上海奥麦达微电子有限公司

专业高效
微纳加工公司

用于功率器件氮化镓外延的复合衬底晶圆--200 毫米SOI晶圆上高质量 GaN 外延的演示,用于垂直功率器件制造

关键词:垂直沟槽MOSFET、GaN、工程衬底

摘要

具有与GaN热匹配的多晶AlN核心的工程衬底有望在大尺寸衬底(≥ 200 mm)上实现高良率GaN晶圆与厚缓冲层的协同应用。我们展示了在200 mm衬底上生长的5.4 µm厚无裂纹高质量GaN外延层,该外延层晶圆翘曲度控制良好,PN结电压达到440 V。半垂直沟槽栅极MOSFET器件架构已用于证明器件在导通状态下具有优异的性能,导通电流达到1.2 kA/cm²,导通电阻低至5.7 mΩ∙cm²。新一代外延叠层已开发完成,其n型漂移层净掺杂浓度接近1.5×1016 cm-3,且具有优异且均匀的晶体质量,GaN <102> 峰值低至400角秒。

划重点

#用于氮化镓外延的

68寸 SI-薄膜4hSIC衬底

Si-薄膜单晶GaN衬底

我们常见的键合技术 有硅玻璃键合 金金键合,金锡键合,金硅键合,临时键合等等 。但是当我们遇到一些需要低温键合,或者一些特殊材料时,或者应用场景时,上述键合方式很难满足一些特殊场景的应用,

因此科学家提出了表面活化键合技术,这种技术 使键合技术所覆盖的材料范围更加广泛,比如

GaAs-SiC,InP-Diamond, LN-SiC,Si-Si,GaN-Dlamond,Sl-Diamond,蓝宝石-蓝宝石,金刚石-sic, sic-inp,sic-LN, ic-ga2o3,glass--glass,Si-SiC,Si-GaAs、GaAs- SiC、Si–SiC、SiC–SiC、Ge–Ge  、Al 2 O 3 -Al 2 O 3 ,GaP-InP, GaN-Si、LiNbO 3 -Al 2 O 3 、LiTaO 3 -Si and more(晶体,陶瓷,等等)

扩展的多材料的体系,将键合技术扩大了应用范围

*MEMS传感器             *光子集成电路                   *半导体激光器

*功率器件                        *3D封装                        *异质集成

我们为客户提供晶圆(硅晶圆,玻璃晶圆,SOI晶圆,GaAs,蓝宝石,碳化硅(导电,非绝缘),Ga2O3,金刚石GaN(外延片/衬底)),镀膜方式(PVD,cvd,Ald,PLD)和材料(Au Cu Ag Pt Al Cr Ti Ni Sio2 Tio2 Ti3O5,Ta2O5,ZrO2,TiN,ALN,ZnO,HfO2。。更多材料),键合(石英石英键合,蓝宝石蓝宝石键合)光刻,高精度掩模版,外延,掺杂,电子束直写等产品及加工服务(请找小编领取我们晶圆标品库存列表,为您的科学实验加速

激光器芯片/探测器芯片/PIC芯片封装耦合服务"

请联系小编免费获取原文,也欢迎交流半导体行业,工艺,技术,市场发展

图片


引言

工程衬底有望在具有厚GaN层的大面积衬底上将电压范围扩展到650 V以上,同时避免器件制造过程中的晶圆破损。Qromis衬底技术公司(QST®)是这方面的先驱,并提供符合SEMI标准厚度的200毫米工程衬底。 QST® 衬底由多晶陶瓷芯(poly-AlN)构成,其上覆盖有多层封装层,封装层之上是 SiO2 键合层和单晶 Si 层,后者作为 MOCVD 生长的成核层 [1]。据报道,已在直径达 150 毫米的 Si 衬底上制造了用于高压应用的垂直 GaN 器件 [2]。由于 GaN 和 Si 之间的热膨胀系数和晶格常数不匹配,进一步扩大 Si 衬底尺寸和 GaN 堆叠厚度极具挑战性。使用这些经过精心设计的衬底,可以实现大直径垂直 GaN 器件的制造,其可扩展性有望达到 300 毫米。文献中已展示了在GaN衬底上采用垂直晶体管和二极管工艺制备高质量GaN层[3-5],但目前仅有小面积衬底可用,衬底成本非常高[6]。

与Si相比,具有多晶AlN核心的工程衬底是生长大面积高质量外延GaN层的更佳选择,因为它的热膨胀系数与GaN匹配。在工程衬底上,横向pGaN栅极HEMT器件已演示高达650 V的电压[7,8]。由于需要增加栅极到漏极的间距,该电压的提高将进一步增加横向HEMT器件的占位面积,这也会影响器件的导通性能。在垂直晶体管中,由于电场垂直分布在GaN外延叠层上,器件的占位面积与目标电压无关,这使得该技术非常适合高压应用。

在本研究中,我们展示了在200毫米工程衬底上进行高质量GaN外延生长,用于垂直器件制造。

第一部分描述了GaN外延生长,并展示了PN结的电压阻断能力。

随后,我们报告了沟槽栅极MOSFET器件的制备过程及其导通性能。

GaN外延

图片

图 1. (a)横截面 SEM 图像和(b)200 毫米工程衬底(含 5.4 µm 厚 GaN)的晶圆翘曲

使用德国AIXTRON的AIX G5+ C行星式反应器®,采用MOCVD技术生长了厚度为5.4 µm的无裂纹GaN层(图1(a))。5×200毫米小型批量反应器采用卡式结构,可在保持极低颗粒数量的同时实现高生产率,从而实现最佳良率。

该叠层由200 nm厚的AlN成核层、应变补偿缓冲层、用于减少缺陷的1 μm厚的流体GaN层、750 nm厚的n+-GaN底部接触层、3 μm厚的n-GaN漂移层、400 nm厚的Mg掺杂p-GaN层以及200 nm厚的n+-GaN顶部接触层组成。由于采用了CTE匹配的衬底和外延叠层,可以实现|50| μm以下的弓形调整,且与漂移层厚度无关。图1(b)示例了图1(a)所示叠层的结构。晶圆弓形的良好控制使得器件能够在200 mm工艺线上进行加工,并与CMOS技术兼容。

图片

图 2. 生长 GaN 堆栈中掺杂 GaN 层的 SIMS 分析。

图 2 所示的堆叠 SIMS 分析提供了各层化学浓度的详细信息。n+-GaN 层的掺杂浓度为 5.5 ×1018 Si/cm3。pGaN 层的掺杂浓度为 1.2×1019 Mg/cm3,净 p 掺杂浓度为 2×1018 cm-3。漂移层的 Si 掺杂浓度为 4×1016 cm-3,C 背景浓度为 1.5 ×1016 cm-3。

从霍尔测量结果可知,n型活性浓度约为 2.15×1016 cm-3,漂移层迁移率约为 473 cm²/ (V.s)(表 I)。为了进行霍尔测量,我们生长了一个测试结构,其层数与器件堆叠至 n- 漂移层完全相同,但 n+- GaN 埋层被一层液体氮化镓层取代,以便进行霍尔测量。

图片
图片
图 2. 生长 GaN 堆栈中掺杂 GaN 层的 SIMS 分析。
图片
图 3. 对于第一代 GaN 层堆栈,PN 二极管的反向 J-V 特性达到 440 V。

对于图 1 所示的外延叠层,其 n 型漂移层含有 4×1016 Si/cm3 的 Si 掺杂,且晶体质量良好,PN 结在反向偏压下达到 ~440 V,如图 3 所示。

图片

图 4. (a) GaN <102> 和 GaN <002> 峰的 XRD FWHM,(b) 第 1 代和第 2 代 GaN 层堆栈的位错估计数量。

我们对GaN外延进行了进一步的研究,证明了其晶体质量和均匀性得到了显著改善,如图4(a)中的XRD FWHM值所示。图4(a)比较了两代GaN外延层,均采用3 µm厚的漂移层,其中第二代叠层GaN <102>峰的FWHM值低至400角秒。叠层中刃型位错的数量与在GaN<102>峰中观察到的晶体质量直接相关[9]。比较第一代和第二代外延叠层时,我们能够将晶圆中心的刃型位错缩小30%,晶圆中部和边缘区域的刃型位错缩小60%,最终估计为4-5x108 cm-2,如图4(b)所示。通过调整叠层底部含Al的应变补偿层,第二代外延的晶体质量得以提升。此外,n漂移层中Si的掺杂浓度降低至2×1016 cm-3,同时碳背景掺杂浓度也得到有效抑制,低于1×1016 cm-3。这些改进有望在未来的工作中进一步提升PN二极管的电压阻断能力。

器件制造

图片

图 5. (a) 沟槽栅极 MOSFET 器件的示意图和 (b) 工艺顺序。

我们制造了一个半垂直沟槽栅极MOSFET器件作为测试载体,以展示器件导通状态下的性能。电子从源极流向p-GaN中的反型沟道,穿过n-漂移层,然后通过位于晶圆正面的n+-GaN层(漏极触点)收集。图5(a)给出了示意图。

图片

图 6. 沟槽栅极 MOSFET 器件有源区横截面 SEM 图像,描绘了栅极和源极区域。

首先沉积一层薄薄的Al2O3和SiO2层作为表面钝化层。n+-GaN和p-GaN顶层通过N注入与漏极隔离。接下来,对沟槽栅极进行处理。干法刻蚀和湿法刻蚀步骤经过优化,获得了光滑的栅极沟槽侧壁[10],如图7(a)所示。然后,进一步处理栅极结构,采用2.5 nm Al2O3和50 nm SiO2双层电介质,并在其顶部形成基于TiN/Ti/Al的栅极金属叠层。与源极n+-GaN、p体层和漏极n+-GaN层的接触点均采用含Ti/Al的薄金属叠层制成。漏极金属化和图形化处理完成后,采用565°C退火工艺形成欧姆接触,如图5所示。金属化层采用4 µm厚的Al金属叠层,覆盖在源极和漏极指状物上方以及焊盘区域。通过让厚功率金属覆盖栅极,设计中可以使用最小1.25 µm的LSG,这有利于器件的导通性能。最后,器件采用2 µm厚的Si3N4钝化层。图6为处理后器件有源区横截面的SEM图像,其中有两个源极指状物,中心为沟槽栅极结构。

图片

图 7. 横截面 SEM 图像,(a) 放大显示栅极沟槽角,具有光滑的 GaN 侧壁;(b) 漏极接触至掩埋的 n+-GaN 层,该层由晶圆正面制成。

埋置的 n+-GaN 层从正面连接,如图 7(b) 的横截面 SEM 图像所示。

导通性能

图片


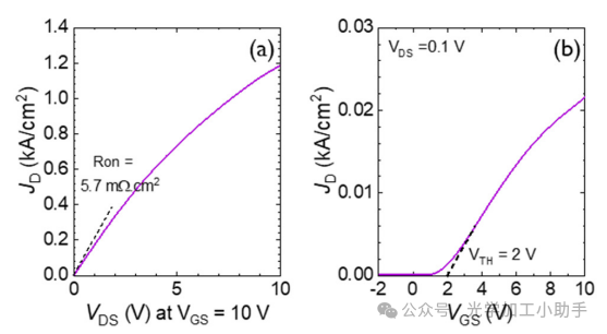
对总有效栅极宽度为60 mm、有效面积为 0.56 mm² 的多指器件进行了电气特性测试,其典型输出和传输特性如图 8 所示。这些晶体管具有 1.2 kA/cm² 的高驱动电流和 5.7 mΩ∙cm² 的低导通电阻(以有效面积为基准)。阈值电压为 2 V。

结论

我们在200毫米工程衬底上成功制备了5.4 µm厚、无裂纹的高质量MOCVD GaN外延层,晶圆翘曲度控制良好,二极管阻断能力达到440 V。我们开发了新一代外延叠层,n漂移层净掺杂浓度接近1.5×1016 cm-3,晶体质量优异且均匀,GaN <102>峰低至400角秒。我们采用半垂直沟槽栅极MOSFET器件架构,展示了优异的器件导通性能,导通电流达到1.2 kA/cm²,导通电阻低至5.7 mΩ∙cm。


作者:K. Geens1, H. Hahn2, H. Liang1, M. Borga1, D. Cingu1, S. You1, M. Marx2, R. Oligschlaeger2, D. Fahle2,  

单位:M. Heuken2, V. Odnoblyudov3, O. Aktas3, C. Basceri3 and S. Decoutere1 

1imec, Leuven 3001, Belgium, E-mail: Karen.Geens@imec.be, Phone: +3216287828  

2AIXTRON SE, D-52134 Herzogenrath, Germany  

3Qromis, inc., Santa Clara, CA, US


关于我们:

OMeda成立于2021年,由3名在微纳加工行业拥有超过7年经验的工艺,项目人员创立。目前拥有员工15人,在微纳加工(涂层、光刻、蚀刻、双光子印刷、键合)等领域拥有丰富的经验。 同时,我们支持4/6/8英寸晶圆的纳米加工。 部分设备和工艺支持12英寸晶圆工艺。针对MEMS传感器、柔性传感器、微流控、微纳光学等行业。

中国(上海)自由贸易试验区临港新片区业盛路188号450室 电话:+86 188 233 40140 邮箱:jing.chen@omeda-optics.com

来源:OMeda

关于我们

OMeda(上海奥麦达微)成立于2021年,由3名在微纳加工行业拥有超过7年经验的工艺,项目人员创立。在微纳加工(镀膜、光刻、蚀刻、双光子打印、键合,键合)等工艺拥有丰富的经验。 同时,我们支持4/6/8英寸晶圆的纳米加工。部分设备和工艺支持12英寸晶圆工艺。针对MEMS传感器、柔性传感器、微流控、微纳光学,激光器,光子集成电路,Micro LED,功率器件等行业。

姓名:*
邮件:*
公司名称:
电话:*
您的需求: