摘要:通过晶体生长过程制造的单晶铜线,研究了晶界(GBs)对电阻率的贡献。我们开发了一种新型的线材制造工艺,保持了通过Czochralski法生长的单晶铜(SCC)的无晶粒结构。与国际退火铜标准(IACS)电阻率相比, grain-free SCC的电阻率降低了9%,其结果值低于银的电阻率。我们还发现,晶界对70 K以上的电阻率有显著影响,但对70 K以下几乎没有贡献,这与杂质不同。对晶界效应的深入理解有助于我们理解导电现象以及纳米尺度分析模型的发展。摘要:通过晶体生长过程制造的单晶铜线,研究了晶界(GBs)对电阻率的贡献。我们开发了一种新型的线材制造工艺,保持了通过Czochralski法生长的单晶铜(SCC)的无晶粒结构。与国际退火铜标准(IACS)电阻率相比, grain-free SCC的电阻率降低了9%,其结果值低于银的电阻率。我们还发现,晶界对70 K以上的电阻率有显著影响,但对70 K以下几乎没有贡献,这与杂质不同。对晶界效应的深入理解有助于我们理解导电现象以及纳米尺度分析模型的发展。
引言
铜(Cu)是世界上使用最广泛的电导和热导材料,因为它价格便宜,且在导电能力上仅次于银(Ag)。自铜的电阻率首次正式记录以来,铜的体积电阻率在过去100年中已降低了约3%。然而,尺寸效应,作为与尺寸相关的纳米尺度现象,已成为纳米科学和技术中的关键问题,因为它涉及到先进技术的应用。当导体的横向尺寸接近纳米尺度时,相比于体材料,由表面和晶界(GB)散射对总电阻率的贡献导致电阻率增大。例如,铜膜的电阻率依赖于其厚度,当尺寸接近电子平均自由程时。已报告单晶铋薄膜相比于溅射多晶铋表现出更大的磁阻效应,这是由于晶界数量的减少。
最初,尺寸效应被认为是由于电子从表面(Fuchs-Sondheimer分析模型)和晶界(Mayadas和Shatzkes分析模型)散射所导致的,在薄金属纳米结构膜样品中。最近,有报告称在纳米尺度材料中,增加晶界数量会加剧电阻率,特别关注电子散射机制。然而,与纯金属的电阻率和晶体材料中晶界动力学对塑性变形的影响等机械性能相比,单晶材料线材的制造以及晶化对线材电阻率的贡献尚未得到深入研究。
在之前的报告中,铜单晶细丝的室温电阻率被报告为1.59 μΩ·cm(±5%)。该细丝的横截面均匀,直径为10-50 μm,最小长度约为15 mm。测得的电阻率小于标准高纯度铜的电阻率。Benard等人报告称,单晶铜的实验表面电阻和波衰减系数均低于高纯度铜。为了明确晶界的贡献,应该在宏观尺度上对其进行精确表征,从而排除与厚度相关的效应,这些效应可以作为材料常数参数用于分析模型中。然而,通过传统的制造和薄膜沉积方法,获得无晶粒的导电金属线非常困难,因为不可避免地会存在大量的晶界。获得无晶粒样品的唯一方法是使整个样品结晶。
在这里,我们开发了一种新型的线材制造工艺,保持了通过Czochralski法生长的单晶铜(SCC)的无晶粒结构。通过晶体生长过程制造的单晶铜线,我们报告称,纯单晶铜(SCC)的电阻率比铜的报告值低9%,并且在100 K以上的整个温度范围内均如此,其电阻率低于银的电阻率,并且即使在宏观线材中也强烈依赖于晶界的数量。我们还发现,晶界对70 K以上的电阻率有显著影响,但在70 K以下几乎没有贡献,这与杂质不同。尽管晶界是一种缺陷,像杂质一样,但它们在低温和高温下表现出截然不同的行为。我们还定义了温度TI,在该温度下,电阻率的主导因素发生了变化。通过测量无晶粒的单晶铜(SCC)获得的洞察力,将对解释实验结果和开发分析模型具有宝贵的价值。
