Guoliang Wang,a Fulei Wang,bc Xi Gao,a Dongzhou Wang, *bc Wei Song,dYanlu Li, *a Xueliang Liu,a Yuanhua Sang,a Fapeng Yu *a and Xian Zhaoa
单位:
a State Key Laboratory of Crystal Materials, Shandong University, Jinan, 250100,China.
b Jinan Institute of Quantum Technology, Jinan 250101, China.
cJinan Branch, Hefei National Laboratory, Jinan 250101, China
d CETC Deqing Huaying Electronics Co., Ltd, Zhejiang 313200, China
锂铌酸盐(LN)是一种多功能晶体,具有优异的压电性能,使其成为压电传感应用的潜在候选材料。本研究通过拉曼光谱、第一性原理计算和单晶X射线衍射(XRD)探讨了近化学计量比锂铌酸盐(NSLN)与化学计量比锂铌酸盐(CLN)之间压电性能差异的机制,其中V-Li缺陷对NbO6八面体的畸变产生了显著影响,进而影响了LN晶体的压电性能。NSLN晶体表现出强大的压电性能,其压电系数d15和d22分别为77.6 pC N-1和22.8 pC N-1,分别比CLN晶体提高了17.4%和18.1%,突显了其增强的压电特性。最后,讨论了NSLN和CLN晶体的电弹性常数的温度依赖性行为。利用剪切模式加速度传感器原型评估了NSLN晶体的高温压电性能,结果显示其在高达650°C的温度下仍具有显著的传感性能,并且温度稳定性良好(灵敏度变化小于5%)。
XYZ切 POI wafer,LN/LT-SIC/Si/热氧片供应,我们常见的键合技术 有硅玻璃键合 金金键合,金锡键合,金硅键合,临时键合等等 。但是当我们遇到一些需要低温键合,或者一些特殊材料时,或者应用场景时,上述键合方式很难满足一些特殊场景的应用,
因此科学家提出了表面活化键合技术,这种技术 使键合技术所覆盖的材料范围更加广泛,比如
GaAs-SiC,InP-Diamond, LN-SiC,Si-Si,GaN-Dlamond,Sl-Diamond,蓝宝石-蓝宝石,金刚石-sic, sic-inp,sic-LN, ic-ga2o3,glass--glass,Si-SiC,Si-GaAs、GaAs- SiC、Si–SiC、SiC–SiC、Ge–Ge 、Al 2 O 3 -Al 2 O 3 ,GaP-InP, GaN-Si、LiNbO 3 -Al 2 O 3 、LiTaO 3 -Si and more(晶体,陶瓷,等等)
扩展的多材料的体系,将键合技术扩大了应用范围
*MEMS传感器 *光子集成电路 *半导体激光器
*功率器件 *3D封装 *异质集成
划重点--代工,代工,代工,卖设备
我们为客户提供晶圆(硅晶圆,玻璃晶圆,SOI晶圆,GaAs,蓝宝石,碳化硅(导电,非绝缘),Ga2O3,金刚石,GaN(外延片/衬底)),镀膜方式(PVD,cvd,Ald,PLD)和材料(Au Cu Ag Pt Al Cr Ti Ni Sio2 Tio2 Ti3O5,Ta2O5,ZrO2,TiN,ALN,ZnO,HfO2。。更多材料),键合(石英石英键合,蓝宝石蓝宝石键合)光刻,高精度掩模版,外延,掺杂,电子束直写等产品及加工服务(请找小编领取我们晶圆标品库存列表,为您的科学实验加速。
激光器芯片/探测器芯片/PIC芯片封装耦合服务"
请联系小编免费获取原文,也欢迎交流半导体行业,工艺,技术,市场发展
