上海奥麦达微电子有限公司

专业高效
微纳加工公司

POI晶圆+流片--周期性极化压电单层和多层铌酸锂用于增厚高阶兰姆波声学器件(港科大yansong yang老师)

作者:Junyan Zheng , Graduate Student Member, IEEE, Zijun Ren , Graduate Student Member, IEEE, Jiashuai Xu , Graduate Student Member, IEEE, Xingyu Liu , Graduate Student Member, IEEE, Fangsheng Qian , Graduate Student Member, IEEE, and Yansong Yang , Senior Member, IEEE

摘要:与目前用于高频应用的薄膜减薄方法不同,本研究致力于开发用于X波段声学器件的最厚薄膜,旨在同时降低机械损耗、最大化机电耦合、提高电容密度、最小化寄生效应并增强热稳定性。本文对利用周期性极化压电单层和多层铌酸锂 (LN) 薄膜的兰姆波声学器件进行了全面的理论和实验分析。本研究通过调整极化方向、层数和层间厚度比,展示了在不同层LN中灵活激发高阶模式的可行性。由于厚度完美匹配,制备的双层和三层周期性极化压电薄膜 (P3F) 谐振器的k²t值与单层谐振器相当,且无多个寄生泛音,机械品质因数 (Qm) 也显著提升。值得注意的是,三阶和四阶兰姆波模式的Qm提高了三倍,凸显了P3F在高频和高Q值谐振应用中的潜力。除了谐振器之外,本研究还展示了基于多层LN制成的滤波器。

基于单个P3F LN的滤波器的中心频率(fc)为6.2 GHz,带宽为1.04 GHz,第一个设计的最小插入损耗(IL)为9.1 GHz,带宽为1.7 GHz,最小IL为1.2 dB;而第二个设计的fc为8.9 GHz,带宽为1.58 GHz,最小IL为2.2 dB。测得的双层和三层P3F谐振器的频率温度系数(TCF)分别为-40 和 -33 ppm/◦C,凸显了多层结构在增强热稳定性方面的潜力。这些发现强调了P3F LN器件在下一代无线通信应用中的巨大潜力。

索引词——声学谐振器、滤波器、高阶兰姆波模式、LiNbO3、周期性极化压电薄膜(P3F)、X波段。

划重点
双层LNOI,三层LNOI
XYZ切 POI wafer,LN/LT-SIC/Si/热氧片/蓝宝石供应
膜厚均匀性+-5nm
声波器件流片,刻蚀,做电极等
划重点--,6英寸DUV150nm线宽加工

我们为客户提供晶圆(硅晶圆,玻璃晶圆,SOI晶圆,GaAs,蓝宝石,碳化硅(导电,非绝缘),Ga2O3,金刚石GaN(外延片/衬底)),镀膜方式(PVD,cvd,Ald,PLD)和材料(Au Cu Ag Pt Al Cr Ti Ni Sio2 Tio2 Ti3O5,Ta2O5,ZrO2,TiN,ALN,ZnO,HfO2。。更多材料),键合(石英石英键合,蓝宝石蓝宝石键合)光刻,高精度掩模版,外延,掺杂,电子束直写等产品及加工服务(请找小编领取我们晶圆标品库存列表,为您的科学实验加速

激光器芯片/探测器芯片/PIC芯片封装耦合服务"

请联系小编免费获取原文,也欢迎交流半导体行业,工艺,技术,市场发展

微信图片_2025-06-26_111058_595


一、引言

随着数据传输速率需求的不断增长,更高频率和更宽带宽的射频前端 (RFFE) 器件亟待发展 [1]。第五代无线通信标准同时采用 6 GHz 以下和毫米波频段。考虑到高频电磁波的传播损耗较大,6 GHz 以下频段仍然是全球的主流选择。然而,随着频段数量的不断增加,6 GHz 以下频段已变得非常拥挤,探索 X 波段或 Ku 波段等更高频率的频段将成为进一步增强数据流量的有效途径 [2]。压电声学器件,包括表面声波 (SAW) 和体声波 (BAW),凭借其紧凑的尺寸在 RFFE 市场占据主导地位 [3]。这些器件不仅用于无线通信,还可用作多物理场系统中的高频声子源,应用于光谱学、声光调制[4]和量子读出[5]等应用。因此,具有更高频率和更大品质因数的声学器件至关重要。然而,传统的SAW和BAW器件难以同时提高频率和带宽。SAW滤波器在低于6 GHz的频率下性能令人满意,具有低插入损耗(IL)和宽带宽,但在接近7 GHz的频率下,较窄的电极设计会增加电阻和损耗[6], [7], [8]。Zhang等人[9]展示了在SiC衬底上采用LiTaO3 (LT)薄膜的SAW器件在X波段的潜力。尽管已经提出了低损耗滤波器,但由于LT的机电耦合系数(K²)较小(约10%),其分数带宽(FBW)被限制在5%,这对于宽带应用来说可能不够。体声波(BAW)滤波器可以通过降低压电层厚度来实现更高的频率,从而将工作范围扩展到毫米波范围[10]、[11]、[12]。然而,由于薄膜较薄,体声波器件会因金属层而遭受较大的机械损耗,而且金属层厚度的降低也会导致更大的电阻[13]。为了平衡机械损耗和电阻,提出了过模体声波谐振器(OBAR),但它需要高质量且均匀性的金属层[14]。

其他技术,例如横截面兰姆模式谐振器 (CLMR) [15], [16] 和固体安装谐振器[17],也面临着窄电极电阻较大以及制造工艺复杂的挑战。

基于悬浮铌酸锂 (LN) 的反对称兰姆模式谐振器因其频率可扩展性和较大的 K²[18] 而备受关注。通过选择 Y + 128° 切割方向,其基模(A1 模)可达到 46.4% 的高 K² [19]。通过将厚度减小到 100 纳米以下,可以进一步将频率扩展到毫米波[20]。由 A1 模谐振器实现的滤波器可以在 6 GHz 以下 [21], [22] 到毫米波 [23] 范围内实现大于 10% 的带宽,同时保持相对较低的插入损耗 (IL)。然而,直接降低LN薄膜的厚度会给谐振器带来额外的机械损耗,包括晶体质量差时固有损耗的增加[24],以及表面积体积比增加时表面损耗的增加[25]。此外,高频A1模式谐振器还会受到薄膜厚度较薄、机械稳定性低[20]、电容密度小和功率处理能力差[18]的影响。利用高阶模式可以实现厚度更大的A模式器件,例如三阶模式[26],[27]。由于A模式器件的K²与模式数的平方成反比,因此高阶模式的K²较小严重限制了它们在滤波领域的应用[28]。

最近,基于LN[29]、[30]、[31]和氮化铝(AlN)[32]、[33]、[34]、[35]的周期性极化压电薄膜(P3F)已被提出用于增强高阶模式,从而实现毫米波谐振,其K²值与基于单层结构的基模相当。先前对双层P3F的研究表明,P3F在毫米波范围内具有巨大的应用潜力,在23.8 GHz滤波器中具有较小的插入损耗(IL)和较大的回波带宽(FBW)[36]。相应的谐振器在毫米波频段具有较大的Q值。三层P3F也已被展示,但存在明显的杂散模式[31]。P3F技术的全部潜力仍未得到充分开发。

X波段正逐渐成为6G无线通信的热门候选频段,能够在数据速率和覆盖范围之间实现最佳平衡。本研究旨在研究X波段声学器件的最厚薄膜,旨在降低机械损耗、最大化机电耦合、提高电容密度、最小化寄生效应并同时提高热稳定性。具体而言,本研究通过严谨的理论和实验分析,研究了单层、双层和三层P3F平台上兰姆模式谐振器的优势和局限性。P3F谐振堆叠的建模和演示,通过优化层厚比,展示了高阶模式激励在多层P3F结构中的适应性,这将成为P3F滤波器构造的重要工具。采用多层P3F结构的谐振器由于总厚度增加,Q值比单层谐振器更高,表面损耗更小。此外,较厚的总薄膜可提供更高的电容密度,从而使滤波器尺寸更紧凑。由于谐振器Q值和电容密度的提高,合成的多层P3F滤波器比单层滤波器具有更小的插入损耗(IL)和更大的反馈带宽(FBW)。此外,多层P3F谐振器在更宽的温度范围内表现出更高的频率温度系数(TCF)和机械稳定性,使其适用于要求苛刻的应用。

本文的结构安排如下:第二部分讨论P3F谐振器的设计和建模,包括多层P3F堆栈中高阶模式的激励和双层P3F结构中寄生兰姆模式的建模。第三部分介绍P3F薄膜的特性;第四部分介绍谐振器、滤波器的测量以及P3F谐振器和滤波器的温度性能。此外,本文还与最先进的X波段滤波器进行了比较。最后,第五部分总结了结论。

二.器件建模与设计

A. 基于 P3F 平台的高阶模式激励

微信图片_2025-06-26_111109_352

图 1. (a) 多层 P3F 晶片示意图。(b) 用于高阶模式激发的理想 P3F 共振堆叠的二维横截面图。

如图 1(b) 所示,在 P3F 器件中有效激励高阶兰姆模式需要电场、应力场和各层厚度之间的精确匹配。具体而言,在转移 LN P3F 平台中,压电常数矩阵中与 z 方向相关的元素(下标为 3–5 的参数)的符号与原始元素相反 [37]。为了研究 P3F 谐振器中的高阶兰姆模式,利用基于准静态近似下的 Berlincourt 公式计算的 K2 来评估某些模式的激励 [38],这些模式如下所示:

微信图片_2025-06-26_111115_320

其中,Ue、Ud 和 Um 分别为弹性能、电能和互能,m、n = 13,i 和 j

取值范围为 1 至 6。E 和 T 分别为电场和应力场。sEi j、Tmn 和 dni 分别为应变-电荷形式下的弹性常数、介电常数和压电常数。在兰姆模式下,sE55、T11 和 d15 被使用。考虑到 LN 晶体的各向异性,方程中使用的参数是通过 Z 切 LN [39] 矩阵旋转后的参数张量获得的。由于谐振器的横向波长与厚度之比 (h/λ) 通常接近于零,因此谐振体可以简化为具有恒定横向电场的二维谐振堆叠。E (z) = Ex。然后,可以简化场和参数分布,如图 1 所示。每个界面处的应变是连续的,因此应变可以归一化为简化的正弦波,如下所示:

微信图片_2025-06-26_111422_924

其中 N 为层数,Htot =PMi=1 Hi为所有层厚度之和。原始取向和反转取向具有相同的 Π 和 c55,因此,相应的应力场也可以归一化为

微信图片_2025-06-26_111428_341

因此,Ue和Ud可以通过z方向的积分得到,与各层的取向和厚度分布无关

微信图片_2025-06-26_111433_697

其中 P(z) 表示耦合的符号,即

微信图片_2025-06-26_111438_557

上述方程表明,在给定总厚度的情况下,可以使用M层P3F叠层激发N阶兰姆模式,并在层厚度和应力场之间进行适当的调整。一旦确定了总厚度Htot和目标模式阶数,Ud和Ue就固定下来,使得K2与Um成比例。应力场的波长为2Htot/N,P(z)为任意值。由于应力场积分的正值和负值相互抵消,P3F叠层中单层中的Um小于

微信图片_2025-06-26_111444_037

当第i层厚度Hi = (2k + 1) ·(Htot/N)时,k为整数。当每层都以最优厚度达到其最大Um时,整个P3F谐振器将获得最大的Um和最大的K2。上述每层的最优厚度只有当M和N均为奇数或偶数,且N≥M时才能实现。因此,在M层P3F谐振器中,存在N阶模式的最优厚度比,可归纳如下规律:

微信图片_2025-06-26_111449_008

在这种情况下,K2可以确定为

微信图片_2025-06-26_111454_848

先前关于非周期极化压电薄膜的研究[40]已经证明了三层结构中高阶模式的优化比率和K2,这与上述分析一致。

B. 器件结构与设计

微信图片_2025-06-26_111500_544

图 2. 所提出的 P3F 谐振器的结构。(a) 顶视图;(b) 和 (c) 单层谐振器的横截面图和侧视图;(d) 和 (e) 双层谐振器的横截面图和侧视图;(f) 和 (g) 三层谐振器的横截面图和侧视图。

图2展示了所设计的兰姆模式谐振器的示意图。图2(a)为器件结构的顶视图,(b)和(c)、(d)和(e)以及(f)和(g)分别显示了单层、双层和三层谐振器的横截面图和侧视图。每层LN的厚度确定为250nm,目标谐振频率为7 GHz。

如图 2(c)、(e) 和 (g) 所示,谐振器基于 Y + 128° 切割,并在 k2t 较大时进行反转,在 Z-X-Z 格式和右手坐标系下,欧拉角表示为 (0°, 38°, 0°),顺时针为正方向。反转层对应方向的欧拉角为 (180°, 142°, 0°)。本研究中,兰姆模式谐振器采用叉指换能器 (IDT) 激励。IDT 的参数如下:电极宽度 (We) 为 2 µm,电极间隙 (G) 为 6 µm,电极长度为 56 µm。它们经过精心挑选,具有较大的横向波长(λ> 10t)和较小的金属比(0.25),用于抑制杂散模式[41]。

微信图片_2025-06-26_111505_833

图 3. 兰姆模式谐振器的模拟结果。(a) 250 nm 单层。(b) 500 nm 单层和 500 nm 双层 P3F 谐振器。(c) 750 nm 单层和 750 nm 三层谐振器。

图 3 展示了使用 COMSOL Multiphysics 进行的有限元分析 (FEM) 仿真,以了解 P3F 兰姆模式谐振器的性能。值得注意的是,由于 COMSOL 将旋转坐标系中的逆时针方向指定为正方向,因此使用 (0°, −38°, 0°) 和 (180°, −142°, 0°) 来获得 Y + 128° 切割及其反转方向。如图 2(a) 所示,在 250 nm 的 LN 薄膜中,A1 模式可以在 7 GHz 下激发,K2 高达 70%。为了在双层 P3F 上激发相同频率和 K2 的谐振,使用两层反转方向但厚度均为 250 nm 的 LN,如图 2(b) 所示。根据(15),在单层兰姆模式谐振器中,S2模式被激发,其互能和K2与A1模式相当。同时,与总厚度相同(500 nm)的单层谐振器[图2(b)中的红线]相比,A1和A3模式受到抑制。类似地,在每层厚度为250 nm的三层谐振器中,A3模式在7 GHz下被激发为基模。与750 nm单层谐振器相比,由于电场和应力场之间的积分抵消,A1和A5模式受到抑制,互能为零。

C. 厚度变化引起的杂散模式

第二部分 B 讨论了具有均匀层厚度的理想 P3F 谐振器,其提供与单层谐振器类似的清晰响应。然而,在实际应用中,诸如制造误差 [31]、滤波器设计要求 [36] 或特定的高阶模式激励 [40] 等因素导致的厚度变化可能会导致层厚度不均匀。在这种情况下,可能会激发额外的泛音,充当杂散模式。

在使用梯形拓扑结构的滤波器中,P3F 滤波器的单片集成要求串联和并联谐振器的总厚度不同。目前,基于 LN 的 P3F 谐振器采用薄膜转移技术制造,该技术仅允许对顶层 LN 层进行处理以用于滤波器构造。虽然背面蚀刻是实现双层平台中串联和并联谐振器之间精确厚度匹配的潜在解决方案,但对于两层以上的平台而言,这并不可行。

因此,对泛音杂散模式进行建模对于实际应用至关重要。本节以双层P3F谐振器为例,分析了与S2主模式相邻的A1和A3模式。

假设双层P3F的总厚度为H,底层厚度为t1,则相应的P(z)为

微信图片_2025-06-26_111511_997

该谐振器的 K2 可由(10)确定

微信图片_2025-06-26_111516_778

其中,r = t1/Htot 为底层厚度与总厚度之比。

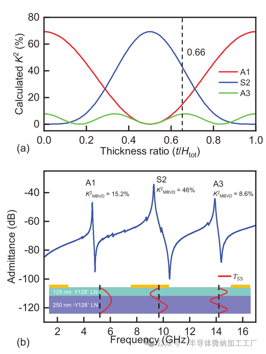
微信图片_2025-06-26_111454_848

图 4. (a) 双层 P3F 谐振器中 A1、S2 和 A3 模式的计算 K2 与厚度比 t/Htot 的关系。(b) 总厚度为 375 nm、厚度比为 0.66 的双层 P3F 谐振器的模拟响应。

图 4 绘制了 A1、S2 和 A3 模式的 K2 与 r 的关系。当 r = 0.5 时,S2 模式的 K2 达到最大值,此时上层和底层厚度相等,A1 和 A3 模式被完全抑制。当 r 为 0 或 1 时,双层谐振器退化为单层谐振器,A1 和 A3 模式可以被完全激发,S2 模式被完全抑制。为了验证上述计算,模拟了一个双层 P3F 谐振器,其上层厚度为 125 nm,底层厚度为 250 nm,如图 4(b) 所示,该谐振器被设计为串联谐振器。当 A3 模式完全激发时,相应的 r = 0.67。在多个模式紧密相邻的谐振器中,谐振频率 (fs) 和反谐振频率 (fp) 可能会受到相邻模式的影响 [42],导致仅基于 fs 和 fp 计算 k2t 时不准确。因此,图 5(b) 中标记的 K2MBVD 是根据多分支改进的巴特沃斯范戴克 (M-MBVD) 模型拟合的。A1、S2 和 A3 模式的 K2MBVD 分别为 15%、46% 和 8.6%,与图 4(a) 中的曲线一致。值得注意的是,计算值和模拟值均仅基于薄板,未考虑基板的电磁特性,而基板的电磁特性通常大于测量值。

上述过程可在三层 P3F兰姆模式谐振器上进行。考虑到修改顶层厚度是获得频率偏移的实用方法,假设底层和中间层具有相同的厚度 t,总厚度为H。计算出的 K2为

微信图片_2025-06-26_111526_703

其中 r = t1/Htot 是底层/中间层厚度与总厚度之比,范围为 0 至 0.5。

微信图片_2025-06-26_111531_227

图 5. (a) 三层 P3F 谐振器中 S2、A3 和 S4 模式的 K2 计算值与厚度比 t/Htot 的关系。(b) 总厚度为 600 nm、厚度比为 0.416 的双层 P3F 谐振器的模拟响应。

将模式阶数 N 代入 (18) 式中,计算得出的 K2 和 r 之间的关系如图 5(a) 所示;图 5(b) 模拟了一个顶层厚度为 100 nm、r 为 0.416 的电位串联谐振器。提取出的 S2、A3 和 S4 模式的 K2 MBVD 分别为 29.4%、21.2% 和 4.05%,与预测结果吻合良好。

III. 薄膜特性与器件制备

如第二部分所述,250 nm Y + 128° 切割 LN 薄膜设计用于 X 波段应用。单层LN晶片通过α-Si层键合到本征晶体Si衬底上。相比之下,双层和三层晶片堆叠通过1µm的中间α-Si层键合到蓝宝石衬底上。P3F可以通过逐层薄膜键合获得。α-Si作为牺牲层,通过降低键合过程中的热膨胀系数(CTE)失配来提高键合质量[43]。

包括原子力显微镜(AFM)、X射线衍射(XRD)和透射电子显微镜(TEM)在内的多种技术被用于薄膜表征。

微信图片_2025-06-26_111536_163

图 6. (a) 单层、(b) 双层和 (c) 三层 P3F LN 薄膜的 AFM。

图 6 展示了这些晶片的原子力显微镜 (AFM) 测量结果,其中 (a)–(c) 分别展示了单层、双层和三层薄膜的粗糙度。

这三种晶片的 RMS 均小于 0.1 nm,足够光滑,可以避免较大的机械损耗。

微信图片_2025-06-26_111541_322

图 7 单层、双层、三层 P3F LN 薄膜的摇摆曲线

图 7 展示了这些堆叠薄膜的摇摆曲线,其中强度已根据 LN 峰的最大值进行归一化。单层、双层和三层 P3F 薄膜的半峰全宽 (FWHM) 分别为 363、108 和158 弧度。总体而言,所有晶片的 FWHM 均小于0.1°,这意味着其晶体质量足以满足实际应用需求。

微信图片_2025-06-26_111546_105

图 8. 双层 P3F 晶片的横截面 TEM。(a) 缩小视图。(b) LN-LN 界面。(c) LN-Si 界面。(d) Si-蓝宝石界面。

微信图片_2025-06-26_111551_410

图 9. 三层 P3F 晶片的横截面 TEM。(a) 缩小视图。(b) LN 的顶层和中间层。(c) LN 的中间层和底层。(d) LN-Si 界面。

图图 8(a) 和 9(a) 展示了双层和三层晶片的横截面 TEM 图像,从中可以检查多层结构、α-Si 层以及蓝宝石衬底。每层 LN 层的厚度约为 250 nm,这接近设计值,预示着无需额外谐波激发即可获得理想的厚度比。图 8 和 9 的其余子图展示了各种界面的 TEM 图像,包括 LN-LN 界面[见图 8(b) 和 9(b) 和 (c)]、LN-Si 界面[见图 8(c) 和 9(d)] 以及 Si-蓝宝石界面[见图 8(d)]。