实验部分
图1. (a) 晶体生长系统示意图。 (b) 生长的铜单晶照片。
图1a显示了晶体生长系统的示意图。用于晶体生长的起始材料为4 N纯度的铜珠(Sigma-Aldrich)。单晶铜(SCC)是通过Czochralski法在石墨坩埚中生长的。为了避免石墨坩埚和铜的氧化,真空室充满了5 N纯度的氩气。坩埚和铜通过射频感应加热法(RF发电机,40 kHz,20 kW)加热。拉取速度为3 mm/h,旋转速度为10 rpm。
无晶粒单晶铜线是通过电线电火花加工机(线电加工,Mitsubishi FA10S,日本)从块状单晶铜中制造的。这种方法使用快速重复的电放电序列去除少量材料,非常细的电线作为电极。
通过高分辨率X射线衍射(XRD,PANalytical X’pert PROMRD)表征了单晶铜线的结晶性。用50%稀释的HNO3蚀刻表面后,通过扫描电子显微镜(SEM,日立,S-4700)观察了表面形貌。通过X射线光电子能谱(XPS,ESCALAB 250)研究并比较了单晶铜线和4 N纯度无氧铜(OFC)线的化学键合状态。为了研究电火花加工后单晶铜线表面化学成分的变化,我们使用辉光放电光谱仪(GDS,Jobin Yvon 10000 RF)测量了深度剖面。
电阻率是在300 K到4 K的温度范围内使用4-He低温冷却器(PPMS Quantum Design,美国)进行测量的。电气接触使用直径为0.0508 mm的纯金线和银环氧树脂进行。在电阻率测量中,我们使用了四探针法和电流反转法(delta模式)。通常,四探针法通过使用两个额外的探针去除接触电阻,消除了低电压误差。为了最小化由热电效应引起的不必要的附加电压,我们首先测量了一个方向的电压,然后用反向电流重复测量(delta模式)。这种电流反转法通过消除两次读数之间的温差,提供了可靠的结果。在电阻率测量中,我们使用了纳伏表(Kiethley 2182A)测量电压差,并使用电流源(Kiethley 2425)。我们的测量中纳伏表的分辨率为1 nV。根据温度范围,我们优化了直流电流在10至80 mA之间。电流源的精度在我们的测量范围内为0.1%。因此,仪器(纳伏表和电流源)导致的标准偏差对应于室温下平均电阻率值的0.1%。在实验中,为了减少样品尺寸不确定性带来的误差,电阻率测量是在使用相同方法通过线电加工制造的OFC和SCC样品上进行的,结果横截面偏差小于0.1%。我们还使用千分尺重复测量了样品尺寸(在室温下分辨率为1 μm)。由于样品尺寸不确定性引起的电阻率偏差不超过室温下电阻率的0.1%。测量是在通过电流反转稳定温度后进行的。冷却和加热测量之间未观察到明显的差异。
结果与讨论
图1b显示了在氩气氛围中通过Czochralski法生长的单晶铜(SCC)。种晶的方向通过X射线和中子散射实验(HANARO,韩国原子能研究所)确定。生长的晶体直径和长度分别为80毫米和200毫米。
图2. (a) SCC和(b) OFC的XRD图谱(插图分别显示SCC和OFC蚀刻表面的SEM图像)。
(c) SCC和OFC在XPS光谱中的Cu 2p峰。