引言
压电材料是功能材料中的一个关键类别,广泛应用于压电设备的制造,包括加速度传感器、超声导波换能器和声发射传感器。这些压电设备已经获得了广泛的认可,特别是在高温结构健康监测(SHM)领域,其中它们被广泛应用于多个工业领域。
迄今为止,已经探讨了多种类型的压电材料用于开发高温压电设备,包括PbZrO3–PbTiO3(PZT)压电陶瓷、石英、Ba2TiSi2O8(BTS)、AlN和YCa4O(BO3)3(YCOB)晶体。在高温下,由于PZT的居里温度较低,其压电性能迅速退化,限制了基于PZT的设备的工作温度为低于200°C。石英晶体具有较高的机械品质因子(Q>10,000)和较低的介电损耗(<0.1%)。然而,其在300°C时会发生孪晶相变,限制了其在广泛温度范围内的传感能力。近年来,BTS、AlN和YCOB压电晶体被研究用于高温SHM应用,但它们表现出相对较差的压电性能,导致压电设备的灵敏度较低。
与上述晶体相比,近年来由于其卓越的压电性能,锂铌酸盐(LN)晶体成为了广泛研究的多功能晶体。LN晶体根据Li的含量被分为近化学计量比锂铌酸盐(NSLN)和化学计量比锂铌酸盐(CLN)两种类型。在过去几十年中,许多关于CLN的电弹性性质的研究已经发表,报告称CLN晶体的压电系数可高达18.9 pC N-1(d22)。而CLN的有效压电系数d15则显著较高,达到67.7 pC N-1。与CLN直接对比,NSLN晶体则表现出更高的Li含量。
有研究报道,NSLN晶体的压电系数d33高于CLN晶体。进一步地,Palatnikov的研究深入探讨了NSLN的部分压电特性,揭示出NSLN的压电系数d22相较于先前文献中CLN晶体的值表现出显著的优势。此外,研究人员还报道了CLN晶体在500°C下的综合电弹性性能。
研究发现,某些电弹性常数(介电损耗)在CLN晶体暴露于高温时表现出下降趋势。这一退化现象被推测与高温引起的锂成分分解密切相关。实际上,大多数材料性能上的差异可以归因于材料固有的结构特性。材料微观结构中原子、分子或晶体结构的独特排列与相互作用,在定义其电学、热学和光学行为中起着至关重要的作用,从而强调了材料结构在决定其整体功能性和性能中的重要性。
在LN晶体中发现了更多的缺陷,包括锂空位和铌反位缺陷,这些缺陷主要由非化学计量特性引起。据报道,缺陷的存在及与这些空位相关的电荷补偿机制在压电系数降低和介电损耗增加中起着关键作用。
通过对NSLN和CLN晶体的压电性能进行初步比较分析,推测NSLN晶体中锂含量的增加以及缺陷密度的减少,可能引发了其内部结构的改变。因此,与CLN相比,NSLN晶体表现出更优越的压电特性,突出显示了这些结构改变的有利影响。然而,至今,结构转变如何影响LN晶体的压电性能仍未得到详细的解释。此外,研究还发现,NSLN晶体在宽温度范围内完整的电弹性常数的探索仍是当前研究中的空白领域。
在本研究中,探讨了NSLN和CLN晶体之间压电性能差异的机制。此外,还讨论了NSLN和CLN晶体在温度依赖性方面的全电弹性常数行为。最后,利用剪切模式加速度传感器原型评估了NSLN晶体的高温压电性能,测试温度高达650°C。
- 方法学
2.1 NSLN和CLN晶体的[Li]/[Nb]比率分析
NSLN和CLN样品经过制备和抛光,用于在室温下进行紫外吸收光谱表征。紫外吸收边缘使用Cary 5000紫外-可见-近红外光谱仪进行测量,测试波长范围为180–500 nm。紫外吸收边的位置通常用于表征LN晶体中的[Li]/[Nb]比。采用吸收系数为20 cm-1的光波长来定义吸收光谱中的紫外吸收边。
随着晶体中Li2O含量的增加,吸收系数α为20 cm-1对应的吸收边将从大约320 nm移动到短波方向。紫外吸收边与Li2O含量之间的关系可以通过公式(2-1)和(2-2)表示:
