摘要
新兴的通信和计算技术将越来越依赖于将有用的射频 (RF) 频谱扩展到亚太赫兹和太赫兹频率范围。经典和量子应用都将受益于亚太赫兹和电光技术与调制器等常见设备的进一步集成和整合。在这里,我们展示了一个集成的三重谐振超导电光换能器。我们的设计结合了一个片上 107 GHz 亚太赫兹铌钛氮化物超导谐振器,调制了一个在电信波长下工作的薄膜铌酸锂光学赛道谐振器。我们观察到最大光子转导效率为 ηOE ≈ 0.82×10−6和平均单光子电光相互作用率为 g0/2π ≈ 0.7 kHz。我们还对集成亚太赫兹谐振器设计相关的挑战进行了研究和分析,并提出了应对这些挑战的可能解决方案。
我们的工作为在亚太赫兹频率下工作的谐振电光技术的进一步发展铺平了道路。
简介
下一代通信、成像和传感技术依赖于利用亚太赫兹 (sub-THz) 和太赫兹 (THz) 频率。亚太赫兹 (0.09 THz 至 0.3 THz,3000 µm 至 1000 µm) 和太赫兹 (0.1 THz 至 10 THz,3000 µm 至 30 µm) 频率占据电子和光学之间的光谱区域,具有诸多优势,例如提高数据传输速率 [1, 2]、提高成像分辨率 [3, 4]、新的雷达和测距模式 [5] 以及接触新物理现象机制 [6]。亚太赫兹频率为量子科学应用提供了超越传统微波系统的几个引人注目的优势。在较高频率下运行可使超导处理器在更高温度下工作,并获得更大的冷却能力 [7],从而有可能降低容错量子计算的扩展障碍 [8]。在这些发展的基础上,人们开始努力创建毫米波范围(30-300 GHz,10 - 0.1 毫米)的量子设备,正如毫米波 (mm-wave) 超导量子比特的最新突破所证明的那样 [9, 10]。这个新兴的量子工具箱包括创新,例如中性原子系统,可用作具有高转换效率的量子毫米波到光学换能器 [11]、亚太赫兹机电 [12] 和光机械系统 [13, 14],以及耦合到金刚石缺陷的毫米波声子带隙结构 [15]。重要的缺失元素是毫米波和光子系统之间的集成转导机制,这对于联网这些设备并实现混合量子系统至关重要。频率转换和不同系统之间的信息传输对于经典和量子信息系统及传感器至关重要。虽然经典信号可以用市售的调制器来处理,但量子信号需要专门的换能器。量子换能器的性能和要求截然不同,直到最近才引起人们的广泛关注。在过去十年中,人们已经使用直接电光 [16–20] 以及压电、电和光机械方法 [21–25] 开发了在微波 (3 GHz) 和光学 (193.5 THz) 频率之间相互转换的集成量子换能器。在这项工作中,我们提出了一种基于薄膜铌酸锂 (TFLN) 的三重谐振亚太赫兹腔电光平台。我们提供了有关超导亚太赫兹谐振器和 TFLN 光学腔的详细信息,并介绍了实现此类亚太赫兹设备量子操作所需的关键分析。利用集成光子学和射频共封装,我们的设备能够实现从亚太赫兹到电信的直接电光转换。一个功能齐全的设备可以连接在高频率和高温下运行的系统 [7, 8]。此类系统的例子包括超导量子比特 [10]、中性原子 [11] 和长基线望远镜 [26, 27]。此外,这种换能器还可用于多级转换,通过亚太赫兹中介将微波频率的当前量子硬件连接到光频率 [28–30]。
划重点:
#蓝宝石上铌酸锂LNOS晶圆
*薄膜厚膜LNOI(8寸)/LTOI(6寸)/SLNOI (6寸)/SLTOI(6寸)X切Z切
#6寸DUVKRF流片--SIN晶圆级流片