图2a,b分别显示了垂直于生长方向的SCC圆盘和多晶无氧铜(OFC)的XRD图谱。SCC的X射线图谱仅显示了对应(200)和(400)平面的两个峰。正如图2的插图所示,蚀刻后的表面具有明显的四重对称性。然而,OFC的XRD图谱表明,OFC是常规的多晶材料,蚀刻表面没有明显的对称性。在SEM观察的蚀刻表面上,OFC的平均晶粒尺寸约为200纳米。
图2c显示了SCC和OFC的Cu 2p峰的XPS光谱。如图2c所示,OFC和SCC中的Cu化学键合状态几乎一致。只有SCC的Cu 2p峰稍微比多晶OFC的峰更窄。
图3. (a) 通过线电加工(wire-EDM)制造SCC圆盘。
(b) 通过线电加工切割以螺旋方式制造SCC线材的过程。
(c) 制造的SCC圆盘和SCC线材。
(d) 拉直的SCC线材。
图3a,b显示了通过线电加工(wire-EDM)制造SCC圆盘和线材的过程示意图。在标准切割方法中,包括钻石锯和机械切割,由于铜的优良延展性和可锻性,切割表面的晶体结构会受到影响。常规抛光和切割过程中,机械应力常常在SCC的XRD测量中引入附加的峰值。如图3a,b所示,线电加工采用快速的电放电系列切割金属的特定区域,细线作为电极。切割线不会直接接触金属样品,而是缓慢通过材料,电放电切割材料。我们发现线电加工方法适用于制造金属单晶线。图3c,d显示了制造的SCC圆盘和线材。SCC线材是通过线电加工切割(200)SCC圆盘制造的,可以准备任意厚度的SCC片。通过1毫米和2毫米厚度的SCC圆盘,我们以螺旋方式制造了SCC线材。
制造的线材具有(200)方向朝上。线电加工切割后,粗糙的表面深度约为0.2 μm,容易通过机械抛光处理。
图4. SCC线材的周期性XRD图谱。
图5. 通过线电加工处理的SCC线材的GDS深度剖面结果。
通过拉直螺旋加工过的圆盘,获得了宽度为2毫米、厚度为0.5毫米的单晶线。通过拉直后的线材获得的XRD图谱反映了这些线材保持了单晶结构,并且在拉直过程中应变效应并不严重。如图4所示,由于螺旋切割,SCC线材沿着(200)平面周期性出现峰值。通常,在多晶样品中,邻近边界的晶体取向应有所不同。然而,在SCC中,整个样品将具有相同的取向。
图5显示了通过线电加工处理的SCC线材的辉光放电光谱(GDS)深度剖面结果。在表面,观察到P、Fe、Mg、Co、Ni和Cr等杂质。这些污染主要来自于线电加工过程中使用的切割金属的材料。深度剖面显示,污染物在表面下方急剧减少。根据溅射时间,污染层的厚度估计为约20纳米。表1显示了不同深度(10、20、200纳米和2微米)处的杂质和铜的原子百分比。如表1所示,SCC线材的纯度始终保持在99.99%(低于20纳米处为±0.005%)。
图6a,b显示了OFC和SCC线材的电阻率温度依赖性,并与铜和银的报告结果进行了比较。19,22,23 对于SCC线材,我们进行了12次测量(在4至300 K之间进行了4次测量,在90至300 K之间进行了8次测量)。对于OFC样品,我们进行了11次测量(在4至300 K之间进行了2次测量,在90至300 K之间进行了9次测量)。获得的OFC和SCC的电阻率分别为1.67(±0.01)和1.52(±0.006)μΩ·cm,在293 K时。OFC和SCC的标准偏差分别约为(0.6%(OFC))和(0.4%(SCC))的293 K电阻率。
根据Matthiessen定律,金属的电阻率是由温度依赖的晶格热振动(即,声子散射)和晶格缺陷(即,空位、间隙原子、位错和晶界)贡献的总和,这些与温度无关。2,12 对于非磁性金属元素,温度依赖的电阻率Fel-ph(T)源自电子-声子相互作用,并遵循温度的幂律函数,布洛赫-格鲁内森(BG)公式。€ 24,25

在公式1中,ΘR是德拜温度,x是布洛赫-格鲁内森公式中的变量,变化范围从0到ΘR/T。常数Rel-ph与λtrωD/ωp²成正比,其中λtr是电子-声子耦合常数,ωD和ωp分别是德拜频率和等离子频率。Bid等人报告称,布洛赫-格鲁内森公式仍适用于直径从15到200纳米的纳米线的电阻率。OFC(FOFC)和SCC(FSCC)的电阻率在室温到约70 K之间与布洛赫-格鲁内森公式很好地吻合。
根据我们的结果,FOFC在293 K时与标准值(1.67 μΩ·cm)一致,约为国际退火铜标准(IACS)导电率的103%。IACS反映了一种材料,在20°C下,1米长、1克重的铜线电阻为0.15328Ω。因此,100% IACS电阻率定义为1.7241 μΩ·cm。然而,FSCC在整个测量温度范围内明显低于FOFC。从使用12个不同样品的重复测量中获得的FSCC的平均值约为1.52 μΩ·cm(对应约113%的IACS导电率),大约为FOFC的91%,甚至低于银的电阻率(约1.59 μΩ·cm)。因此,FSCC在新型金属铜线的导电性方面表现出显著的改进。
此外,Rel-ph是电阻率温度依赖性的关键参数,可以通过将布洛赫-格鲁内森公式拟合到图6a中的数据来估算。我们得到的SCC的Rel-ph值比OFC低约9%;RR定义为Rel-ph/FΘR,其中FΘR是德拜温度下的F值。铜的值为4.225。本研究中获得的OFC和SCC线材的RR值相同(4.226),与报告的值非常接近。有人报告称,铜的这个值在铜纳米线上没有变化。
图6. FOFC和FSCC的温度依赖性
(a) 从100 K到300 K,(b) 从5 K到100 K;FCu(standard)和FAg(standard)分别表示铜和银的报告值。19 实线表示通过布洛赫-格鲁内森(BG)公式计算的OFC和SCC的电阻率。虚线表示具有4 N(FCu(4N))、6 N(FCu(6N))和7 N(FCu(7N))纯度的铜样品的电阻率,如参考文献23所示。
(c) 相对于FCu(standard)的OFC和SCC的电阻率减少率。
图6c显示了与标准铜电阻率(FCu(standard))相比,OFC(ΔFOFC/FCu(standard))和SCC(ΔFSCC/FCu(standard))的电阻率减少率,其中ΔFOFC= FCu(standard) - FOFC和ΔFSCC= FCu(standard) - FSCC。SCC的电阻率比OFC更低。电阻率的分数变化,ΔFGB/FOFC,其中ΔFGB= FOFC - FSCC,理想情况下对应于晶界对电阻率的贡献,在室温到100 K的范围内保持大约9%的常数(图6c)。这意味着,由于晶界的电子散射,随着温度增加,声子的数量成比例地减少。因此,去除晶界可能显著改变电阻率,因为晶界导致的电子散射与单晶中的电子-常规声子散射不同。在70 K以下,FSCC和FOFC在相同纯度等级下相似,但Cu(6N)和Cu(7N)的电阻率明显低于FSCC(图6b)。因此,在70 K以下,声子被强烈抑制时,杂质的数量成为电阻率的主要决定因素,因为晶界数量的减少并未对电阻率的降低作出贡献。因此,OFC中的晶界仅在与声子连接时才增加电阻率。
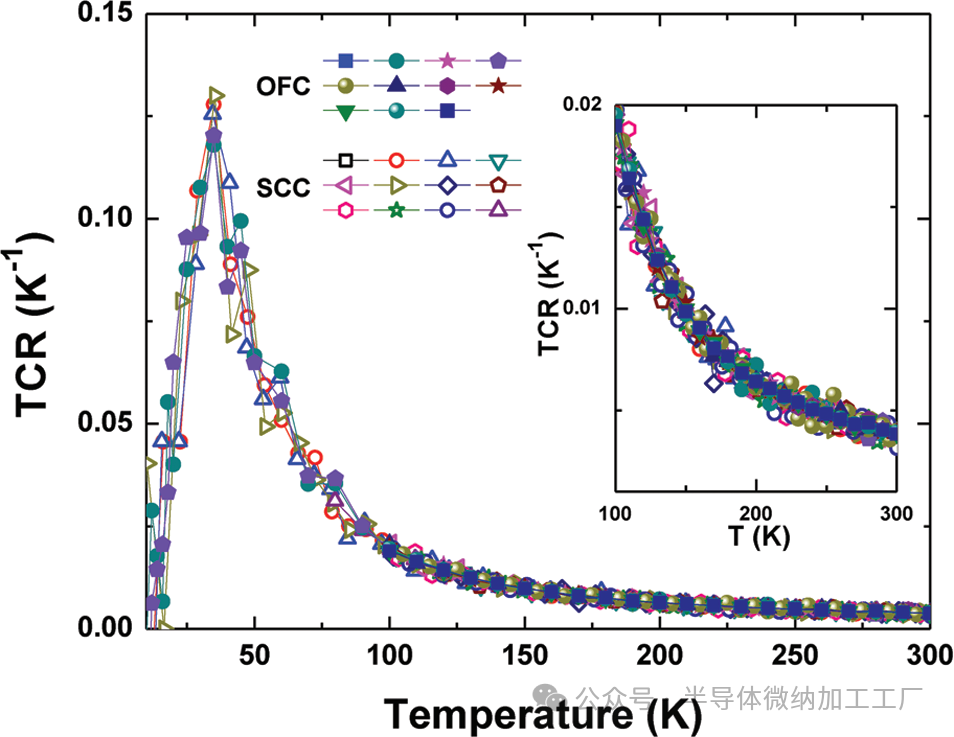
图7. TCR的温度依赖性。TCR的虚线作为视觉引导。
图7显示了SCC和OFC线材的电阻率温度系数(TCR)的温度依赖性。TCR对应于(1/F)3 dF/dT,计算自测量电阻率的温度导数。对于SCC和OFC,TCR在室温下具有相同的值(0.0039 K⁻¹),与铜的标准值非常接近。此外,TCR在大约45 K时表现出异常(TI)。纯度较高的样品在较低温度下开始偏离布洛赫-格鲁内森公式。对于Cu(6N),TI约为30 K,对于Cu(7N),TI约为20 K,与图6b中的结果非常接近。因此,TI被假定为表明主要电阻率贡献者从电子-声子耦合到杂质散射的过渡温度。
总结
总之,我们展示了通过应用广为人知的结晶化过程,铜的电阻率可以低于文献中发现的标准值。我们得到的OFC和SCC的电阻率分别为1.67(±0.01)和1.52(±0.006)μΩ·cm,在293 K时。对于SCC线材,导电率发现接近113%的IACS。这高于以前在所有类型的新型金属中发现的导电率,包括银(105-108.4%的IACS)。在100 K以上,电阻率减少约9%,与布洛赫-格鲁内森公式很好地吻合。因此,我们的观察表明,由于晶界(ΔFGB)的贡献,纯铜在100 K以上的体积电阻率被高估了约9%。此外,晶界在70 K以下不再重要,在该温度下杂质的贡献变得显著。TCR中的异常TI似乎表明随着温度降低,电阻率的主要贡献者从电子-声子耦合转变为电子-杂质散射。为了进一步验证TI在金属晶体中的表现,应进行更多的研究。这项研究突出了世界上最广泛使用材料之一的一个基本现象。通过了解电阻率的起源,应有助于在晶界和表面对电阻率贡献显著的情况下减少微米和纳米尺度上的电信号损失和失真。
Yong Chan Cho,† Seunghun Lee,‡ Muhammad Ajmal,† Won-Kyung Kim,‡
Chae Ryong Cho,† Se-Young Jeong,*,‡ Jeung Hun Park,§ Sang Eon Park,^
Sungkyun Park, Hyuk-Kyu Pak, and Hyoung Chan Kimz
单位
Department of Nano Fusion Technology, Pusan National University, Miryang, Korea, ‡Department of
Cogno-Mechatronics Engineering, Pusan National University, Miryang, Korea, §Department of
Materials Science & Engineering, University of California, Los Angeles, California 90095-1595,
^
MCLAB Company Ltd., Pusan National University, Miryang, Korea, Department of Physics, Pusan
National University, Busan, Korea, and zDivision of R&D, National Fusion Research Institute,
Daejon, Korea