其中,l20表示当吸收系数α为20 cm-1时,相应光波的波长。
2.2 NSLN和CLN晶体的晶体结构分析
2.2.1 拉曼光谱分析。NSLN和CLN晶体样品经过制备和抛光,用于拉曼光谱表征,使用了拉曼光谱仪(HORIBA, LabRAM HR800,日本)。光源为473 nm波长的激光。精度约为1 cm-1的拉曼光谱在50 cm-1到2000 cm-1的范围内被收集。

图1 NSLN和CLN晶体的紫外吸收光谱。
2.2.2 压电系数的第一性原理计算。本研究中,采用了基于密度泛函理论(DFT)和密度泛函微扰理论(DFPT)的维也纳从头计算软件包(VASP)进行第一性原理计算。价电子通过投影增强波(PAW)方法进行描述。Li 1s2 2s1、Nb 4p6 5s1 4d4 和 O 2s2 2p4 被视为价电子。构建了由120个原子组成的超晶胞,并通过将一个Li原子替换为一个Nb原子、并在一个120个原子的LN超晶胞中去除一个Li原子,构建了Nb4+ Li和V-Li缺陷模型。使用Perdew–Burke–Ernzerhof(PBE)交换-关联泛函的广义梯度近似(GGA)对所有结构进行了完全优化,并计算了它们的电弹性常数。弹性常数cij和压电应力常数eij可以直接通过DFPT方法计算。然后,根据以下公式计算LN的压电系数dij:
2.2.3 多面体畸变分析。为了深入理解LN晶体结构,对NSLN和CLN晶体进行了单晶X射线衍射(XRD)分析。基于获得的晶体结构数据,计算了多面体的畸变。多面体畸变Dd通过公式(2-5)和(2-6)计算得出。图S1(ESI†)展示了MO6多面体的示意图。
其中,M–Oi(i = 1, 2, 3, 4, 5, 6)为键长,yi(i = 1, 2, 3)为键角。
LN晶体的多面体畸变也可以通过偶极矩来反映。键价和Vij的总和通过公式(2-7)和(2-8)进行计算。键价vij表示每个氧原子与中心原子之间的键价,其中r0和b分别表示与原子类型和价态相关的经验常数。常数b的值为0.37,可用于计算键价。对于Nb5+–O2-和Li1+–O2-,r0的值分别为1.911和1.466。rij值为氧原子与中心原子之间的键长。
每个多面体的偶极矩通过以下公式计算:
其中,n表示电子的数量,e表示电子的电荷,Ccharge和Cgrav分别表示电荷中心和重心。
2.3 NSLN和CLN晶体的电弹性常数评估
NSLN和CLN晶体通过X射线衍射晶体方向探测仪(丹东新东方晶体仪器有限公司)进行了定向,精度为小于2000。图S2(ESI†)展示了为评估电弹性常数所准备的不同晶体切割。LN晶体的电弹性常数通过阻抗相位增益分析仪(Keysight E4990A)进行了表征。表S1(ESI†)总结了不同晶体切割及用于评估电弹性常数的相关公式。LN压电晶体有12个独立的非零电弹性常数,包括2个介电常数(eT11/e0和eT33/e0),4个压电系数(d15、d22、d31和d33),以及6个弹性常数(sE11、sE12、sE13、sE14、sE33和sE44)。
2.4 NSLN晶体的高温加速度传感性能评估
本研究根据晶体各向异性原理,为NSLN设计了最佳厚度剪切模式切割 d15 0。实验中使用了两片最佳切割样品。晶片使用细铝土矿粉进行了粗抛光。组装组件由Inconel 316合金构成。此外,使用了一款商业振动传感器(PCB PE 352C22)作为参考传感器,以在室温下校准加速度。基于NSLN的剪切模式加速度传感器原型的传感性能在高达650°C的高温下进行了评估。
- 结果与讨论
3.1 NSLN和CLN晶体的[Li]/[Nb]比