#6寸DUVKRF流片--铌酸锂晶圆级流片
#晶圆对晶圆 芯片对晶圆 芯片对芯片 亲水直接键合
*近化学计量比 Z切 X切 Stoichiometric_LNOI/LTOI 薄膜铌酸锂 和钽酸锂晶圆 -----量子应用#高电光系数和非线性光学系数 #更少的短波吸收 #更小的矫顽场SLT和SLN与其对应的同成分相比电光系数和非线性系数都有比较大的提高,有利于电光器件的制作。对于制作周期极化结构,其畴结构的变化和矫顽场的降低,制作的周期结构更加容易和质量更好。由于SLT折射率差值变得更小,Ppslt更容易在量子光学上得到应用。ALOOI晶圆;--氧化铝薄膜晶圆,键合工艺和镀膜工艺
TAOOI晶圆--氧化钽薄膜晶圆,镀膜工艺
SINOI晶圆;--超低损耗氮化硅薄膜晶圆,
SICOI晶圆;新型量子光学平台
6寸LTOI晶圆批量供应;铌酸锂的有力的竞争对手,薄膜钽酸锂晶圆
8寸LNOI晶圆;8寸LNOI助力更大规模薄膜铌酸锂产品量产
LN/LT-SOI/Si/SIN W2W&D2W异质集成
流片: 6寸 氮化硅 铌酸锂 硅光 超高性价比流片, 1个BLOCK的价格买一整片晶圆
划重点--全国产-超高性价比-6 寸硅光-氮化硅-铌酸锂流片白皮书
结果
设备概述和工作原理
图 1 设备工作原理和概述。传感器的集总元件模型。传入的亚太赫兹场由具有特性阻抗 Z0 的传输线承载,并通过电容 Cc 耦合到超导谐振电路(金色)。由于 Sa 基板,传出的亚太赫兹波会经历不同的特性阻抗 Z˜。亚太赫兹模式的腔内电场跨越电容为 C 的电容器,该电容器环绕 LN,描绘为具有 χ(2) 非线性的介质。包裹 LN 晶体的镜子表明光学模式是谐振的。电路模型下方的卡通画描绘了我们的设备实现的三重谐振三波混频相互作用,其中 ωRF、ω0、ω+ 是亚太赫兹模式、光泵模式和上转换的蓝色失谐光学边带模式频率。为完整起见,还显示了红色失谐边带模式 ω−。b
器件制造和封装
我们的制造与 McKenna 和 Witmer 等人的制造非常相似。[16]。我们从一块 12 mm × 16 mm 的材料开始,该材料上标称有 500 nm 的 MgO 掺杂 X 切割 LN,顶部是 500 µm 厚的 C 切割 蓝宝石,光波导、跑道谐振器和光栅耦合器使用氢硅倍半氧烷 (HSQ) 抗蚀剂和电子束光刻 (JEOL、JBX-6300 FS、100 keV) 定义。使用 Intlvac 离子束研磨机 (氩离子),我们蚀刻大约 300 nm 的 TFLN,以将掩模转移到 TFLN 中。
接下来,我们在光学元件周围蚀刻多余的 TFLN。我们利用 SPR3612 抗蚀剂和光刻技术(Heidelberg MLA 150,375 nm)定义第二个掩模,并通过 Intlvac 离子研磨机蚀刻光学器件周围剩余的约 200 nm 的 TFLN 板。在此阶段,我们使用各种酸清洁样品,然后在 500 ◦ C 的大气中退火。接下来,我们使用低温高密度化学气相沉积(PlasmaTherm Versaline HDP-CVD)在芯片上覆盖约 2 µm 的二氧化硅 (SiO2),以保护光学元件免受后续步骤中 NbTiN 沉积的影响。包覆需要两个步骤,每个步骤大约 1 µm 的沉积,中间在 530 ◦ C 的大气中退火 [39]。如正文所述,SiO2 会导致亚太赫兹谐振损耗,因此我们在打算放置亚太赫兹谐振器的氧化物上蚀刻窗口。使用 SPR220-3 抗蚀剂,我们通过另一轮光刻对窗口进行图案化,并在电感耦合等离子体反应离子蚀刻机 (PlasmaTherm ICP RIE) 中用氟化学物质蚀刻 SiO2。在这些区域暴露 Sa 后,我们在混合氮-氩环境 (Kurt J. Lesker PVD Pro-line) 中通过直流磁控共溅射铌 (Nb) 和钛 (Ti) 沉积 NbTiN。在第三轮光刻中,我们使用 SPR3612 抗蚀剂对亚太赫兹谐振器进行图案化。最后,我们使用 SF6/Ar 混合物 (PlasmaTherm ICP RIE) 蚀刻 NbTiN。该设备如图 4a、b 所示。
换能器装置和封装的渲染。突出显示的箭头分别显示光泵(紫色,ωp)、亚太赫兹泵(橙色,Ω)和上转换光边带(蓝色,ωp + Ω)的方向性(为简洁起见,未显示红色边带,ωp − Ω)。集成光子和亚太赫兹电路位于半透明蓝宝石基板的顶部,并安装在铜支架的中心。c 整个装置的假彩色扫描电子显微照片。比例尺表示 100 µm。d 放大相互作用区域一部分的横截面。比例尺表示 10 µm。双箭头表示 LN 晶体-z 轴。
我们的设备利用电光效应,频率为 Ω 的亚太赫兹信号通过电光系数 r33 ≈ 31 pm V−1[31] 调制 X 切割薄膜铌酸锂 (TFLN) 区域的折射率。在光泵 (ωp) 存在的情况下,调制通过三波混频产生红色和蓝色失谐边带 (ωp ± Ω)。通过将亚太赫兹谐振模式的频率 (ωRF ≈ Ω) 与光腔的自由光谱范围 (FSR) 相匹配(即电信光泵模式 ω0 与光腔的下一个失谐模式之间的差异,ω± = ω0±ωRF),我们形成了一个三谐振腔电光系统(见图 1a),从而能够高效利用泵浦光子。当输入场和生成场与各自的腔模式共振时,低协同性(协同性C ≡ 4g20nc,0/(κ+κRF) ≪ 1)状态下光子转导的片上量子效率可以写成,
其中 |αout+ |2 = Pout+ /(ℏω+) 是芯片上产生的(蓝色)光子通量,|βin|2 = PinRF/(ℏωRF)是入射到芯片的亚太赫兹光子通量。在这些表达式中,nc,0 是光泵模式的腔内光子群体,κe,j (κj ) 是模式 j 的外部(总)耦合率,Pin/outj
是模式 j 的片上输入/输出功率,其中 j ∈ {+, −, opt, RF}。量 g0 是单光子电光耦合率,它从根本上决定了相互作用的强度。注意,由于我们对亚太赫兹谐振器的双面耦合方法,RF 谐振器的耦合效率 (κe,RF/2κRF)
最多可以为 50%。为了实现上述三重谐振系统,我们将由铌钛氮化物 (NbTiN) 薄膜制成的超导亚 THz 谐振器与由 TFLN 制成的光子赛道谐振器集成在蓝宝石衬底 (Sa) 上。我们之所以选择 NbTiN,是因为它的超导转变温度 Tc 比铝高得多,准粒子寿命更短,因此适合于亚 THz 操作。请注意,由于我们使用赛道谐振器,因此我们有一个模式梳,其频率间隔由赛道长度设置,因此也存在红色失谐光学模式。
虽然它的存在对这项工作没有害处,但它可能会增加量子操作期间寄生过程的速率(参见补充信息),应予以适当解决。
可以使用为解决微波频率换能器中的这一问题而开发的方法,例如使用光子分子或多模谐振器中的模式交叉 [16, 17, 32]。
我们将 TFLN 跑道谐振器被超导电极包围的区域称为相互作用区域。超导电极形成共面带状线谐振器,其中基模频率 ωRF 由总电极长度设置(参见方法)。我们的亚太赫兹谐振器设计的一个关键方面是它沿相互作用区域保持单极电场(以避免调制中的抵消),而不跨越集成光子元件 [33](以避免由于 TFLN 靠近金属而导致的光损失和由于电极靠近氧化物而导致的 RF 损失)。图 1c-d 显示了该设备的假色 SEM 和相互作用区域的蚀刻横截面。
图 2 低温光学和亚太赫兹谐振器特性。a 实验中相关的三种光学模式的归一化传输。紫色表示泵浦模式 ω0,蓝色(红色)表示蓝色(红色)失谐边带模式 ω+(ω−)。虽然由于色散,ω0 到红色或蓝色模式的距离略有不同,但两者都在 105.25 GHz 的几 MHz 以内。b 在 VNA 上测量的光泵模式的自外差幅度响应。我们在这里只显示泵浦模式以简洁起见,但我们也对两个边带模式执行这些测量。c 在 VNA 上测量的光泵模式的自外差相位响应。我们拟合相位响应以推断光模式谐振频率 ωj、外部耦合率 κe,j 和总损耗率 κj。然后使用这些参数绘制 (b-c) 中所示的拟合图。 d 亚太赫兹透射光谱与低温恒温器平台温度的关系。
我们将光谱标准化为非超导数据,其中 T > Tc。我们观察到亚太赫兹模式随着温度升高而红移和变宽。请注意亚太赫兹模式与许多寄生 Sa 基底模式杂交时避免交叉的存在。e 子图 (d) 中的单个温度切片,T ≈ 4.9 K,以金色显示。实心黑线表示与包含基底模式的多参数模型的拟合(参见方法、补充信息)。我们用透明的红色垂直线表示基底模式的谐振频率,其中宽度表示基底模式线宽。浅蓝色透明线显示与这些基底模式杂交的亚太赫兹模式的线形。
我们设计了一个定制的铜封装,以同时处理具有亚太赫兹和光学场的设备。如图 1b 所示,封装与 WR10 矩形波导和 SMF-28 光纤接口。光纤对准并粘合到片上光栅耦合器上,保持其在 298 K 至 4 K 之间的对准 [34, 35]。我们将 WR10 矩形波导安装到铜封装上,以便引导的亚太赫兹场正常入射到设备上。片上超导电极像天线一样拾取入射场,随后调制相互作用区域中的电场。光学和亚太赫兹腔光谱我们将完全封装的设备安装在低温恒温器(Montana Instruments)内,并冷却到大约 4.9 K 的基准温度。在操作换能器之前,我们分别表征每个光学和亚太赫兹腔模式的特性。从光学开始,我们记录光谱,如图 2a 所示。通过使用光纤马赫-曾德尔干涉仪 (MZI) 校准该光谱的波长轴,我们推断出模式间隔为 |ω± − ω0| ≈ 2π · 105.25 GHz。此外,我们观察到在达到基准温度后,通过光纤和光栅的传输量大约下降了 3 dB,我们将其归因于温度引起的设备折射率变化,导致光栅耦合器的峰值频率响应发生偏移。
使用片外电光调制器 (EOM) 和矢量网络分析仪 (VNA),我们执行外差测量以进一步表征每种光学模式。这些测量让我们直接推断每种模式的外部和总耦合率 κe,j 和 κj。在此测量中,我们锁定每种模式的蓝色失谐泵浦激光器,然后通过使用 VNA 源端口驱动 EOM,扫描光学谐振上的边带。芯片的输出在高速光电二极管上收集,锁定泵浦和扫描边带之间的拍频音记录在接收 VNA 端口上。我们将输入输出模型拟合到此测量的相位响应(参见方法和补充信息)。我们观察到幅度和相位响应,分别如图 2b-c 所示。我们在扩展数据表 1 中总结了从这些测量中推断出的光学模式参数。我们使用带有频率扩展模块的 VNA 来表征亚太赫兹谐振器,以测量从 75 GHz 到 115 GHz 的响应。