声。
图S10. 泵浦激光二极管对EDWL频率噪声的影响。光谱包括使用外部腔激光二极管进行的外差拍频测量,当EDWL被两个具有不同RIN的二极管泵浦时,延迟自外差测量(黄色曲线,已滤除MZI共振峰),以及传导的泵浦RIN到频率噪声的参考。
补充图S10展示了通过外差干涉法测量的EDWL频率噪声,当使用两个二极管激光器泵浦时,并通过延迟自外差测量确定内在频率噪声底。浅蓝色和红色轨迹,显示至1 MHz,表示来自泵浦激光RIN的传导频率噪声,如补充图S8(c)中所绘制。蓝色和红色的EDWL噪声轨迹显示了使用每个泵浦激光器测量的频率噪声。低RIN泵浦在低偏移频率下将EDWL频率噪声降低了近一个数量级,突出了泵浦激光RIN对EDWL性能的影响。在低RIN泵浦下,频率噪声主要受到Vernier滤波器中微谐振器的热折射噪声(TRN)的限制。放松振荡峰位置的偏移归因于腔内激光功率的变化,受到可调环形镜中反射条件的影响。
来自延迟自外差干涉法(DSHI)的黄色EDWL噪声轨迹包括MZI传递函数共振,已被滤波以揭示内在激光频率噪声。与使用泵浦1时在外差拍频光谱中观察到的噪声底相似。
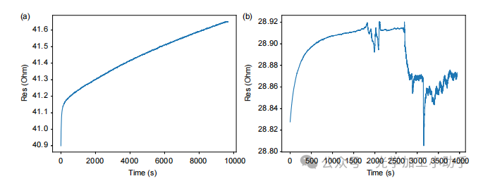
加热器电阻漂移对激光频率稳定性的影响
图S11. 微加热器电阻随时间变化。
(a) 在隔离环境中加热器电阻漂移,显示出随时间的逐渐变化。
(b) 在2700秒时隔离中断后,加热器电阻漂移,显示出来自环境因素的突变变化。
本节确定了微加热器电阻漂移作为EDWL频率漂移的来源,通过在Vernier滤波器中的共振对准和通过可调环形镜调整输出功率来影响激光频率。
微加热器的横截面为5×0.525 µm²,通过在SiO2顶部包层上依次进行25 nm钛粘附层和500 nm铂层的直流溅射沉积制造。加热器通过直接激光写入3 µm AZ 10XT光刻胶层,然后进行氩离子束刻蚀形成。
在制造微加热器后,施加恒定电压,并监控输出电流以计算电阻漂移作为电压与电流的比率。补充图S11(a)展示了在隔离环境(实验装置有盖)中2.7小时内的加热器电阻漂移,显示出持续的上升趋势。相比之下,补充图S11(b)突出显示了在2700秒时去除盖子后,暴露在环境条件下,电阻出现的突变和波动。
电阻变化在半导体器件中很常见[14],特别是在像EDWL中使用的薄膜电阻材料如微加热器中。在金属导体中,电阻的逐渐变化可能由氧化[15]和由于恒定电流流动引起的电迁移[16]导致。湿度、污染和气流等环境因素进一步加剧了这些效应。因此,将EDWL与周围环境隔离是至关重要的,避免产生热量的替代驱动器,如AlN或PZT,可能有助于减缓激光频率漂移。
作者:Xinru Ji1,2, Xuan Yang1,2, Yang Liu1,2, Zheru Qiu1,2, Grigory Lihachev1,2, Simone Bianconi1,2,
Jiale Sun1,2, Andrey Voloshin1,2, Taegon Kim3, Joseph C. Olson3, and Tobias J. Kippenberg1,2†
单位;1
Institute of Physics, Swiss Federal Institute of Technology Lausanne (EPFL), CH-1015 Lausanne, Switzerland
2
Center for Quantum Science and Engineering, Swiss Federal Institute
of Technology Lausanne (EPFL), CH-1015 Lausanne, Switzerland
3
Varian Semiconductor, Applied Materials, Gloucester, MA 01930, United States