LN晶体是一种具有氧八面体结构的铁电材料,其基本光学吸收边缘可以通过O2− 2p电子到Nb5+ 空轨道的电荷转移动能来确定。因此,配位氧的电子云分布变化将影响吸收边缘的位置。
在离子晶体中,正负离子周围会形成相应的电场,这些电场作为带电粒子相互作用,产生极化效应。因此,吸收边缘的位置与LN晶体中的阳离子种类密切相关。如果杂质阳离子增加了O2−的极化,氧电子云的变形增加,导致电子从O2−的2p轨道过渡到Nb5+空d轨道所需的能量随之增加,进而导致吸收边缘的蓝移。因此,紫外吸收边的位置通常用于精确确认LN晶体中的[Li]/[Nb]比。
图1展示了室温下NSLN(黑线)和CLN(红线)晶体的紫外吸收光谱。吸收边l20定义为当吸收系数a = 20 cm−1时的波长。如图1所示,NSLN和CLN的吸收边分别为311.2 nm和319.5 nm。根据公式(2-1)和(2-2),进一步计算得到本研究中使用的NSLN和CLN晶体的[Li]/[Nb]比为49.83/50.17和48.65/51.35。
3.2 NSLN和CLN晶体的晶体结构分析
3.2.1 拉曼光谱分析
对于铁电材料,压电效应通常由多面体畸变和域壁运动引起,这与固有效应和外部效应相对应。此外,有研究认为,材料压电性能的提高主要与晶体结构内多面体畸变的增加有关。在本研究中,主要目的是深入探讨多面体畸变对晶体材料所展现的压电性能的影响。有报道指出,NbO6八面体的畸变主要表现为NbO6八面体绕a轴的倾斜和沿c轴的旋转。因此,可以推测NbO6八面体的畸变程度可以作为LN晶体压电性能大小的指示。
先前的研究表明,拉曼光谱的振动模式对氧八面体的倾斜和旋转非常敏感。对于LN晶体,强烈的拉曼峰主要由NbO6八面体的振动引起,与LiO6和NbO6振动相关的拉曼峰部分重叠。因此,对NSLN和CLN晶体进行了拉曼光谱分析,以阐明NbO6八面体结构的变化,从而全面表征其畸变情况。
图2 (a) NSLN和CLN晶体在室温下的拉曼光谱,波数范围为50 cm⁻¹至800 cm⁻¹;(b) NSLN和CLN晶体在室温下的拉曼光谱,波数范围为270 cm⁻¹至290 cm⁻¹。
与NbO6八面体相关的拉曼峰强度呈下降趋势,如图2(a)所示。根据先前的报告,随着拉曼峰强度的减弱,压电性能呈现下降趋势。因此,可以推断,Li含量的减少导致NbO6八面体的畸变减弱。因此,CLN的压电性能相比于NSLN晶体较差。这个发现进一步验证了先前的研究结果,其中NbO6八面体的畸变程度是评估LN晶体压电特性大小的主要指标。
3.2.2 压电系数的第一性原理计算。
晶体的宏观性质与其微观结构之间有着密不可分的关系。根据上述发现,LN晶体压电性能的变化主要由于八面体畸变的差异。经过分析,我们初步认为,Li含量的减少导致了晶体结构内的缺陷,特别是Li空位和Nb反位缺陷。这些缺陷导致晶体八面体结构的变形,最终导致其压电性能的变化。因此,我们通过第一性原理计算验证了这些观点。
图3 (a) NbO6八面体的示意图;(b) V-Li周围的八个NbO6八面体的示意图。
NbO6八面体和LiO6八面体是LN晶体中最常见的多面体,它们在共氧平面中连接。在此,以NbO6八面体为例,八面体的畸变Dd主要由Nb原子与其邻近O原子之间的距离和角度决定,如图3(a)所示。通常,八面体畸变越大,晶体的压电性能越强。对于仅考虑Nb4+Li缺陷的分析,观察到新形成的NbLiO6八面体的畸变变化与初始LiO6八面体的变化进行了对比。
对于V-Li缺陷,我们必须考虑V-Li替代引起的八个邻近NbO6八面体的畸变效应,如图3(b)所示。为了确定影响LN晶体压电性能的主要缺陷,我们的初步任务是通过第一性原理计算分析,检查固有缺陷对八面体畸变的影响。计算结果如表S2(ESI†)所示。
结果显示,在化学计量LN晶体中,NbO6八面体的畸变Dd高于LiO6八面体的畸变。因此,我们的初步评估表明,NbO6八面体结构的变形可能在决定LN晶体压电性能中起着关键作用。对于Nb4+Li缺陷模型,NbLiO6八面体取代了LiO6八面体。观察结果表明,与原始LiO6八面体相比,NbLiO6八面体的畸变Dd较小,这表明Nb4+Li缺陷的引入可能会降低LN晶体的压电性能。在单元格内存在V-Li缺陷的情况下,V-Li周围八个NbO6八面体的平均畸变Dd也低于原始的NbO6八面体。因此,V-Li缺陷的存在也对LN晶体的压电特性产生了负面影响。
从前述的计算分析来看,显然这两种缺陷都在减轻八面体畸变,进而影响LN晶体的压电性能。为了更深入地识别影响压电行为的主要缺陷,我们计算了晶体中单一类型缺陷的压电系数。根据表S3(ESI†)中计算的弹性常数cij和压电应力常数eij,计算得到的压电系数dij见表1。此外,NSLN和CLN的实际测量结果如表2所示。鉴于d31和d33的值相对较低,无法充分表征LN晶体的压电性能,因此我们将重点放在更具代表性的压电系数上,即d15和d22。
从表1和表2中提供的压电系数分析可以明显看出,当计算模型中加入V-Li缺陷时,计算得到的压电系数与实际测量值更为接近。因此,LN晶体的压电性能主要受到V-Li缺陷的影响。在V-Li计算模型中,[Li]/[Nb]的比率为48.94 : 51.06。NSLN和CLN晶体的实际测量值分别为49.83 : 50.17和48.65 : 51.35。显而易见,随着[Li]/[Nb]比率的降低,LN的压电性能逐渐下降,表明两者之间存在直接的相关性。
根据[Li]/[Nb]比率和之前报道的计算方法,46 V-Li和Nb4+ Li缺陷的浓度已被计算。在计算过程中,Nb在正常位置的占据为1。根据紫外吸收光谱得到的[Li]/[Nb]的锂含量,可以获得Li在正常位置的占据。因此,Li在异常位置的占据代表了V-Li和Nb4+ Li缺陷的浓度。
表S4(ESI†)显示,随着[Li]/[Nb]比率的降低,V-Li的浓度逐渐增加。从前述分析可以得出结论,随着锂含量的减少,导致[Li]/[Nb]比率降低,V-Li缺陷的数量增加,进而减少了NbO6八面体的畸变。因此,这一系列的变化是CLN晶体压电性能下降的原因。
3.2.3 八面体畸变分析。
根据上述分析,LN晶体的压电特性与其八面体结构的畸变密切相关。通过八面体畸变Dd和偶极矩,可以仔细研究这一关系。因此,进行了NSLN和CLN晶体的单晶X射线衍射(XRD)分析,以进一步揭示NbO6和LiO6八面体畸变的变化。NSLN和CLN晶体的NbO6和LiO6八面体示意图如图4所示。
表S5(ESI†)总结了NSLN和CLN晶体中NbO6和LiO6八面体的键长和键角。根据表S5(ESI†)中的晶体结构数据,利用公式(2-5)和(2-6)计算了NSLN和CLN晶体中NbO6和LiO6八面体的畸变Dd。
所得结果也显示在表S5(ESI†)中。NSLN和CLN的NbO6八面体的畸变Dd值分别为0.8448 Å和0.7884 Å。此外,NSLN和CLN的LiO6八面体的畸变Dd值分别为0.6800 Å和0.7437 Å。在NSLN和CLN中,NbO6八面体的畸变程度超过了LiO6八面体,且NSLN中的NbO6八面体的畸变幅度超过了0.8 Å,属于显著畸变的情况。这一显著特征为NbO6八面体在决定LN晶体的压电特性中发挥的关键作用提供了有力证据,进一步阐明了其在影响材料压电行为中的主导地位。
此外,研究结果显示,NSLN晶体中NbO6八面体的畸变Dd优于CLN晶体中的NbO6八面体,从而使得NSLN的压电性能相比于CLN有所提升。这一差异凸显了NbO6八面体畸变增加与NSLN晶体压电性能提升之间的直接相关性。此外,NSLN和CLN的单位晶胞参数列在表S6(ESI†)中。
与NSLN晶体相比,CLN晶体的单位晶胞参数增大,a轴的晶胞参数从5.1380 Å增加到5.1417 Å,c轴从13.8300 Å增加到13.8520 Å。单位晶胞体积从NSLN的316.18 ų线性扩展到CLN的317.14 ų。这些结果与报道的结果一致。46当Li含量减少时,晶格常数比c/a也有所增加。正如许多材料系统所报道的那样,5,47,48压电性能与c/a相关,且该比值与压电性能呈反比。在本研究中,LN晶体的压电性能也遵循这一变化趋势,CLN晶体的压电性能弱于NSLN晶体。
此外,采用键价法定量化偶极矩的大小,进一步深入了解NSLN和CLN晶体之间压电差异。49,50根据公式(2-7)–(2-9)以及表S5和S7(ESI†)中的数据,我们计算了NSLN和CLN晶体中每个多面体沿不同晶轴的偶极矩,结果如表3所示。从表中的数据可以看出,LiO6八面体的偶极矩较大。然而,通过综合分析,我们推断出NbO6八面体对LN晶体的压电行为有着更为关键的影响。因此,我们的关注转向了NbO6八面体偶极矩的变化,认为这是决定LN压电性能的关键因素。
NSLN晶体中NbO6八面体的偶极矩为4.21665德拜,较CLN晶体中NbO6八面体的偶极矩(4.36196德拜)略小。然而,综合分析表明,NSLN晶体相比于CLN晶体表现出更优越的压电性能。
图4 (a) NLSN晶体的NbO6八面体图;(b) NLSN晶体的LiO6八面体图;(c) CLN晶体的NbO6八面体图;(d) CLN晶体的LiO6八面体图。
因此,借鉴相关研究,46当[Li]/[Nb]比为49.8:50.2时,计算得到的NbO6八面体偶极矩为4.68520 Debye。上述[Li]/[Nb]比与我们研究中使用的NSLN晶体的组成(49.83:50.17)非常相似。因此,我们选择采用先前报告的NbO6八面体偶极矩值,46进一步验证了我们结论的有效性和一致性。因此,NSLN晶体在与CLN相比时表现出显著的压电特性。这一优势主要归因于NSLN晶体结构中V-Li缺陷的减少,从而增加了NbO6八面体的畸变Dd和偶极矩。这些结构特征共同提升了NSLN晶体的压电性能。
3.3 NSLN和CLN晶体的电弹性常数表征
通过阻抗法在室温下测定了NSLN和CLN晶体的相对介电常数、弹性常数、电机械耦合因子和压电系数,结果总结在表4中。
NSLN的压电系数d15、d22和d31,以及电机械耦合因子k15、k21和k31均超过了CLN晶体,表明NSLN具有优越的压电性能。此外,NSLN的d33和k33几乎与CLN晶体一致。此外,NSLN和CLN的相对介电常数e_Tii/e0也展示了与压电系数相同的变化趋势。NSLN的相对介电常数e_T11/e0明显高于CLN,而相对介电常数e_T33/e0接近CLN。值得注意的是,NSLN在室温下的表现突出,d15达到77.6 pC N^-1,k15达到了66.2%,突出显示其卓越的压电性能。总之,与CLN晶体相比,NSLN晶体表现出显著优越的压电特性。
还研究了相对介电常数、介电损耗、电机械耦合因子和压电系数随温度变化的情况,结果如图5所示。图5(a)展示了相对介电常数e_Tii/e0(i=1和3)随温度变化的趋势。NSLN和CLN晶体的相对介电常数e_T11/e0和e_T33/e0随着温度的升高明显增加,体现了其固有的温度依赖介电特性。
如图5(b)所示,介电损耗随着温度从20℃升高到650℃逐渐增加,NSLN晶体的介电损耗明显低于CLN。400℃以上温度下介电损耗的明显增加与电阻率的下降有关,这是由于高温下诱导的晶体缺陷所致。51