由于亚太赫兹模式与许多寄生模式混合,因此很难将亚太赫兹模式与背景区分开来。为了识别超导特征,我们通过改变低温恒温器的平台温度并测量每个温度下的亚太赫兹频谱来执行温度扫描。我们观察到一个随温度调整的宽特征,我们将其识别为亚太赫兹模式以供进一步处理(见图 2d)。图 2 中显示的所有亚太赫兹数据都归一化为在 T > Tc、Tc ≈ 10.5 K 处获取的光谱。我们观察到超导亚太赫兹模式红移和变宽,证实了超导谐振器对热激发的预测响应。寄生模式基本不受 5 K 温度变化的影响,表明它们不是超导的。从这一观察中,我们推断它们是基底模式。因此,我们开发了一个多参数输入输出模型,用于拟合亚太赫兹数据(参见方法和补充信息)。
对杂交进行建模很重要,因为它会影响腔内 RF 光子数的估计,这会影响我们对电光耦合率 g0 的估计(参见公式 2、方法和补充信息)。图 2e 显示了示例 RF 频谱以及与我们多参数模型的拟合。由于在我们的模型中包含了基底模式,我们获得了用于估计 g0 的两种不同方法之间的自洽性(下一节将讨论)。我们在扩展数据表 1 中总结了亚太赫兹模式参数、基底模式参数和相关耦合率。
传感器操作
图 3 T ≈ 4.9 K 时的换能器特性。a 调制频率 Ω = 2π · 105.285 GHz 时,从 OSA 测得的原始功率谱密度数据。在此数据中,光功率和射频功率对应于 nc,0 = 3.9 × 105 和nc,RF = 2.9 × 106,从而得出换能效率 ηOE ≈ 1.3 × 10−7 和边带比 Υ+,0 = 2.9 × 10−4;子图 (b) 和 (c) 中分别突出显示的蓝色圆圈和红色正方形。OSA 的分辨率带宽为 0.05 nm。b 换能效率与腔内光泵光子数的关系,其中阴影表示 95% 的置信区间。虚线描绘了低功率数据的线性拟合,从中我们可以推断出g0 ≈ 2π · 0.7 kHz。c 边带比 (SBR) 与腔内亚太赫兹光子数。这是传输的蓝色边带功率与传输的光泵功率之比。通过将一条线拟合到低射频功率数据(虚线),我们可以提取 g0 的单独测量值,这与子图 (b) 中的结果非常吻合。灰色阴影表示线性拟合的 95% 置信区间。d 子图 (b) 中突出显示的蓝色圆圈的传导效率作为调制频率 (Ω) 的函数。长虚线 Lorentzian 不是通过拟合程序确定的,而是通过将 Lorentzian 函数置于峰值调制频率处并将其宽度设置为独立测量的蓝色模式光线宽来确定的。具有测量的亚太赫兹线宽的类似 Lorentzian 模型绘制为短虚线。阴影表示 95% 置信区间。e 两种分析方法推断出的 g0 的比较。蓝色圆圈表示从损耗校准的传导效率推断出的值(即子图 (b))。红色方块表示从自校准的 SBR 推断出的值(即子图 (c))。透明线显示每个光功率的 95% 置信区间。虚线表示两条曲线的平均值。
为了测量传导,我们首先将激光器锁定在泵浦模式谐振频率 ω0 附近(见方法)。我们通过对使用 Red Pitaya 实现的激光压电电压进行 PID 环路反馈来保持对泵浦模式的锁定。锁定点电压的轻微波动会改变激光器与谐振的失谐,因此我们将此失谐作为后处理中的一个参数(见方法和补充信息)。激光波长锁定在腔体谐振的蓝色部分,以提高对热光和光折变模式漂移的稳定性(见补充信息)。频率为 ωRF ≈ |ω± −ω0| 的亚太赫兹调制会产生可见的光学边带,并可直接在光谱分析仪 (OSA) 上测量。图 3a 显示了 OSA 轨迹示例。三个峰值对应于图 2a 中所示的光学模式 ω0 和 ω±。请注意红边带和蓝边带中功率的差异。这种不对称性源于两种模式中不同的内部和外部耦合率(见补充信息)。
图 4 亚太赫兹频率和线宽与局部加热的关系。a亚太赫兹谐振频率和线宽与低温恒温器平台温度(左图)和腔内光泵光子数(右图)的关系。蓝色圆圈表示频率,红色方块表示线宽。我们观察到两个子图之间的频率和线宽变化相似。我们将腔内光子数增加导致的变化归因于亚太赫兹超导谐振器的局部加热。b亚太赫兹谐振器的有效温度与腔内光泵光子数的关系。对于给定的失谐和光子数,有效温度是通过插入温度数据来确定的。黑色虚线是与数据拟合的线性模型,灰色阴影表示 95% 置信区间。我们确定斜率和相应的 95% 置信区间为 0.80 µK/光子 (0.72, 0.88) µK/光子。米色三角形表示低温恒温器平台温度。平台温度的恒定性表明有效温度升高主要是局部效应。
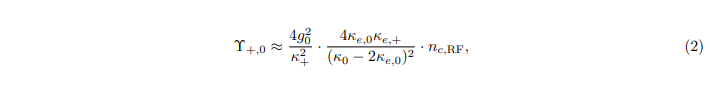
我们通过分别改变光泵功率和 RF 调制功率来表征器件的传导效率 ηOE 和单光子耦合率 g0。每个光泵功率在模式 ω0 中产生不同的腔内光子数。通过改变 RF 调制功率,我们在 OSA 上获得多个测量值,从中我们确定了蓝色边带和 RF 腔中的片上光子通量。从而,我们获得了片上蓝色光子通量 n˙ + 与入射 RF 光子通量 ˙nRF 的线性图。该线的斜率 ηOE = ˙n+/n˙ RF 是电光数转换效率,构成图 3b 中图中的一个数据点。有关此过程的更多详细信息,请参阅方法和补充信息。在低协同极限下,片上换能效率应随腔内光子数 nc,0 线性增加,如公式 1 所示。我们观察到腔内泵浦光子数较低时预期的线性趋势。然而,随着腔内光子数的增加,我们看到效率曲线出现偏差(图 3b)。我们将这种影响归因于亚太赫兹谐振器通过吸收泵浦光子而局部加热,从而改变调谐条件(见图 4,方法和补充信息)。通过将与光功率相关的 RF 模式失谐和线宽(见图 4)纳入公式 1,可以在我们的模型中复制这种影响。从测量的换能效率推断单光子耦合率 g0 取决于对光学和亚太赫兹谐振器中片上光子数的准确估计。要实现这一点,需要仔细校准每个测量链中的损耗,并在低温下进行精确的功率监测。即使是轻微的错位、温度漂移或反复的拔出/重新插入循环也会导致光吞吐量或传输到芯片的功率发生变化,进而直接影响推断出的 g0 值。因此,我们对光路和射频路径都进行了低温校准,以尽量减少这些误差源,如补充信息中所述。除了测量传导效率外,我们还对边带功率比 (SBR) 进行了类似的测量,这显著降低了对光功率校准的灵敏度。SBR 定义为 Υ+,0 ≡ P+/P0,其中 Pj 指的是 OSA 测得的泵浦功率 (P0) 和蓝色边带功率 (P+)。在共振时,SBR 可以写成
其中 nc,RF = 2κe,RF/κ2RF ·PRFℏωRF。SBR 与 ηOE 中的 g20 成正比,但 SBR 不是与腔内光泵浦光子数 nc,0 成比例,而是与腔内 RF 光子数 nc,RF 成比例(参见方法和补充信息)。检测链中的任何光损耗都会从该表达式中正常化,从而减少了光路校准误差对 g0 估计的影响。两种方法在低泵浦功率(对应于图 3b 中的线性区域)下推断出的 g0 值如图 3e 所示。原则上,对于这两种方法,推断出的 g0 对于每种泵浦功率都应该是恒定的。诸如偏振漂移、光学和 RF 路径校准不准确以及模态速率 (κ) 和失谐的不确定性等实验因素都可能导致差异。在我们的案例中,我们发现所有泵浦功率都具有相当好的一致性,这表明我们的测量在统计不确定性范围内是一致的。如果我们对来自 ηOE 数据的所有 g0 估计值取平均值,我们将得到 gη0 = 2π · 707 (681, 733) Hz,其中括号表示 95% 置信区间。同样,对于使用 SBR 的估计,我们得到 gΥ0 = 2π · 685 (645, 722) Hz。为了表征换能器的带宽,我们扫描每个光学和 RF 功率的调制频率 (Ω)。带宽测量的代表性数据如图 3d 所示。我们观察到在 Ω = 2π × 105.285 GHz (∆ = 0) 处的最大转换效率,这与上面讨论的 MZI 校准自由光谱范围的测量结果一致,|ω+ − ω0| = 2π × 105.25 GHz。结合图 3d 中的数据,我们绘制了两组虚线。长虚线描绘了一个 Lorentzian 模型,峰值选择与数据匹配,线宽选择与在 ω+ 处测量的蓝边带模式的光学模式线宽相对应。与之前关于光机械和电光换能器的工作相比,我们的转换带宽受到光腔线宽的限制,对我们来说,这是我们系统中最小的速率。这使我们处于所谓的腔电光学反向耗散极限 [36]。我们还展示了一条短虚线,描绘了亚太赫兹模式的 Lorentzian 模型,峰值选择与数据相匹配,线宽对应于推断的超导亚太赫兹模式线宽作为参考。请注意,在 ∆ ≈ −2π ×0.6 GHz 处,转换效率有一个小的侧峰,我们将其归因于与基底模式的混合(参见方法)。
局部加热亚太赫兹谐振器
如前所述,我们将效率的非线性行为归因于超导亚太赫兹谐振器的加热(见图 3b)。随着光泵光子数量的增加,更多的光子被散射到环境中,最终被亚太赫兹电极吸收,从而移动和加宽超导谐振。为了量化这种影响,我们通过匹配低温恒温器温度和泵腔内光子数导致的亚太赫兹偏移来定义有效温度,如图 4c 所示。将图 2d 中的归一化温度扫描数据拟合到我们的多参数模型中,我们提取了每个温度下的亚太赫兹模式频率和线宽,并将结果绘制在图 4a 中。然后,我们将基底模式参数纳入在每个输入光泵功率下记录的 RF 频谱的类似多参数拟合中(归一化为相同的 T > Tc 背景)。这绘制在图 4b 中。
通过比较低温恒温器平台温度和光泵功率对亚太赫兹模式频率和线宽的影响(图 3b、d),我们构建了一个“有效温度”。
我们对数据进行插值以确定与每个泵浦光子数相对应的有效温度,如图 4c 所示。由于测量的平台温度对于每个腔内泵浦光子数几乎保持不变,我们得出结论,有效温度升高是由于泵浦光子的连续通量引起的局部加热。
讨论
总之,我们在薄膜铌酸锂上展示了一种集成亚太赫兹腔电光换能器。我们观察到的最大效率约为 0.82×10−6,3-dB 带宽为 κ+ ≈ 2π ·210 MHz,与光学模式的线宽紧密相关。此外,我们推断单光子耦合率为 g0 ≈ 2π · 0.7 kHz。为了理解和改进该设备的性能,我们需要考虑一些关键因素:制造、基板模式缓解、色散工程和操作。请注意,能够调整光子和/或亚太赫兹谐振极大地提高了操作的简易性和制造产量,这可以与下面的讨论一起解决。我们目前的亚太赫兹谐振器制造工艺要求我们通过在芯片顶部沉积氧化物包层来保护 TFLN 赛道。然而,我们发现这种氧化物会增加亚太赫兹模式的损耗。除了降低亚太赫兹模式的品质因数外,氧化物包层还迫使我们将 NbTiN 电极放置在比必要更远的位置。这种增加的距离降低了单光子耦合率 g0,从而降低了设备的性能。因此,我们预计从我们的工艺中消除氧化物包层将立即改善设备。实现此目的的一些选项是利用剥离而不是蚀刻来定义 NbTiN 谐振器或使用倒装芯片方法将超导谐振器放置在更靠近光学器件的位置。
Sa 基板支持的亚太赫兹基板模式降低了我们设备的整体性能。这些基板模式与基本超导模式混合,从而改变了电场分布。因此,有两个主要影响:RF 和光学模式之间的场重叠可能会减少,从而降低 g0;并且通过引入额外的失谐和亚太赫兹模式的加宽来修改腔内亚太赫兹光子数(参见方法)。此外,如图 2d 所示,这些模式使亚太赫兹光谱的拟合变得复杂。我们设想了两种可能的解决方案来克服基板模式的影响。首先,通过减小蓝宝石衬底的体积(即,将芯片尺寸从 4.6 mm × 2.37 mm × 0.5 mm 更改为 2.7 mm × 1.3 mm × 0.1 mm),我们可以在 95 GHz – 110 GHz 频率范围内将衬底模式的数量从 29 个减少到 1 个(参见扩展图 3)。其次,通过精心设计,我们可以重新设计封装,以保证与衬底模式的耦合最小。修改 [10, 37] 中的低损耗耦合结构以适应 TFLN 光子学,提供了一个与当前毫米波/亚太赫兹超导量子比特封装原生集成的平台。改善设备的热操作对于量子应用至关重要。本文讨论的所有实验都是用 CW 光泵进行的,该光泵有效地将超导电极沐浴在恒定的光子流中。吸收这些光子在物理上相当于增加电极的温度,如图 4c 所示。光子局部加热超导电极,增加其准粒子密度。超导谐振频率降低,而谐振线宽增加,这两种效应都会损害设备性能(见图 3b)。微波到光学换能器常用的一种技术是对泵进行脉冲调制。通过对泵进行脉冲调制,准粒子密度有时间放松到其热平衡值。这为每个转导事件(由泵脉冲介导)提供了理想的超导条件。此外,在这项工作中,我们在约 5 K 的温度下操作设备。在此温度下,105 GHz 下的平均热光子占用率约为每模式 0.6。要进行任何量子实验,我们需要在较低的温度下操作。对于相同频率,在 1 K 下工作时,热占用小于 0.01 个光子/模式,这足够低了 [10]。在较低温度下工作还具有额外的好处,即超导射频谐振器将具有更高的品质因数。
总体而言,我们已经实现了亚太赫兹腔电光系统并展示了相干亚太赫兹到光的转换。我们的工作表明,集成设备在较低温度下工作
作者:Kevin K. S. Multani1,3,4*† , Jason F. Herrmann2,4*† , Emilio A. Nanni3 and Amir H. Safavi-Naeini2,4* 单位:1Department of Physics, Stanford University, Stanford, USA. 2Department of Applied Physics, Stanford University, Stanford, USA. 3SLAC National Accelerator Laboratory, Stanford University, Menlo Park, USA. 4E.L. Ginzton Laboratory, Stanford University, Stanford, USA.