作者:Alexa R. Carollo,1,2* Jizhao Zang1,2, Atasi Dan,1,2 Grant M. Brodnik1,2, Haixin Liu1,2, David R. Carlson,3 Jennifer A. Black,1 and Scott B. Papp1,2
单位:Time and Frequency Division, National Institute of Standards and Technology, 325 Broadway, Boulder, CO 80305, USA,Department of Physics, University of Colorado, 390 UCB, Boulder, CO 80309, USA,Octave Photonics, Louisville, CO 80027, USA
非线性光学广泛应用于激光生成、复杂材料的光谱分析和光学频率计量等光学应用中。在大体积非线性光学中,材料选择是一个重要的考虑因素,主要是为了实现不同颜色光波之间的相位匹配。与大体积光学相比,集成光子平台提供了增强非线性光学的重要优势,包括更低的光功率要求和构建复杂非线性网络的能力。然而,由于在半导体基板上沉积和图案化薄膜的限制,集成光子学中的材料选择要受限。例如,χ(2)非线性光学的晶体材料很难进行图案化,而薄膜层堆叠的构建需要晶圆键合技术。氮化硅(Si3N4或SiN)是实现χ(3)非线性光学的一个重要集成光子学材料平台。然而,SiN的制造需要高温处理(>1000°C)才能获得最高质量因子[1]。坦塔尔(Tantala)是一种金属氧化物材料,可以像SiN一样进行处理,但其所需的最高处理温度为500°C[2]。然而,由于氧空位缺陷,坦塔尔的光学吸收损耗本质上高于SiN。
划重点--销售晶圆和加工
SINOI晶圆;--超低损耗氮化硅薄膜晶圆,
SICOI晶圆;新型量子光学平台
6寸LTOI晶圆批量供应;铌酸锂的有力的竞争对手,薄膜钽酸锂晶圆
8寸LNOI晶圆;8寸LNOI助力更大规模薄膜铌酸锂产品量产
LN/LT-SOI/Si/SIN W2W&D2W异质集成
划片和端面抛光,减薄和包层CMP抛光,等离子刻蚀和划片,EBL和6寸 150nmDUV加工微纳结构,激光器芯片/探测器芯片/PIC芯片封装耦合服务"
我们为客户提供晶圆(硅晶圆,玻璃晶圆,SOI晶圆,GaAs,蓝宝石,碳化硅(导电,非绝缘),Ga2O3,金刚石,GaN(外延片/衬底)),镀膜方式(PVD,cvd,Ald,PLD)和材料(Au Cu Ag Pt Al Cr Ti Ni Sio2 Tio2 Ti3O5,Ta2O5,ZrO2,TiN,ALN镀膜刻蚀,ZnO,HfO2。al2o3。更多材料),键合(石英石英键合,蓝宝石蓝宝石键合)光刻,高精度掩模版,外延,掺杂,电子束直写等产品及加工服务(请找小编领取我们晶圆标品库存列表,为您的科学实验加速。
请联系小编免费获取原文

我们探索了使用无定形金属氧化物混合物的集成非线性光子学,通过调整材料组成来提供增强的性能。使用离子束溅射(IBS),我们在氧化硅晶圆上沉积了钛酸钽(titania-tantala)混合物,并使用常规工艺纳米加工集成非线性光子学器件。我们的测量表明,钛酸钽微谐振器提供了更高的内在质量因子和较低的光学吸收,同时保持了可比的克尔非线性指数n2。我们的工作受到在引力波探测器中使用钛酸钽镜面获得的较低机械和吸收损耗的启发。我们展示了通过改变组成来增强现有的光子学平台。

图1.
(a) 蚀刻的钛酸钽图像。
(b) 钛酸钽微谐振器的扫描电子显微图(SEM)。
(c) 钛酸钽(紫色)和钽(灰色)微谐振器的内在质量因子(��)。虚线为平均值。
(d) 钛酸钽微谐振器的低功率(虚线)和高功率(实线)传输与激光调谐的关系。
(e) 钽微谐振器的低功率(虚线)和高功率(实线)传输与激光调谐的关系。
为了制造我们的集成光子学器件,我们首先通过离子束溅射(IBS)在室温下将钛酸钽涂覆在氧化硅晶圆上。在IBS沉积过程中,我们使用钽和钛靶材来创建薄膜混合物。我们使用电子束光刻技术和氟气干法反应离子刻蚀来对我们的微谐振器器件进行图案化。图1(a)中显示了一个刻蚀后的晶圆图像。我们观察到,使用铝土矿作为刻蚀掩膜时,刻蚀选择性得到了改善。为了获得最高的质量因子,我们将晶圆在温度范围内进行退火处理。
我们将晶圆切割成约40-50个芯片,每个芯片通常包含42个器件。在图1(b)中,我们展示了一个扫描电子显微镜(SEM)图像,图中为从0.570 µm厚的薄膜中制造的空气包层微谐振器和集成波导耦合器器件。我们按照与空气包层器件相同的程序制造氧化物包层器件,不同之处在于钛酸钽薄膜的厚度为0.800 µm,切割晶圆之前我们会先沉积SiO2,并且我们还会执行额外的退火步骤。
在图1(c)中,我们表征了钛酸钽微谐振器的吸收和散射损耗,并与钽微谐振器进行了比较。我们使用一台可调波长的激光器,波长范围从1520-1600 nm,测量空气包层微谐振器的传输与波长的关系,环半径(RR)为100 µm,环宽(RW)为4 µm。我们将每个共振与模型[4]拟合,以提取内在质量因子(��)。在整个波长范围内,钛酸钽的��高于钽。由于吸收和散射都对��有贡献,我们通过测量热双稳态来补充探测吸收[5]。在图1(d, e)中,我们展示了微谐振器的功率依赖性传输与泵浦激光波长(��)的关系,微谐振器的RR为100 µm,RW为1.5 µm或1.6 µm。虚线为低功率测量,实线为在光学参量振荡(OPO)阈值(约15 mW)下的高功率测量。当我们在高功率下从蓝色到红色波长扫描��时,由于材料吸收,谐振器会加热。加热会导致共振波长从低功率共振波长(�0)发生偏移。实线轨迹的边缘表示高功率共振波长(��),并且偏移量�� = �� − �0,部分是由于吸收引起的。钽材料中的热偏移(图1(e))比钛酸钽中的热偏移(图1(d))大得多,表明由于更高的吸收,温度变化更大。
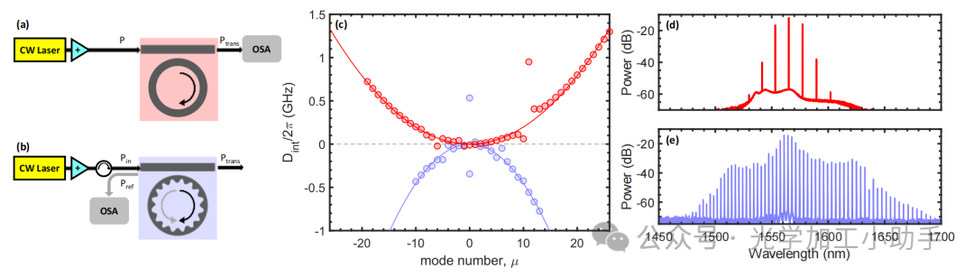
在图2中,我们展示了钛酸钽微谐振器中的非线性特性。在图2(a)中,我们展示了用于在普通环形微谐振器中生成微梳的实验 setup。我们设计了一个氧化物包层微谐振器,RR=100 µm,RW=1.5 µm。制造的设备的集成色散(Dint)作为模式数(µ)的函数,显示在图2(c)中的红色曲线。我们使用1565 nm的放大连续波激光,在阈值附近(约6 mW的芯片功率)泵浦µ=0模式,以生成图2(d)中所示的传输微梳光谱。在图2(b)中,我们展示了用于在光子晶体谐振器(PhCR)中生成微梳的实验 setup。我们设计了一个空气包层PhCR,RR=50 µm,RW=2.1 µm。我们调节环的内半径,将µ=0模式分裂为向前和向后的循环模式[6]。PhCR设备的Dint显示在图2(c)中的淡紫色曲线。我们用大约120 mW的芯片功率在1564 nm附近泵浦红移的µ=0模式,并在反射方向生成图2(e)中的微梳光谱。

图2.
(a) 在普通谐振器中生成微梳的实验 setup 和 (b) PhCR。
(c) 普通微谐振器(RW=1.5 µm,红色)和PhCR(RW=2.1 µm,淡紫色)的Dint与µ的关系。实线为拟合曲线,Dint=0的虚线为参考线。(d) 泵浦普通微谐振器时生成的微梳光谱和 (e) PhCR生成的微梳光谱。
在这项工作中,我们展示了通过改变其组成可以改善钽平台。我们证明了钛酸钽混合物在钽基础上的质量因子得到增强,并且在纳米光子学微谐振器中表现出可比的非线性特性。