NSLN和CLN晶体的电机械耦合因子kij和压电系数dij的温度依赖行为也进行了研究,结果如图5(c)和(d)所示。观察到,电机械耦合因子,特别是k15和k21,随着温度的升高略有下降。相反,电机械耦合因子k31和k33随着温度升高呈上升趋势,如图S3(a)(ESI†)所示。
此外,NSLN和CLN晶体的压电系数d15在20℃时分别为77.6 pC N^-1和66.1 pC N^-1,在650℃时分别略微增加至92.3 pC N^-1和79.3 pC N^-1。压电系数d22也呈现出随温度升高至650℃而增加的趋势。d31和d33的变化趋势与d15相似,如图S3(b)(ESI†)所示。观察到,当温度超过400℃时,d31和d33的绝对值大幅增加,尤其是d31。这可能是由于相对介电常数e_T33/e0的增加所致。
在所有的压电系数中,NSLN的压电系数d15具有最高的幅值,且其平均变化率相对较低,仅为8.6%,如图S5(ESI†)所示,突显了其在高温环境下的优异热稳定性。因此,鉴于NSLN的有利特性,它在压电传感应用领域展现出良好的前景。由于缺陷减少导致移动带电粒子较少,NSLN晶体表现出最小的介电损耗,并在广泛的温度范围内维持出色的压电性能。这些特性组合突显了其在压电加速度传感应用中的高度适用性,并预示着更加光明的未来。
3.4 NSLN晶体的高温加速度传感性能评估
图5 (a) 相对介电常数的变化,(b) 介电损耗的变化,(c) 电机耦合因子的变化,(d) 压电系数的变化,随温度变化的NSLN和CLN晶体的比较。
经过对LN晶体两种不同成分的压电特性进行全面评估,我们的研究结果明确表明,NSLN在整体压电性能方面优于CLN晶体,确认了NSLN在压电加速度传感应用中的优越功能。根据图5(d)和图S3(b)(ESI†)中获得的压电系数,我们计算了NSLN的最稳定有效压电系数d15_0,标记为XZt/1401,如图S6(ESI†)所示。随后,我们通过实际实验验证了这一发现。
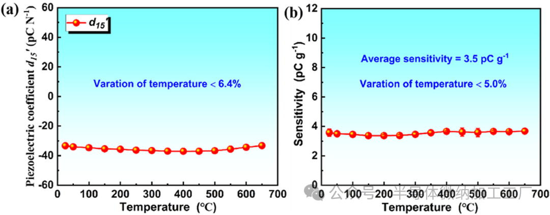
图6 (a) NSLN晶体最佳压电系数d₁₅₀的变化;(b) 基于NSLN的加速度传感器灵敏度随温度变化的关系。
如图6(a)所示,最稳定的有效压电系数d15_0达到了33.2 pC N^-1。值得注意的是,d15_0表现出卓越的稳定性,在温度达到650°C时,其平均偏差小于6.4%。基于最佳晶体切割,我们参考BTS传感器的结构,制作了一个剪切模式加速度传感器原型,并进行了压电灵敏度测试。图6(b)展示了NSLN基加速度传感器在160 Hz下,灵敏度随温度变化的情况。显然,该传感器在室温到650°C的温度区间内,保持了平均灵敏度为3.5 pC g^-1,并且温度引起的平均偏差保持在5%以下。以上结果表明,NSLN晶体在压电加速度传感领域具有广泛的潜在应用。
结论
总而言之,通过拉曼光谱、第一性原理计算和单晶XRD,确定了NSLN和CLN晶体在压电性能上的差异,其中V-Li影响了NbO6八面体的畸变,进而影响了LN晶体的压电性能。对NSLN和CLN晶体在室温下的电弹性性能进行了评估,结果显示,NSLN晶体的d15和d22值分别达到了77.6 pC N^-1和22.8 pC N^-1,分别比CLN高出17.4%和18.1%。此外,比较了NSLN和CLN晶体全电弹性常数的温度依赖性行为。通过使用剪切模式加速度传感器原型评估了NSLN晶体的高温压电性能,结果显示该传感器在高达650°C的温度下仍能保持出色的传感性能,灵敏度为3.5 pC g^-1,变化率小于5%。综上所述,NSLN晶体在与CLN晶体对比时表现出增强的压电性能,具有在高温压电加速度传感应用中的广阔前景。