两层 LN 层之间的损伤层厚度约为 3 nm。

先前的研究已经研究了LN-基底界面质量如何影响薄膜SAW的性能[44],但缺乏关于多层悬浮器件界面声学损耗的研究。因此,我们可以通过进行定性模拟来研究损伤层的影响,从而估算损伤层的影响。

微信图片_2025-06-26_111556_614

图 10. 双层 P3F 谐振器中两层 LN 层之间界面效应的模拟结果。

如图10中的插图所示,在双层P3F谐振器中插入了一层阻尼非常大的薄LN层(比普通层大20倍)。通过将损伤层的厚度从10nm降低到3nm,导纳比显著提高了6dB,这表明较薄的损伤层将对谐振器产生较小的声学损耗。我们器件中的损伤层厚度为3nm,足够薄,可以避免额外的机械损耗。采用相同的工艺制备了单层、双层和三层结构的器件[22]。制造工艺首先采用基于氯离子的电感耦合等离子体反应离子刻蚀 (ICP-RIE) 技术刻蚀所有 LN 层,并以等离子体增强化学气相沉积 (PECVD) SiO2 层作为硬掩模,定义声学边界和释放窗口。接下来,对顶层进行离子微调,用于滤波器结构中的频率控制。电极通过蒸发 150 nm 的 Al 以及焊盘和总线区域上额外的 150 nm Al 来定义,以降低电阻。最后,使用 XeF2 进行各向同性硅刻蚀,将器件悬置。

四、测量与分析

A. 兰姆模式谐振器的测量与分析

谐振器在室温下干燥空气中用短路-开路-负载-直通 (SOLT) 标准仔细校准后,采用双端口测量法进行测量。

微信图片_2025-06-26_111601_915
微信图片_2025-06-26_111606_968

图 11. 兰姆模式谐振器的导纳和相位响应测量结果。(a) 和 (b) 单层。(c) 和 (d) 双层。(e) 和 (f) 三层

谐振器的测量响应如图 11 所示,其中(a) 和 (b) 表示单层谐振器的导纳和相位,(c) 和 (d) 以及 (e) 和 (f) 分别表示双层和三层谐振器的导纳和相位。

由于调整不足,单层谐振器的谐振频率略低于双层和三层 P3F 谐振器。双层谐振器的 S2、S6、S10 和 S14 模式的谐振频率分别为 6.92、20.09、34.61 和 48.38 GHz。同时,三层谐振器的 A3、A9、A15 和 A21 模式的谐振频率分别为 7.165、21.11、35.05 和 48.9 GHz。P3F 谐振器的响应无杂散泛音,表明各层之间具有出色的厚度均匀性。这种均匀性使其可以用作具有更厚薄膜的单层兰姆模式谐振器。图 11 中标记的每个谐振器的 k2t 使用表达式 k2t = π2/8 ·f2p/ f2s − 1计算得出。对于基模,单层、双层和三层谐振器的k²t分别为45%、47.8%和47.9%。由于对每层厚度的精确控制,与先前的研究[31]相比,互能抵消并未导致k²t值降低。这些值略低于第二部分给出的计算和模拟结果,这可能是由于衬底的寄生电容造成的。在接近50 GHz的频率下,自感对谐振有很强的影响,使得负载Q (3)-dB Q)无法准确表征声学谐振性能[45]。为了确保公平地比较单层和P3F谐振器,采用多分支MBVD模型来提取性能。

表 I谐振腔与 M-MBVD 模型拟合的关键参数

微信图片_2025-06-26_111611_873

表一总结了模型拟合的关键参数,拟合结果与测量结果高度一致,如图11所示。

微信图片_2025-06-26_111617_632

图 12. 单层、双层和三层 P3F 兰姆模式谐振器中提取的基阶和高阶模式的 Qm

图12标注了每个谐振器的机械品质因数(Qm)。P3F谐振器在兰姆模式谐振性能方面表现出显著的改善,尤其是在高阶模式方面,这也反映在图11的相位图中。

B. 兰姆模式滤波器的测量与分析

如图 5(b) 所示,由于厚度失配,三层串联谐振器主模的 k2t 值严重劣化,因此,我们采用单层和双层 P3F 晶片设计和制作了兰姆模式滤波器。我们利用工作在更高频率的串联谐振器构建了梯形滤波器,该滤波器是通过离子修整实现的更薄层来制作的。

微信图片_2025-06-26_111622_169

图 13. (a) 单层 P3F 滤波器和 (b) 双层 P3F 滤波器的串联和并联谐振器的测量响应。

图 13(a) 和 (b) 分别展示了单层和双层 P3F 滤波器的串联谐振器和并联谐振器。

微信图片_2025-06-26_111627_159

图 14. 兰姆模式滤波器的光学图像。(a) 单层(设计 A)。(b) 双层三阶滤波器(设计 B)。(c) 双层五阶滤波器(设计 C)

图 14 所示的光学图像突出显示了离子修整区域。图 14(a)-(c) 分别展示了单层五阶滤波器(设计 A)、双层三阶滤波器(设计 B)和双层五阶滤波器(设计 C)的光学图像。这些滤波器的布局与之前演示的设计 [22] 类似。优化了两个信号端口之间的最小距离以减少电气损耗,并在引线之间设置了额外的蚀刻窗口以消除电磁耦合。设计B和设计C的主要区别在于它们的滤波器阶数配置,以平衡带内和带外性能之间的权衡[21]。设计B由一个串联谐振器和两个并联谐振器组成,旨在实现低损耗;而设计C则包含两个串联谐振器和三个并联谐振器,以实现更高的带外抑制比和更大的并联/串联电容比。

微信图片_2025-06-26_111631_579
微信图片_2025-06-26_111636_153

图 15. 宽带放大的 S 21。(a) 和 (b) 单层滤波器(设计 A)。(c) 和 (d) 双层三阶滤波器(设计 B)。(e) 和 (f) 双层五阶滤波器(设计 C)

图15显示了设计A-C的S21和放大的带内传输性能。制造完成的设计A的中心频率为6.2 GHz,阻抗匹配良好,与50 Ω匹配,实现了1.04 GHz的3 dB带宽和1.91 dB的最小插入损耗(IL)。尽管存在与通带相邻的杂散带(归因于杂散模式),但整体带外抑制性能超过25 dB。然而,由于每个谐振器的静态电容较大,设计 B 和 C 与 50 Ω 的匹配效果不佳,如原始测量数据所示 [图 15(c)-(f) 中的虚线]。图 15(c)-(f) 中的红色实线显示了设计 B 和 C 的匹配阻抗 S21。设计 B 的匹配阻抗为27.4 + j10.8 Ω,而设计 C 的匹配阻抗为18 + j9.9 Ω。设计 B 的中心频率 (fc) 为 9.1 GHz,3 dB 带宽为 1.7 GHz,最小插入损耗 (IL) 为 1.2 dB,闭环抑制为 15 dB。设计C的fc为8.9 GHz,带宽为1.58 GHz,最小插入损耗(IL)为2.2 dB,近场抑制为23 dB。两种设计均表现出优异的带内性能,包括宽带宽和低插入损耗,这可以归因于P3F平台增强的谐振器性能。然而,P3F滤波器受到与主模式相邻的杂散兰姆模式的影响。具体而言,对于基于S2模式的双层滤波器,由于LN顶层和底层的厚度差异,串联谐振器中会激发A1和A3模式,正如II-C部分所预测的那样。串联谐振器中的这些寄生模式表现为陷波滤波器,导致设计B和设计C中的寄生通带均在5 GHz左右。这些寄生模式显著影响了宽频率范围内的带外性能。

设计 B 和 C 的物理尺寸分别为 1 × 0.92 毫米和 1.8 × 1.4 毫米。值得注意的是,设计 C 的占位面积与设计 A 相似,但端口阻抗更低。

这表明,当端口阻抗匹配到相同值时,P3F 平台能够实现更紧凑的尺寸和更高的电容密度。


表二 最先进的纯声学滤波器比较

微信图片_2025-06-26_111640_417


表 II 总结了最先进的 X 波段声学滤波器。与其他纯声学滤波器技术 [6]、[46]、[47]、[48]、[49] 相比,得益于 LN P3F 平台的大机电耦合和较小的损耗,LN 兰姆模式滤波器可提供最大的带宽和较低的插入损耗 (IL)。虽然寄生通带会降低带外性能,且目前尚无有效方法完全抑制由厚度失配产生的寄生兰姆模式,但对薄膜堆叠和版图设计的进一步研究有望充分释放LN P3F的潜力。

C. P3F谐振器的宽温度范围测量

为了评估P3F兰姆b模式谐振器的温度稳定性,我们在-20 ◦C至140 ◦C的宽温度范围内进行了测量。谐振器在真空室探测台中进行测量,使用液氮冷却并使用加热器加热。

微信图片_2025-06-26_111644_898

图 16. (a) 和 (b) 双层 P3F 兰姆模式谐振器以及 (c) 和 (d) 三层 P3F 兰姆模式谐振器的温度响应以及提取的 fs 和 Qs。

图16(a)和(c)分别展示了双层和三层兰姆模式谐振器在不同温度条件下的谐振器性能。由于低品质因数和反谐振点附近的杂散模式会导致测量不准确,因此提取并分析了谐振频率下 fs 和 Qs 的变化,如图 16(b) 和 (d) 所示。

双层谐振器的 TCF 为 -40 ppm/◦C,三层谐振器的 TCF 为 -34 ppm/◦C。虽然 TCF 会受到各种基板和器件布局引起的热应力的影响 [50],但已报道的 A1 模式谐振器的 TCF 值均在 -50 至 -70 ppm/◦C 范围内 [18],[51], [52],该值大于本文的测量值。

在 P3F 谐振器中测得的相对较小的 TCF 可能是由于薄膜键合过程中产生的内应力造成的。额外的界面可能会引起内应力,从而导致 TCF 降低。类似的现象也发生在P3F AlN FBAR谐振器中,因为TCF可能比没有任何补偿层的FBAR更好[53]或更差[35]。

表三 先进声学谐振器比较

微信图片_2025-06-26_111649_977

表三列出了与最先进的谐振器在k²t和TCF方面的比较结果。基于LN的兰姆模式谐振器拥有最大的k²t,但TCF较大[18],[43]。降低LN兰姆模式谐振器的TCF的传统解决方案是同时悬空LN和温度补偿SiO²层[54], [55],这会降低k²t。我们的工作有效地降低了TCF,而无需牺牲k²t。需要注意的是,上述内部应力可能在整个晶圆上发生空间变化,从而导致TCF的变化。通过进一步研究,包括通过键合技术理解和控制内部应力,有可能在P3F结构的帮助下实现温度稳定的谐振器。在后续研究中,内部应力的建模和修改将是一个重点课题。由于热应力可能随时间变化,老化效应也将被研究。此外,我们将探索引入具有不同取向的异质P3F层,以诱导理想的内部应力,从而增强温度稳定性。

五、结论

本研究从理论和实验两个角度探究了针对X波段应用的LN P3F谐振器在兰姆声学模式中的优势。通过对比单层、双层和三层P3F器件,本研究证明,增厚的器件有效降低了机械损耗,提高了谐振器的Qm,从而降低了滤波器的IL。此外,较厚的薄膜可以提高电容密度并减小滤波器的尺寸。通过精确控制各层厚度,多层P3F谐振器表现出与单层谐振器相当的响应,同时避免了泛音寄生模式,并使高阶模式具有高于基模的k²t值。此外,研究还发现,层数的增加可以提高热稳定性,TCF的降低就是明证。这些优势凸显了LN P3F平台在推进无线通信技术方面的巨大潜力


关于我们:

OMeda成立于2021年,由3名在微纳加工行业拥有超过7年经验的工艺,项目人员创立。目前拥有员工15人,在微纳加工(涂层、光刻、蚀刻、双光子印刷、键合)等领域拥有丰富的经验。 同时,我们支持4/6/8英寸晶圆的纳米加工。 部分设备和工艺支持12英寸晶圆工艺。针对MEMS传感器、柔性传感器、微流控、微纳光学等行业。

中国(上海)自由贸易试验区临港新片区业盛路188号450室 电话:+86 188 233 40140 邮箱:jing.chen@omeda-optics.com

来源:OMeda

关于我们

OMeda(上海奥麦达微)成立于2021年,由3名在微纳加工行业拥有超过7年经验的工艺,项目人员创立。在微纳加工(镀膜、光刻、蚀刻、双光子打印、键合,键合)等工艺拥有丰富的经验。 同时,我们支持4/6/8英寸晶圆的纳米加工。部分设备和工艺支持12英寸晶圆工艺。针对MEMS传感器、柔性传感器、微流控、微纳光学,激光器,光子集成电路,Micro LED,功率器件等行业。

姓名:*
邮件:*
公司名称:
电话:*
您的需求: