上海奥麦达微电子有限公司

专业高效
微纳加工公司

IBS镀Ta2O5+氧化钽光波导--基于结构补偿方法无热效应氧化钽Mach-Zehnder干涉仪(南科大)

#氧化钽光波导 #氧化钽马赫曾德尔干涉仪 #Ta2O5镀膜

摘要——我们展示了基于Mach-Zehnder干涉仪(MZI)的无热效应光子器件,采用了结构补偿方法。与以往应用于热敏感材料(如硅)的结构补偿研究不同,本研究在钽五氧化物(Ta2O5)平台上实现,钽五氧化物的热光系数较低。这使得我们能够通过结合结构补偿方法和材料自身的热光性质,获得超无热效应的滤波器。提出了两种类型的器件:不对称Mach-Zehnder干涉仪(AMZI)和环耦合Mach-Zehnder干涉仪(RMZI)。AMZI器件在1550 nm附近的温度依赖波长偏移(TDWS)仅为1.98 pm/K,比常规MZI小4.6倍。其TDWS在1480 nm到1580 nm的宽带范围内保持在2.23 pm/K以下。通过打破波长偏移与温度变化之间的线性关系,使用环耦合MZI可以限制最大共振漂移。由于法诺效应,RMZI器件的传输谱在面对温度变化时表现出振荡行为。本研究证明了结构补偿方法在已具备低热光效应的光子平台上的有效性,为实现低损耗且兼容CMOS的超无热集成光学滤波器铺平了道路。

关键词——钽五氧化物,光学滤波器,Mach-Zehnder干涉仪,无热化。

I. 引言

无热效应光子器件广泛应用于需要高精度、高吞吐量和长期稳定性的场合,如激光频率稳定[1]、数据中心[2]和可编程光子电路[3]。在过去的二十年里,提出了多种解决方案来抑制光子器件的温度敏感性。例如,主动温度稳定采用加热器和反馈回路[4],但这种方法既笨重又能耗大。相比之下,被动无热化方法利用材料和结构的光学特性,而无需增加系统的复杂性。被动无热化方法主要分为两种类型:材料补偿方法和结构补偿方法。前者利用具有负热光系数(TOC)的材料,如聚合物[5]、[6]、[7]、[8]、二氧化钛(TiO2)[9]、[10]、[11]、晶体石英[12],来补偿硅(Si)、氮化硅(Si3N4)和二氧化硅(SiO2)等材料的正热光响应[13]、[14]。然而,这些具有负TOC的材料要么遭受吸收损失,要么面临耐高温工艺的挑战,这限制了这些器件能够实现的最大光学Q因子,并且与标准CMOS(互补金属氧化物半导体)工艺不兼容。相反,结构补偿方法不引入额外的材料。它依赖于具有不同有效热光系数(TOCeff)的不对称光学路径,通过干涉抑制整体的热光响应。这种方法已经在热光灵敏度较大的光子平台(如硅(Si))上取得了成功[15]、[16]、[17]、[18]。然而,结构补偿方法在已有较小TOC的光子平台上的有效性尚不完全明了。展示结构补偿方法与平台固有的低热灵敏度的综合效应是一个有趣的课题。

钽五氧化物(Ta2O5)是一种热折射稳定的材料,在无热效应光子应用中引起了极大的关注[19]、[20]、[21]、[22]、[23]。其TOC根据沉积方法的不同,从2.3×10^−6/K到8.8×10^−6/K不等[12]、[21]、[22]、[24]、[25]、[26],低于其他常见材料,如硅(Si)(1.86×10^−4/K [27])、Si3N4(∼2.5×10^−5/K [28])、SiO2(1×10^−5/K [15])、LiNbO3(3.3×10^−5/K [29])等。如此低的TOC使得Ta2O5光子器件在广泛的光谱范围内具有极小的温度依赖波长偏移(TDWS)[19]。已报告无热微环谐振器(TDWS∼9.7 pm/K [30])、法布里-珀罗谐振器(TDWS∼8.2 pm/K [31])和波导布拉格光栅(TDWS ∼7.4 pm/K [31])。通过利用材料补偿方法,Ta2O5器件的热折射响应可以进一步抑制。例如,将TiO2涂覆在Ta2O5微盘谐振器上,将TDWS降低至仅为0.26 pm/K[22]。使用具有负TOC(−7.94 × 10^−6/K [25])的晶体石英作为基底,可以将波导的TOCeff调节为−1.14 × 10^−6/K,显著低于热氧化物基底的对照组[12]。

本文通过研究两个Ta2O5 Mach-Zehnder干涉仪(MZI)器件,展示了结构补偿方法在低TOC光子平台上的有效性。一个是非对称Mach-Zehnder干涉仪(AMZI)。AMZI在宽带范围1480 nm至1580 nm内的TDWS小于2.23 pm/K,在1550 nm处为1.98 pm/K。与未补偿的MZI(1550 nm处TDWS ∼9.09 pm/K)或环形谐振器(1550 nm处TDWS ∼9.69 pm/K [30])相比,AMZI具有显著改善的热稳定性。另一个是环耦合Mach-Zehnder干涉仪(RMZI),其传输最小值在温度变化时表现出有趣的振荡行为,打破了与温度变化之间的线性依赖。

II. 非对称Mach-Zehnder干涉仪

A. AMZI设计

微信图片_2025-06-25_114008_018

图1. (a) 展示AMZI结构的俯视图示意图。 (b) 2.8 μm × 90 nm Ta2O5波导的横截面。

AMZI的架构如图1(a)所示。它由一对Y型分支器和两条具有不同长度和宽度的臂组成。L1,2和W1,2分别表示臂1和臂2的长度和宽度。AMZI器件在低损耗且兼容CMOS的Ta2O5光子平台上实现[30]。Ta2O5的核心厚度为90 nm,底部和顶部的SiO2包覆层为5 μm厚。图1(b)展示了一个宽度为2.8 μm的Ta2O5波导的横截面。该设备设计为在1550 nm附近工作于基模(TE00)。

AMZI的无热化机制依赖于具有不同热光响应的不对称臂。不同宽度的波导具有不同的TOCeff,这由模式分布决定。图2(a)绘制了波导宽度与TOCeff之间的关系。随着核心宽度的增加,波导的TOCeff变小。这个趋势与硅(Si)[33]或Si3N4 [34]等常见波导相反,因为Ta2O5核心的TOC小于SiO2包覆层的TOC。

微信图片_2025-06-25_114013_298

图2. (a) Ta2O5波导的有效热光系数(TOCeff)与波导宽度的关系。宽度为2.8 μm和7.0 μm的波导的TOCeff被圈出。插图显示了波导的基模横向电(TE00)模式。(b) 通过精心设计AMZI的臂1和臂2的长度,可以将光程差(OPL)变化抑制到零。

无热化的原理如图2(b)所示。随着温度变化(ΔT),两个臂的有效模式指数(neff)线性变化,由每个波导的TOCeff调节。因此,两个臂之间的光程差(OPLD)随着温度的变化而变化。

微信图片_2025-06-25_114018_197

温度引起的模式指数变化为 Δneff1(ΔT) = TOCeff1 · ΔT 和 Δneff2(ΔT) = TOCeff2 · ΔT。通过精心设计臂1和臂2的长度,可以使两个臂之间的光程差(ΔOPLD)变化为零(图1(b)中的红线)。因此,AMZI器件的热光响应被抑制。为了找到所需的臂长,应考虑AMZI的TDWS,表达式如下[15],

微信图片_2025-06-25_114034_652

其中 ΔL = L2 − L1 是臂2和臂1之间的长度差。Δneff = neff2(W2) − neff1(W1) 是窄波导和宽波导之间的有效折射率差。M 是考虑了波导色散的修正干涉阶数。它是基于未调整的干涉阶数 m 推导出来的[15],

微信图片_2025-06-25_114342_330

根据(1)–(3),通过精确选择臂长和宽度,可以减少AMZI的TDWS。Ta2O5和SiO2的TOC分别取为2.3 × 10^−6/K和9.8 × 10^−6/K[12]、[32]。我们将一条臂的宽度(W1)设置为2.8 μm,因为我们已经对该宽度的波导光学特性进行了表征[29]。为了使ΔTOCeff显著可见,另一条波导(W2)的宽度优化为7 μm,以便节省占地面积。这两条臂的TOCeff如图2(a)中的圆圈所示。臂1和臂2的长度分别计算为31247 μm和31327 μm。由于在臂2中采用了锥形过渡结构,使得从W1宽度到W2宽度的模式过渡是绝热的,因此在臂1中插入一对冗余的锥形过渡结构来补偿光程长度差。

B. AMZI的表征

微信图片_2025-06-25_114348_659

图 3. (a) TDWS 测量实验装置示意图。FPC:光纤偏振控制器;PD:光电探测器;PC:个人计算机。(b) 用红光发射的其中一个已制备的 AMZI 器件的照片。

设计的AMZI器件通过我们兼容CMOS的Ta2O5制造工艺进行制造[30]。实验设置如图3(a)所示,具有精确温度控制。1550 nm的连续波(CW)激光通过带透镜的光纤耦合进出波导。偏振状态通过光纤偏振控制器(FPC)调整。输出功率输入到光电探测器(PD)。可调激光器和光电探测器通过Python脚本自动化,允许同步波长扫描和功率读取。图3(b)是由红色激光发射的已制造AMZI的照片。器件的臂部以螺旋状布置,以减少占地面积。AMZI的总插入损耗在1550 nm时测量为约9 dB,包含约2.9 dB/面耦合损耗[30]、约0.5 dB/cm的传播损耗[35],以及每个Y型分支器的附加插入损耗,测量值为1.15 dB。为公平比较,测量的光谱已根据其插入损耗进行了归一化。

微信图片_2025-06-25_114356_838

图 4. (a) AMZI 在不同温度下的归一化透射光谱。插图为测量数据的拟合曲线。(b) 将测量的 AMZI 跃迁波长与温度进行拟合,得到 TDWS 为 1.98 pm/K。相关平方 (R2) 为 0.9998,误差平方和 (SSE) 低于 0.0001。(c) 为了进行比较,对未补偿的 MZI 进行了相同的测量,其 TDWS 为 9.09 pm/K。相关平方 (R2) 为 0.9996,误差平方和 (SSE) 低于 0.0001。(d) TDWS 在 1480 nm 至 1580 nm 范围内的光谱响应。红色线性拟合线显示了TDWS相对于波长的变化趋势。

图4(a)显示了AMZI在不同温度下的传输光谱,温度范围为25°C至55°C,步长为10°C。如此大的步长可以抑制环境温度波动的影响。光谱分析仪的分辨率为0.1 pm,足够精细以捕捉实验中的光谱偏移。在温度升高30度的情况下,光谱几乎保持不变。传输光谱中的波纹是由于芯片面反射造成的。为了准确地找到光谱转变波长,我们使用正弦函数拟合光谱。转变波长被提取出来,并与器件温度线性拟合。提议的AMZI的TDWS被提取为1.98 pm/K,如图4(b)所示。相比之下,未补偿的MZI器件的TDWS为9.09 pm/K(图4(c)),是所提AMZI的4.6倍。常规MZI的两条臂宽度相同(W = 2.8 μm),因此没有热补偿能力。AMZI TDWS显著减少证明了结构补偿方法在Ta2O5光子平台上的有效性。我们还表征了TDWS从1480 nm到1580 nm的光谱响应,结果如图4(d)所示。整个带宽内TDWS小于2.23 pm/K,在约1490 nm时,TDWS达到较低的1 pm/K,红色实线为测量的TDWS的线性拟合。较短波长下TDWS较小,这是因为模式更加紧密地被约束,导致波导的TOCeff减少,且根据(3)式调整的干涉阶数M增加。因此,TDWS变得更小,如(1)式所示。这一现象反过来表明,借助适当的模式工程和精确的制造控制,完全无热化是可能的。

微信图片_2025-06-25_114401_416

图 5. (a)根据(1)式计算的TDWS与宽度误差eW的关系。(b)根据(1)式计算的TDWS与长度误差eL的关系。

系统性的制造误差可能导致波导宽度和长度偏离其名义值,从而导致非零的TDWS。因此,识别哪个几何参数对制造过程的影响更大,并在制造过程中给予更多关注具有实际意义。基于(1)–(3)分析了TDWS对几何参数的敏感性。假设所有波导宽度存在系统性宽度误差(ew),这在实际中通常是正确的,则TDWS会偏离目标值,如图5(a)所示。波导宽度变化对TDWS的敏感度在名义波导宽度下为11.8 pm/K/μm。同样的分析应用于图5(b)中的臂长,其中引入了系统性长度误差(eL)。臂长变化对TDWS的敏感度为0.0005 pm/K/μm。与臂长变化相比,波导宽度变化对器件TDWS的影响大约是臂长变化的23600倍。因此,在制造过程中应特别注意确保波导宽度的精度。

III. 环耦合Mach-Zehnder干涉仪

A. RMZI设计

微信图片_2025-06-25_114405_176

图 6. (a) 环耦合 MZI 示意图。(b) κ² = 0.5 时 RMZI 的温度响应仿真。此处 ΔT 表示温度变化。滤波器的阻带随温度升高呈现振荡行为。(c) 不同耦合系数下 RMZI 的透射光谱仿真。

(d) 定向耦合器的耦合系数仿真与耦合长度的关系。该定向耦合器的间隙为 1.25 μm,波导宽度为 2.8 μm。

对于具有非零TDWS的器件,如果温度变化足够大,可能会积累大量的共振偏移。打破共振偏移与温度变化之间的线性依赖是解决这一问题的关键。为此,我们实现了如图6(a)所示的环耦合Mach-Zehnder干涉仪(RMZI)。我们将RMZI的臂1宽度和臂2宽度设置为2.8 μm和7.0 μm,与AMZI器件相同,这样我们可以利用AMZI的先前知识,如插入损耗和热光响应。这种配置还将有助于更容易且更公平地比较这两种器件。主要的区别在于RMZI的光程不匹配,其TDWS现在变为负值。环谐振器自然具有正的TDWS。因此,RMZI的整体温度依赖性被取消。由于MZI和环谐振器之间的模式相互作用,出现了法诺共振。因此,RMZI的传输光谱不会随着温度变化而保持静止,而是停止带(或通带)围绕中心波长振荡,如图6(b)所示。

基于耦合模式理论[36]、[37]、[38],RMZI的传输表达式如下所示,

微信图片_2025-06-25_114411_945

其中,E1 和 E2 分别是图6(a)中赛道谐振器输入端和输出端的电场。β1 和 β2 是W1和W2波导的传播常数,通过数值仿真获得。η是整个器件的衰减系数,如果臂1和臂2的长度相似,则大约为 e−α1L1,其中α1是W1波导的衰减系数。

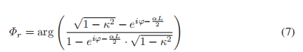
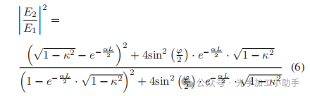
环形谐振器的传输、|E2/E1|² 和相位延迟Φr分别推导如下,

微信图片_2025-06-25_114421_704
微信图片_2025-06-25_114425_885

ϕ 是环形谐振器的往返相位偏移,α 是衰减系数,L 是谐振器的周长。κ2 代表波导和谐振器之间的功率耦合系数,它决定了传输线形。如图6(c)所示,当耦合变得更强时,环形谐振器的半高宽(FWHM)逐渐增宽。当耦合系数 κ2 从 0.056(临界耦合)增加到 0.95(过度耦合)时,停止带的光谱宽度(FWHMs)逐渐接近通带的光谱宽度(FWHMp),传输光谱从环形状转变为类似MZI的形状。为了达到接近1的占空比,优选使用过度耦合的环形谐振器。我们设计中通过定向耦合器实现了耦合强度的精确控制。图6(d)绘制了定向耦合器的耦合系数与耦合长度 Lc 之间的关系,其中耦合器的间隙为1.25 μm,波导宽度为2.8 μm。对于Lc为230 μm的耦合器,其耦合系数κ2约为0.5。图6(b)展示了κ2 = 0.5的RMZI在不同温度变化下的传输光谱。其余参数为:环形谐振器的半径 R = 500 μm,臂1的长度 L1 = 387667 μm,臂2的长度 L2 = 384783 μm。仿真中假设传播损耗为0.7 dB/cm。根据我们之前的测量,我们模拟了随着温度变化,滤波器的停止带光谱围绕1553.8 nm波长振荡。预计温度周期约为50°C。

B. RMZI的表征

微信图片_2025-06-25_114431_783

图 7. (a) 测量的插入损耗与交叉耦合级数 n 的关系。拟合斜率约为 -4.62 dB/耦合器。插图为级联定向耦合器测试结构示意图。

(b) 耦合长度 Lc = 230 μm 的跑道型谐振器的透射光谱。(c) 对 (c) 中圈出的谐振点进行洛伦兹拟合,结果显示负载 Q 值为 5.05×104,固有 Q 值为 2.22×105,耦合 Q 值为 6.54×104。耦合系数为 -4.52 dB。

定向耦合器的耦合系数通过使用级联测试结构进行实验表征,如图7(a)插图中的结构所示。每个输出端口的插入损耗遵循以下关系:

微信图片_2025-06-25_114437_495

其中 n 是耦合阶段的数量,κ2 f 是光纤到芯片的功率耦合系数。Port 0 到 Port 3 的插入损耗在图7(a)中进行了线性拟合。斜率提取为每个耦合器 -4.62 dB。通过分析赛道谐振器的传输光谱(图7(b)),进一步验证了功率耦合系数。图7(c)中的共振通过洛伦兹曲线进行拟合。FWHM 测量为30.7 pm,得到的加载 Q 因子为 5.05×10⁴。内在 Q 因子推导为 2.22×10⁵,对应的传播损耗为 1.25 dB/cm。这个传播损耗高于我们之前报告的值 0.49 dB/cm [30],可能是由于制造过程中颗粒污染造成的。耦合 Q 因子提取为 6.54 × 10⁴,低于内在 Q 因子,表明谐振器是过度耦合的。相应的环形总线耦合系数为 −4.52 dB,与上述的切割方法很好地匹配。测量的功率耦合系数与设计值有所不同。我们将这种差异归因于耦合区域制造过程中的变异。

图8(a)展示了制造的RMZI器件的照片,并放置了一个硬币以帮助可视化其占地面积。图8(b)展示了RMZI的归一化传输光谱,其中紫色为计算得到的传输光谱,蓝色为实测光谱。在计算中我们使用了κ2为 −4.52 dB (∼0.35)。考虑到制造误差,测试光谱与计算光谱很好地匹配。不同温度下的光谱在1555.9 nm附近如图8(c)所示。当温度升高时,光谱最小值(即滤波器的停止带)首先发生红移,然后发生蓝移,最终回到原来的位置。光谱红移是由环形谐振器引起的,其热光响应为正,而蓝移是

由于法诺效应,MZI与环形谐振器的相互作用。当温差继续增大时,光谱偏移的方向会发生变化。通过比较25°C和69°C的传输光谱,我们估计温度周期大约为44°C。测量值与模拟值之间的轻微差异可以归因于制造过程中的变异以及模拟和制造过程中使用的材料性质不匹配。

微信图片_2025-06-25_114442_021

图 8. (a) 已制备芯片与硬币的照片。图中所示的 RMZI 器件用红线框出。硬币直径为 22.25 毫米。

(b) 计算出的 RMZI 透射光谱以紫色绘制,蓝线为已制备器件的测量光谱。(c) 已制备 RMZI 在 1555.9 nm 附近的温度相关透射光谱。

透射光谱中看到的波纹是由于芯片刻面引起的反射造成的。

为了进一步验证频率偏移的温度周期性,我们从21°C到69°C以2°C的步长跟踪了传输最小值的波长,并在图9中绘制了这些结果。可以看到,RMZI的传输最小值波长随着温度变化表现出预期的振荡行为。我们从拟合的最小波长中提取温度周期为43.5°C,这与图8(c)中的实测结果很好地匹配。

TDWS是通过蓝色拟合线的导数计算得到的,结果以橙色绘制在图9中。该器件的TDWS大部分时间保持在∼8.5 pm/K,主要受到环形谐振器TDWS的支配。在法诺共振积累π相位偏移的温度附近,例如51°C时,传输光谱形状发生翻转,TDWS急剧下降,达到∼-36 pm/K。在这个工作点,器件可以配置为传感器[42],其热灵敏度远超材料自身的热响应。

总体来说,TDWS在整个温度周期内的积分为零,这解释了器件的无热化机制和振荡行为。

IV. 结论

总之,我们展示了基于MZI架构的两种类型的Ta2O5无热光学滤波器:不对称MZI(AMZI)和环耦合MZI(RMZI)。AMZI仅利用两个臂的热响应不匹配来消除整体热漂移。所制造的器件在1550 nm处的温度依赖波长偏移为1.98 pm/K,这是报告的所有Ta2O5器件中最低的(见表I)。与没有热补偿的常规MZI相比,所展示的AMZI具有显著更低的TDWS,因此具有更高的热稳定性。此外,AMZI器件在1480 nm至1580 nm的宽光谱范围内保持低于2.23 pm/K的TDWS。通过在设计阶段补偿制造误差和材料属性的不匹配,可以进一步减少AMZI的TDWS。

为了进一步限制共振偏移,我们研究了环耦合MZI。它由一个过度耦合的环形谐振器和一个不对称MZI组成。该环形谐振器的加载Q因子为5.05×10⁴。环形谐振器与MZI之间的耦合系数被表征为−4.52 dB,对应耦合Q因子为6.54×10⁴,满足过度耦合的标准。RMZI依赖于法诺共振打破光谱漂移与温度变化之间的线性关系,将光谱漂移限制在一定范围内。RMZI的传输最小值波长在广泛的温度范围内显示出振荡行为。RMZI的温度周期与我们的预期相符。RMZI的温度周期可以通过使用不同尺寸的环形谐振器和MZI设计来调整[17]。

所展示的AMZI和RMZI器件可能在频率辨别[43]、光信号处理[17]、[44]、量子计算[45]等领域找到潜在应用。通过增加环形谐振器和Mach-Zehnder干涉仪之间的模式耦合,RMZI的性能可以得到提升,以实现50%的占空比。尽管结构补偿方法已应用于Si和Si3N4光子平台,这些平台的材料TOC较大(见表I),但在已有小TOC的光子平台中进行研究的案例较少。本研究证明了结构补偿方法在低TOC光子平台上的有效性,为在不稳定温度环境下实现超无热光子器件铺平了道路。

作者;Mingjian You , Zhenyu Liu , Weiren Cheng , Xingyu Tang, Ning Ding , Zhengqi Li, Min Wang , Li Shen ,and Qiancheng Zhao

关于我们:

OMeda成立于2021年,由3名在微纳加工行业拥有超过7年经验的工艺,项目人员创立。目前拥有员工15人,在微纳加工(涂层、光刻、蚀刻、双光子印刷、键合)等领域拥有丰富的经验。 同时,我们支持4/6/8英寸晶圆的纳米加工。 部分设备和工艺支持12英寸晶圆工艺。针对MEMS传感器、柔性传感器、微流控、微纳光学等行业。

中国(上海)自由贸易试验区临港新片区业盛路188号450室 电话:+86 188 233 40140 邮箱:jing.chen@omeda-optics.com

来源:OMeda

关于我们

OMeda(上海奥麦达微)成立于2021年,由3名在微纳加工行业拥有超过7年经验的工艺,项目人员创立。在微纳加工(镀膜、光刻、蚀刻、双光子打印、键合,键合)等工艺拥有丰富的经验。 同时,我们支持4/6/8英寸晶圆的纳米加工。部分设备和工艺支持12英寸晶圆工艺。针对MEMS传感器、柔性传感器、微流控、微纳光学,激光器,光子集成电路,Micro LED,功率器件等行业。

姓名:*
邮件:*
公司名称:
电话:*
您的需求: