上海奥麦达微电子有限公司

专业高效
微纳加工公司

4-8寸200pm/VPZTOI晶圆--通过PZT驱动声波在硅光子学中的光调制

作者;Irfan Ansari, John P. George, Gilles F. Feutmba, Tessa Van de Veire, Awanish Pandey, Jeroen Beeckman,and Dries Van Thourhout*

图片

摘要:调控光与声的相互作用为光子集成电路(PICs)开辟了新的可能性,从实现光的量子控制到高速信息处理。然而,在硅光子集成电路(Si PICs)中驱动声波通常需要集成压电薄膜。钛酸铅锆(PZT)由于其强大的压电效应和电机械耦合系数,是一种有前景的材料。不幸的是,传统的在硅上生长PZT的方法由于存在光学损耗的中间层,对于光子学应用是有害的。在这项工作中,我们报告了通过光学透明的缓冲层将高质量PZT薄膜集成到硅光子芯片(SOI)上的方法。我们展示了在硅波导中通过PZT驱动的声波进行声光调制。我们使用接触光刻和电子束光刻技术在PZT薄膜上制作了介电质换能器(IDTs),分别生成MHz和GHz范围的声波。在576 MHz时,我们从一个350 nm厚的金(Au)IDT中获得了VπL ∼ 3.35 V·cm,具有20对电极指。考虑到质量加载效应和光栅反射效应后,我们在2 GHz时从一个仅包含四对电极指的100 nm厚的铝(Al)IDT中测得了VπL ∼ 3.60 V·cm。因此,在不对PZT薄膜进行图案化或悬挂设备的情况下,我们获得了与基于SOI的最先进调制器相媲美的性能指标,这使其成为未来集成中宽带高效声光调制器的有前景候选者。

关键词:表面声波,PZT,硅光子学,声光调制器,光机械学

引言
集成波导系统中的光−声相互作用已促进了广泛的光子应用,包括微波光子学滤波器、1,2隔离器、3−5调制器、6−13模式转换器、14−16非互易光传输、17−20频率梳生成21−23以及量子态控制和量子信息处理24−28等。这些设备利用了纳米光子学波导中紧密束缚的光与与机械振动相关的声子之间的广泛重叠。近年来,基于LiNbO3、12,13,29−31GaAs、28,32−34和InP35,36的集成光子平台已展示了这种声光相互作用。然而,在硅光子学平台上,这一领域的进展较慢,因为硅不具有压电效应。克服这一缺陷将成为实现新型光子应用的关键步骤,因为硅光子学平台正在迅速成熟,已经提供了包括调制器、滤波器、隔离器、探测器和激光器在内的一系列高性能构建模块。此外,其与CMOS技术的兼容性提供了大规模制造和商业化的途径。37,38
最近,有报道称在SOI平台上通过热弹性驱动声波。39,40 然而,由于需要高功率调制泵浦源,这种方案消耗大量能量,并且需要单独的电光调制器,因此成本较高。因此,一种更有前景的方案是直接将压电材料集成到SOI平台上。例如,AlN已与硅波导集成,并用于在SOI上演示电驱动的声光调制器。20 这激发了对其他具有强压电效应的材料进行研究,以便将其与硅光子集成电路(Si PICs)集成。

钛酸铅锆(PZT)是最广泛使用的压电陶瓷材料之一,因其强大的压电效应、高电机械耦合系数、普遍的可获得性和良好的高温兼容性(居里点约为370°C)而被广泛应用。[42−44] 因此,将高纹理化的PZT薄膜集成到SOI平台上可能是实现硅光子集成电路(Si PICs)中高效光机械相互作用的有前景的替代方案。然而,PZT薄膜传统上是使用Pt种子层生长的,这使其与光子技术不兼容,因为Pt种子层会导致高光学损耗。[45] 尽管PZT薄膜夹在两层Pt电极之间已经成功用于获得应力光学相位调制,[46] 但其调制速度仅限于约5 kHz。最近,开发了一种将高度纹理化PZT薄膜集成的新方法,使用了一种薄且透明的镧系元素基缓冲层。[47] 通过在SiN[48]和Si光子平台[49]上演示具有非常低光学损耗(<1 dB/cm)的电光调制器,证明了该PZT薄膜的高质量。此外,我们还展示了该薄膜具有较高的二阶非线性(χzzz2 = 128 pm/V)。[50] 因此,使用该PZT薄膜研究压电效应和声光调制是必要的。[51−53]

图片

图1. 在SOI光子芯片上制造的典型IDT的三维图。硅波导嵌入在PZT层和SiO2包层之间。

在本研究中,我们首先简要地描述了波导中的声光相互作用的理论,然后模拟了通过介电质换能器(IDT)激发声波的过程。接着,我们通过实验展示了在PZT-玻璃基底上制作的IDT驱动表面声波(SAW)的压电激励。最后,我们将PZT薄膜集成到SOI光子芯片上(如图1所示),并展示了在硅波导中使用Au IDT进行的声光调制。然后,我们对由密集金属Au制成的IDT厚度对转导效率的影响进行了计算分析。在接下来的进展中,我们使用了较薄且较轻的金属Al IDT,具有更小的周期,并展示了GHz光调制,其性能指标可与最先进的电光[48]和声光调制器[20,33,54]相媲美。因此,我们报告了首个通过直接将光子兼容的PZT薄膜集成到SOI平台上实现的声光调制器。

#划重点

#PZTOI晶圆 #PZT电光调制器光刻显影刻蚀流片

#6寸DUVKRF150nm流片

图片
图片
图片
图片


声波生成

表面声波(SAW)通过沿弹性材料表面创建时变的周期性变形模式来激发。[55] 传播的SAW被限制在靠近表面的区域,其范围约为其波长的大小。主要SAW模式的波长等于光栅周期,其共振频率由介质的声相速度和边界条件(自由表面)决定。[56,57]

已经展示了热弹性驱动的SAW,[39,40,58−60] 但通常,电机械驱动[61]由于其便利性和效率较高而更为偏好。在这种方法中,IDT由周期性电极图案组成,沉积在压电材料上。IDT中的电极对允许在压电材料中生成交替电场,进而产生周期性的应变分布。通过IDT激励压电材料后,也可以激发漏声波(leaky-SAW)模式。然而,这种波在体介质中的粘性阻尼更强。漏声波的共振频率由IDT光栅周期和弹性介质的纵向体声速决定。对于给定的IDT周期,这种共振频率通常高于SAW共振频率(因为纵向体声速 > SAW声速)。[56,62−64]

PZT中声波激励的仿真

多晶PZT薄膜的宏观行为由其畴的晶体学取向决定。[65] 这些畴的极化可以通过施加足够高的电场来对齐(极化过程)。

图片

图2. 2D有限元法(FEM)仿真展示了三种PZT畴极性下,由SAW激励引起的垂直位移:(a) 面外取向,(b) 均匀面内取向,垂直于IDT电极指,(c) 沿IDT电场线周期性取向。

在图2中,我们展示了电机械激励如何依赖于PZT畴的极性。我们考虑了三种不同的配置:(a)面外极化,(b)均匀的面内极化,垂直于IDT电极,以及(c)极化沿IDT施加的电场线周期性取向。我们注意到,与面内取向的PZT畴(b,c)相比,面外取向的PZT畴(a)导致的位移要弱得多。这可以从PZT的反压电张量来解释。根据压电本构方程,诱导的应变可以通过下式来确定。[66] 其中Ei是施加的电场。在仿真中,我们使用了以下PZT的反压电系数:d31 = −171 pm/V,d33 = 374 pm/V,以及d15 = d24 = 584 pm/V。[67]

图片

从这个关系我们可以看出,对于PZT的纵向激励(激发SAW所必需的),施加的电场应该沿着晶体坐标系中的z轴(Ez),即沿着PZT畴的极化方向。因此,为了通过IDT实现有效的SAW激励,畴应该在基底平面内对齐(均匀或周期性地),垂直于IDT电极。
此外,我们还注意到,PZT畴的周期性取向(图2c)会导致SAW共振频率(400 MHz),几乎是PZT中所有畴均匀面内取向(图2b)时SAW共振频率(202 MHz)的两倍。这是因为周期性畴极性的激励会导致SAW波长是IDT周期的一半,因此共振频率加倍。

声光相互作用

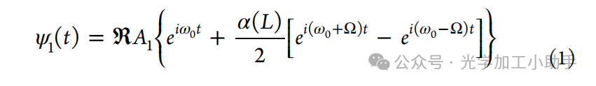
接下来,我们考虑集成在SOI光子芯片上的PZT薄膜,如图1所示。IDT激发的声波会导致一个动态应变分布,进而扰动介质的折射率(光弹效应)。在波导中,这种折射率调制将入射载波模式衍射成两个旁频带。经过长度为L的调制器后,调制后的场可以描述为(详细信息见支持信息)。

图片
因此,我们假设调制器很短,因此调制信号(边带)和载波模式之间的相位不匹配可以忽略不计。

在公式 1 中,A1 是来自待测器件(波导)的输出光的电场幅度,ω0 是入射光的角频率,Ω 是声波的角频率,α(L) 是相位调制幅度。α(L) =−(2πΔneffL/λ0),其中 Δneff 是声波引起的有效折射率变化,λ0 是光的自由空间波长。α(L) 是调制效率的量度,取决于波导中感应声场和光场之间的耦合。

图片

图3. 用于测量声光相位调制的外差设置示意图。商业声光调制器(AOM)被用作局部振荡器,将参考信号的频率偏移200 MHz。然后,将此频率偏移信号与从被测设备(DUT)中出来的相位调制信号通过一个3 dB光纤合成器混合,以将载波信号下变频到探测器上。

为了实验测量光相位调制,我们使用了如图 3 所示的异差装置。调制器的输出信号与来自声光调制器 (AOM) 的频移信号相结合,对光电探测器中的载波信号进行下变频。离开 AOM 的频移信号由下式给出

图片

其中A2是AOM输出光的振幅,Δω = 2π × 200 MHz是AOM引起的频移。因此,耦合到光电二极管(PD)中的光场为

图片

来自光电二极管(PD)的输出电流IPD等于PD的响应度乘以光输入功率 ⇒ IPD ∝ |ψPD|²。由频谱分析仪(ESA)测量的电功率为PESA = IPD² × Z0,其中Z0是负载阻抗(50 Ω)。因此,在ESA中测量的功率谱为

图片

我们可以忽略最后一项,因为α(L) ≪ 1,且未调制项仅贡献于直流电流。我们得到

图片
方程4的傅里叶变换在声光调制器(AOM)频率偏移Δω处产生峰值信号,并在频率|Δω±Ω|处引入两个边带峰值,这些边带峰值是由声波调制引入的。对方程4进行进一步代数运算,可以得到调制幅度α(L)的以下表达式:
图片

因此,调制幅度α(L)可以独立于光电探测器的响应度和增益提取。现在,使用这个α(L),我们可以计算所需的π相位移电压Vπ = πVRF/α(L),其中VRF是输入射频信号的电压幅度。
对于方程4中的上边带峰值功率,我们得到

图片

由于α(L)² ∝ PRF,其中PRF是施加到IDT的射频功率,且|A1|²|A2|² ∝ Plaser²,其中Plaser是输入激光功率。
因此,上述方程可以写为

图片

材料与方法

我们通过化学溶液沉积(CSD)法制造了PZT薄膜,具体过程如参考文献68所述。该方法中使用的超薄(5−15 nm)镧系元素基缓冲层(La2O2CO3)作为优异的晶格匹配层,确保了PZT薄膜的均匀、无裂纹以及优先沿c轴取向的生长。[68] 此外,这一中间缓冲层为基底与PZT层之间提供了有效的扩散屏障。在基底上旋涂缓冲溶液后,我们将样品在400−500°C下退火。接着,我们旋涂PZT前驱体溶液,并在300°C下进行热解处理(我们重复此循环以获得较厚的PZT薄膜)。然后,我们将非晶PZT层在管式炉中以500−600°C的温度在氧气环境中退火20−30分钟,使其结晶。最终,我们获得了化学组成为PbZr0.52Ti0.48O3的PZT薄膜。

为了展示我们PZT薄膜的压电特性,我们设计了独立的IDT结构,制造于玻璃基底上的PZT薄膜。在第一步中,我们使用激光直接写入光刻(LDW)技术在PZT薄膜上图案化了平行电极(间距为80−150μm),然后通过热蒸发和去膜工艺沉积了20 nm Ti/350 nm Au层。这些金属电极用于在40°C下将PZT薄膜进行均匀的面内极化,大约持续1小时。施加的直流电压在820V到1100V之间变化,具体取决于电极间距。在第二步中,我们使用相同的金属化工艺制造了测试IDTs(在已极化的PZT区域)和对照IDTs(在未极化的区域),如图4a所示。考虑到光刻分辨率和极化电极之间的有限间距,电极指的对数限制在约5−7对。在这些IDT上,我们使用Fieldfox矢量网络分析仪(VNA)测量了频率依赖的电反射参数S11。

为了表征声波的激发及其与集成波导的相互作用,我们使用了通过多项目晶圆(MPW)工艺制造的SOI光子芯片作为起点。在MPW制造过程中,波导在220 nm厚的硅层上定义,硅层位于2μm的埋氧化层之上。通过氧化沉积和化学机械抛光(CMP)对芯片进行平坦化。我们在这些SOI芯片上沉积了10−15 nm厚的镧系元素基缓冲层,接着沉积了200 nm厚的PZT层。

图片

图5. (a) 显微镜图像显示了一个IDT,电极指宽度为3 μm,孔径为180 μm,包含20对电极指。 (b) 放大图像显示了分布在没有波导设计区域上的铺设图案(包含浅刻蚀和深刻蚀的硅)。这些220 nm厚的图案具有3 μm的周期性,并且在硅设备层中定义,以保持晶圆制造过程中的一致性。

然后,我们使用光学光刻技术在PZT层上定义了IDT,随后通过热蒸发和去膜工艺沉积了20 nm Ti/350 nm Au层,如图5所示。与前文描述的玻璃基底方法不同,对于这些芯片,IDT区域的PZT是通过IDT本身极化的,方法是施加30−60V的电压(取决于IDT电极指的间距),在40°C下进行约40分钟的处理。

用于测量光相位调制的实验设置如图3所示。激光(Santec TSL510)的信号(1550 nm)通过99/1光纤分配器分为两部分,其中1%的信号通过声光调制器(AOM,Gooch & Housego Fiber-Q,驱动器型号1200 AF-AINA-2.5 HCR)传输,将信号频率偏移200 MHz。其余的99%信号被送入被测设备(DUT)。使用Rhodes & Schwarz-SMR40信号发生器作为射频源驱动IDT。波导中调制后的信号通过50/50光纤合成器与AOM输出信号混合,并送入高速TIA光电探测器(Thorlab PDB480C或PD-40 GHz Discovery LabBuddy)。光电探测器(PD)的输出通过电谱分析仪(Agilent N9010A)进行分析。

结果与讨论

图片

图4. (a) 显微镜图像显示了在平行电极条(80 μm间距)之间制造的测试IDT,用于极化过程,以及没有电极条的相同对照IDT。 (b) 测量的测试(极化)和对照(未极化)IDT的S11信号,周期为16 μm。 (c) 测量的极化IDT的S11信号,周期为12 μm和16 μm。

在图4a中,我们展示了在PZT-玻璃基底上制造的测试IDT(电极之间)和相同的对照IDT(无电极)的显微图像。测试IDT下的PZT薄膜通过平行电极均匀地进行面内极化,而对照IDT下的PZT薄膜则未极化。图4b展示了在两种类型的IDT上测得的电反射参数S11(周期为16μm)。我们观察到,在测试IDT上S11在161 MHz和247 MHz处有两个下凹,而在对照IDT上没有。这些下凹表明声波的激发,因为输入射频功率现在被转换为声功率,导致反射的射频功率降低。因此,这一结果表明,相比于未极化的PZT上沉积的IDT,沉积在已极化PZT上的IDT在激发声波方面更为高效。图4c展示了两个不同周期的IDT的S11响应。我们观察到共振频率随IDT周期的变化而呈比例变化。这证实了S11下凹确实来自声波激发,因为它们的激发频率由IDT周期决定。因此,我们得出结论,我们的PZT薄膜展现了压电效应,并能够激发声波。

通过使用跨越IDT图案的电极对进行均匀的面内极化,由于最大可施加电压的限制,极化PZT区域的大小受限。因此,执行器的大小也受到限制。为此,在随后的设备中,我们使用IDT电极本身对PZT薄膜进行极化。

接下来,我们使用集成了PZT薄膜的SOI光子芯片表征声光相互作用的强度。图6a展示了在使用576 MHz的15 dBm射频信号驱动周期为12μm的IDT时的输出功率谱。如方程4所述,200 MHz处的峰值对应于AOM驱动频率,载波的两个旁频带分别位于576 ± 200 MHz,这就是声光调制的结果。为了表征调制强度,我们测量了上边带峰值的幅度,针对不同IDT的射频频率,如图6b−d所示。

图片

图6. (a) 测量的输出光谱,显示周期为12 μm的IDT在576 MHz下用15 dBm射频信号激励的结果,显示在AOM驱动频率(200 MHz)处的载波峰值以及576 ± 200 MHz处的光旁频带。 (b) 周期为12 μm的IDT的频率依赖调制光谱(蓝色)和S11(棕色)。S11光谱在410 MHz和576 MHz处显示下凹,而测得的光调制光谱在410、576、888和1088 MHz处显示峰值。 (c) 孔径分别为180 μm和150 μm的IDT的调制光谱。 (d) IDT1(周期为12 μm,孔径180 μm,20对电极指)和IDT2(周期为24 μm,孔径280 μm,30对电极指)放置在波导旁边,IDT1距离波导6 μm,IDT2距离波导1024 μm的调制光谱。

在图6b中,我们将波导中测量的光调制结果与对应IDT上测量的电气S11(周期为12μm,孔径为180μm)的结果进行了比较。我们注意到,光调制的410 MHz和576 MHz的峰值与电气S11响应中的转导下凹相一致。然而,对于888 MHz和1088 MHz的调制峰值,我们没有在S11信号中看到明显的下凹。我们怀疑这可能是由于在更高射频频率下S11测量中额外的噪声或串扰所致。因此,电气和光学测量都确认了声波的激发以及波导中相应的光相位调制。

在图6c中,我们展示了具有不同IDT孔径(180μm和150μm)设备的调制光谱。正如预期的那样,当调制长度(IDT孔径)增加时,我们看到了调制强度的按比例增加。在图6d中,我们展示了具有两个不同IDT周期的设备的调制光谱。对于IDT1(周期12μm,指对数为20)和IDT2(周期24μm,指对数为30),IDT孔径和波导核心边缘之间的间距分别为6μm和1204μm。在后者(IDT2)中,调制光谱只显示一个峰值,而在IDT1中则可见多个峰值。为了理解这一点,并深入了解与这些峰值对应的声学模式特征,我们对IDT的单元格进行了详细的有限元分析(FEM)仿真,假设周期性边界条件。仿真设置的详细信息讨论在支持信息中。图7展示了主要结果。

图片

图7. 基于有限元法(FEM)计算的声学色散图,显示了IDT厚度的变化:(a) 12 μm周期的金IDT,(d) 24 μm周期的金IDT,(g) 12 μm周期的铝IDT。色彩图表示归一化的弹性应变能。 (b, e, h) 对应350 nm IDT厚度的弹性应变能谱图。 (c, f, i) 对应350 nm厚IDT的垂直位移剖面。有关仿真细节,

在图7a中,我们展示了Au IDT(周期12μm)厚度与声学模式色散的关系。图7b展示了350 nm厚度下的弹性能量谱,表明存在四个峰值,相关的模式剖面显示在图7c中。我们注意到,430 MHz的R0、570 MHz的R1、810 MHz的R2和1010 MHz的R2分别对应于基本的SAW模式、伪SAW模式、漏SAW模式和漏模式。这些可以与实验光谱中观察到的410 MHz、576 MHz、888 MHz和1088 MHz的峰值相对应,这些峰值出现在IDT1的实验中。实验结果与仿真结果之间的小偏差可以归因于仿真中使用的几何和材料参数与实际实验之间的轻微不匹配。此外,芯片上的硅铺设图案(见图5)未包含在仿真中。

类似地,图7f中,当周期增加到24μm时,显示了三个主要模式的激发,其中265 MHz的R0、约395 MHz的R1和620 MHz的R2分别对应于基本的SAW模式、伪漏SAW模式和漏模式。由于R1和R2具有漏波特性,只有R0可以传播更长的距离,这解释了我们在图6d中IDT2仅观察到单一调制峰值的原因。从图7a和7d显示的声学色散图中,我们注意到,当IDT厚度可以忽略时,激发了三个主要模式:基本SAW模式、漏SAW模式和较高阶(较弱的)SAW模式。然而,当我们增加IDT的厚度时,附加的质量加载效应和光栅反射使模式频率降低并引入更多漏模式。尽管IDT的质量加载效应对于某些传感应用可能是有益的,[69] 在我们的情况下,它是不利的,因为它削弱了SAW的转导强度,并将更多的能量衍射到基底中。因此,表面层波导中的声光相互作用变弱。为了解决光栅反射的问题,在某些情况下会使用分裂指IDT,[62,70] 因为来自光栅的反射波可以相互破坏性地叠加。然而,在周期性极化的情况下,这一条件不成立。因此,在我们的情况下,较薄且密度较低的金属电极可能是一个可行的解决方案。

在图7g中,我们展示了铝IDT的声学色散图,该材料具有低密度(密度约为金的1/7)和较低的声学阻抗失配。现在我们没有看到模式频率的任何偏移。因此,在接下来的制造进程中,我们使用铝来设计IDT。我们使用电子束光刻技术图案化一个小周期的IDT,这使得能够激发更高频率(GHz)的声波。我们通过电子枪蒸发沉积了100 nm厚的铝,随后进行金属去膜工艺。然后,我们通过光刻图案化额外的接触垫,随后沉积了约330 nm厚的铝,并进行了去膜工艺。最后,我们使用原子层沉积(ALD)在设备顶部覆盖了一层50 nm的Al2O3层。结果设备的示例显示在图8的插图中。

图片

图8. 测量的铝IDT的光调制光谱,包含4对电极指,周期为2 μm(电极指宽度500 nm),孔径长度为70 μm,使用12 dBm射频功率激励。光谱显示在2 GHz(R0)、2.55 GHz(R1)、3.1 GHz(R2)、3.47 GHz(R3)和6.7 GHz(R4)处的调制峰值。插图展示了制造的设备的显微图像,该设备距离波导(WG)2 μm,位于没有硅铺设图案的区域。

图8展示了从一个周期为2μm、驱动功率为12 dBm的100 nm厚铝IDT测量的调制光谱。我们发现调制峰值出现在2 GHz(R0)、2.5 GHz(R1)、3.1 GHz(R2)、3.5 GHz(R3)和6.7 GHz(R4)。通过FEM仿真,我们得出结论,最强的调制峰值(R0)是基本的SAW模式[53],而其他峰值属于更高阶模式。


图片

图9. 调制功率(旁频峰值)对(a)在固定激光输入为10 dBm时驱动射频功率的依赖性和(b)在固定射频功率为15 dBm时激光功率的依赖性。该测量是在周期为12 μm、射频频率为576 MHz的IDT上进行的。

在图9中,我们展示了调制功率如何依赖于输入激光功率和射频驱动功率。这些测量是在周期为12μm、射频频率为576 MHz的IDT上进行的。通过数据的线性拟合,我们得到的斜率非常接近预期值,如方程6所讨论的那样。小的偏差主要归因于高射频功率下相位调制中的高阶项,这些高阶项在高射频功率下不再可以忽略,同时在低光功率下的信噪比较差。

通过比较图6a中的AOM峰值(−39.15 dBm)和调制峰值(−75.60 dBm),我们使用方程5提取了相位调制幅度α(L)。当使用15 dBm射频功率在576 MHz下驱动周期为12μm、20对电极指和180μm孔径的金IDT时,我们得到α(L) ≈ 0.03 rad,对应的VπL为≈3.35 V·cm。类似地,对于周期为2μm和孔径为70μm的铝IDT,测得2 GHz(R0)处的调制峰值为−87.3 dBm(图8),而AOM峰值为−43.5 dBm。这给出了α(L) ≈ 0.0077 rad,对应的VπL为≈3.60 V·cm。考虑到铝IDT现在仅包含四对电极指,这是一项显著的改进。我们认为这种改进的主要原因是铝IDT的低质量加载和光栅反射,如前所述,其他可能的因素包括缺少硅铺设图案和声波(波长约为1μm)在波导中的更强声光重叠。

使用相似的PZT层,已经有报道称利用电光(EO)效应的调制器表现出VπL ≈ 3.2 V·cm。[48] 在参考文献20中,使用与AlN集成的硅波导,并使用周期为12μm、107对电极指的IDT,在3.11 GHz下驱动,报告的VπL为1.8 V·cm。因此,我们的性能指标与集成在硅光子集成电路(Si PICs)上的最先进的电光和声光调制器相竞争。

结论

我们研究了使用光子兼容PZT薄膜激励表面声波的压电作用。然后,我们将PZT薄膜集成到平面化SOI光子芯片上,在波导中引发声光调制,并通过金IDT激发MHz声波。随后,通过FEM分析,我们指出了金IDT的质量加载和光栅反射问题。然后,我们制造了一种新设备,采用铝IDT和较小的周期来激发GHz声波。我们获得了具有竞争力的VπL ≈ 3.6 V·cm的结果,该铝IDT仅由4对电极指组成,无需图案化PZT层或刻蚀设备。在消除散射和阻尼损失因子后,预计设备性能将进一步提高。例如,IDT设计可以优化以匹配电阻抗,从而最小化射频功率反射。此外,当前的双向IDT激励声波的两个方向,因此只有一半的声能用于调制。我们可以定义一个声波反射器来收集另一半声能,或者设计一个单向SAW激励器。[71,72] 此外,为了避免任何声能泄漏到基底并避免来自体声波的干扰,可以对设备进行刻蚀。

因此,我们展示了我们在平面化硅光子芯片上沉积的PZT薄膜展现了强大的压电效应,并且可以被用来实现微尺度波导中的强声子-光子耦合。通过这种混合集成过程,我们希望实现节能、小型化、可扩展的压电微执行器基础的光子组件,如可调滤波器、隔离器、调制器、开关和波束控制器。


关于我们:

OMeda成立于2021年,由3名在微纳加工行业拥有超过7年经验的工艺,项目人员创立。目前拥有员工15人,在微纳加工(涂层、光刻、蚀刻、双光子印刷、键合)等领域拥有丰富的经验。 同时,我们支持4/6/8英寸晶圆的纳米加工。 部分设备和工艺支持12英寸晶圆工艺。针对MEMS传感器、柔性传感器、微流控、微纳光学等行业。

中国(上海)自由贸易试验区临港新片区业盛路188号450室 电话:+86 188 233 40140 邮箱:jing.chen@omeda-optics.com

来源:OMeda

关于我们

OMeda(上海奥麦达微)成立于2021年,由3名在微纳加工行业拥有超过7年经验的工艺,项目人员创立。在微纳加工(镀膜、光刻、蚀刻、双光子打印、键合,键合)等工艺拥有丰富的经验。 同时,我们支持4/6/8英寸晶圆的纳米加工。部分设备和工艺支持12英寸晶圆工艺。针对MEMS传感器、柔性传感器、微流控、微纳光学,激光器,光子集成电路,Micro LED,功率器件等行业。

姓名:*
邮件:*
公司名称:
电话:*
您的需求: