非线性光学相互作用在纳米结构中对基础研究和实际应用至关重要。光学克尔效应是一种三阶非线性现象,导致材料在强激光照射下的折射率发生各向异性变化。然而,这种效应本身较弱,限制了其在自由空间纳米光子学中的应用。本研究展示了通过在厚度小于300纳米的介质衍射光栅中引导模共振,光学克尔效应增强了三个数量级以上。研究包括共振硅氮化物交叉光栅的设计、制造和透射率测量,并用短光脉冲照射。随着脉冲功率的增加,观察到谱共振的偏移,导致共振幅度超过50%的调制,并实现了光栅“关闭”与“开启”传输状态之间的动态过渡--。此外,还展示了该光栅在动态脉冲整形中的潜力。这些发现为在自由空间纳米光子学中开发先进的全光器件提供了有前景的途径。
*电子束光刻加工超透镜
*大面积超结构及其他微纳结构加工解决方案
背景:
目前在市场上大家加工超结构的加工方式主要为ebl+干法刻蚀。这种加工方式的优点是,精度高,金属类结构可以达到50nm线宽,氧化物和氮化物可以达到80-100nm的最小线宽。
但是由于采用的方式为电子束光刻的方式,因此成本是巨大的,举例,一个1mm*1mm的图案差不多2-3万元,而一个20*20mm的图案,差不多就要20万元左右。
雪上加霜的是,我们付出了如此大的代价,最后只能得到一个样品,这个样品的宝贝程度不亚于金子,这样我们在做实验的时候,就像拿着宝贝疙瘩一样谨慎、生怕弄坏了。
紫外光刻技术相对于电子束光刻技术,具有较好的量产效率和较低的量产成本。
国内有很多超结构企业,目前遇到的一个核心困境就是国内缺足够的高精度的光刻机 比如几十nm线宽的12寸量产型光刻机,因此国内很多超结构企业的流片都在国外fab厂进行。
针对国内的科研工作者的超结构及其他微纳结构加工难题;
小编正式推出
6寸最小线宽150nm 超结构及微纳结构 镀膜+光刻+刻蚀 一站式服务
采用佳能krf紫外光刻机,最小线宽150nm,比例5:1,成本主要包含 掩模版 镀膜 光刻 刻蚀这4套基本工艺流程,其中最贵的掩模版为一次性投入,其余为做单片时的投入。性价比超高,每次加工可得一整个晶圆 。
当然 ,本方案的缺点在于,设备的最小线宽仅为150nm,更高精度可能还是需要寻求更高精度的光刻机或者ebl加工。
设备:佳能150nmDUV光刻机
尺寸:6英寸
最高可加工精度:150nm
6寸超结构整版加工预计成本:3-6万(单片),
其中掩膜版为一次性投入,后续增加片数仅收取光刻,刻蚀费用。
最大单元尺寸:22*22mm
对准精度:40nm
材料:非晶硅,TiO2,SiO2,LiNbO3,Si3N4 GaN,Ta2O5,Al,Au,GaAs...更多材料体系
应用领域:超结构,光栅,mems,光子集成线路,,,,,,
请联系小编免费获取原文,也欢迎交流半导体行业,工艺,技术,市场发展!

引言
将新型非线性光学材料集成到微型化器件中以进行实际应用的研究正在不断推进。[3,4] 这一进展得益于纳米制造和材料科学的突破,这些进展使得创新材料的发展成为可能,例如金属-介质纳米复合材料[5]和接近零介电常数材料[6],这两种材料因其卓越的非线性光学响应而受到关注。
光学克尔效应(OKE),一种三阶非线性现象,在强激光照射下引起材料中折射率的各向异性变化。[7] 这一效应已经在集成光学中得到应用,发展出了各种组件,包括全光开关、逻辑门和双稳态光学元件。[8–18] OKE也在自由空间衍射元件中得到了探索。[19] 尽管自由空间结构在大规模并行全光信号处理方面提供了显著优势,但由于光-物质相互作用长度本身较短,增强这些结构的非线性信号仍然是一个挑战。
为了克服这些局限性,研究人员集中精力合成具有更强非线性光学响应的材料,并利用光学薄材料中强电磁场的限制。这些目标可以通过先进的材料工程以及利用亚波长衍射结构中的共振来分别实现。[4] 尽管等离子体结构可以增强非线性信号,[20] 但其高欧姆损耗限制了它们的实际应用。相比之下,全介质纳米光子学提供了一个有前景的替代方案,具有微小的损耗和高的损伤阈值。[21–23]
在自由空间全介质结构中,引导模共振(GMR)光栅以其高品质因子(高Q)共振、强电磁场限制和通过精确控制设计参数实现的可调性而有所区别。[24] 最初由Mashev和Popov提出[25,26],随后由Golubenko等人扩展[27],这些结构已被证明在激光谐振腔、窄带滤波器和波长选择性镜中具有重要应用。[28,29] 早期的研究主要集中在静态实现上,但Sharon等人的研究[30]引入了通过二次电光效应实现的动态可调性,为机械和非线性调谐机制的研究奠定了基础。此后,数值研究探索了光学开关和双稳态等现象在基于GMR的器件中的应用[17,31–33],而实验演示则通过在偶氮苯染料中使用缓慢的非线性响应实现了可调GMR[34,35]。数值仿真还揭示了手性GMR光栅在光学克尔效应下用于主动偏振控制的潜力。[36] 此外,Z. Zheng等人引入了一种具有引导模共振的非线性超表面,该共振发生在泵浦波长下,通过增强的四波混频(FWM)实现了宽带红外到可见光的成像。[37]
支持准束缚态的介质和半导体超表面(q-BIC)—引导模共振的一种特定表现—近年来也引起了广泛的研究关注。这一兴趣源自它们高Q共振,这些共振显著增强了局部电磁场密度,并促进了高效的非线性光学过程。Z. Han和Y. Kai的数值研究展示了使用BIC模式在开槽硅圆盘阵列中实现超低功率全光自切换的效果。[38] 在实验上,I. S. Sinev等人观察到在具有q-BIC模式的硅超表面中出现了超快自作用效应,其中非线性折射率和多光子吸收改变了第三谐波生成(THG)效率的缩放行为,从亚立方依赖关系到超立方依赖关系。[39] S. Chen等人引入了一种具有C4v对称性的与偏振无关的q-BIC超表面,利用光学克尔效应和结构不对称性实现了非互易传输、双稳态和光学隔离。[40] 此外,还展示了支持q-BIC共振的硅超表面通过热光非线性驱动的无偏非互易传输。[41]
支持其他类型共振以增强OKE的介质超表面也是活跃的研究焦点。一种基于AlGaAs的介质超表面,具有高Q非局部共振,已实现通过自由载流子非线性介电常数调制实现的超快二向色性和双折射调制,调制发生在带边附近。[42] 类似地,利用低阶Mie共振的硅纳米盘超表面促进了环形腔光纤激光器中的被动Q调制。[43] 对各种孔形的介质纳米孔阵列超表面的数值仿真揭示了反偶极态在提高有效非线性克尔系数方面的作用,能够比无结构薄膜提高三个数量级。[44] 此外,设计支持GMR和对称保护BIC的小频率调谐的介质光栅中的OKE增强,已被证明在光学存储和双稳态操作中具有重要应用。[45]
在本研究中,我们展示了首次在GMR光栅中进行超快非线性光学调制的实验演示。我们的结果表明,通过光学克尔效应(OKE)引起的共振峰偏移,整个光谱范围内的共振幅度调制超过50%,实现了光栅“开启”和“关闭”传输状态之间的动态切换。为此实验,我们制造了一种由方形柱状体组成的光栅,这些柱状体按方形晶格排列,使用低损耗的SiNx材料,该材料在相关光谱范围内表现出适度高的固有自散焦非线性。实验结果得到了全面数值仿真的支持。
我们还采用半解析方法来阐明波导增强的非线性光学效应及相关共振峰偏移的机制。为了进一步理解GMR增强的OKE的来源,我们可视化了结构内的电场和介电常数分布。此外,我们还展示了这种光栅结构在全光脉冲整形和非线性材料表征中的潜力。
结果
2.1. 半解析模型
我们首先推导一个半解析模型,以阐明引导模共振(GMR)光栅中的非线性光学调制机制。图1a展示了光栅的示意图,光栅在波导层的顶部是一个交叉表面起伏的二元光栅。入射介质和衬底区域由具有折射率n1(空气)和n3(熔融石英)的均匀材料组成。光栅和波导均由硅氮化物(SiNx)材料制造,具有折射率nwg。光栅沿x轴和y轴具有周期性dx和dy,填充因子fx和fy,分别对应x轴和y轴。顶部的光栅衍射入射光,将其引导到下方平面波导中的离散模式。衍射与波导模式之间的相互作用引发共振行为,表现为传播波振幅的快速变化。[24]
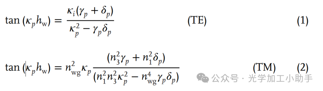
GMR共振的共振最大值(或最小值)的光谱位置,可以通过研究未扰动的平板波导的波导模式来定性解释,平板波导的厚度为hw。[46] 对于这样的平板波导,模式可以分为TE(TM)模式,其中E场(H场)垂直于传播方向。[47] 支配TE和TM偏振平板波导模式的特征方程可以表示如下:

在方程(1)和(2)中,𝜅p = (n2_wg𝜅0^2 − 𝛽p^2)^(1/2),𝛾p = (𝛽p^2 − n1^2𝜅0^2)^(1/2),和 𝛿p = (𝛽p^2 − n3^2𝜅0^2)^(1/2) 分别表示波导层、超层和衬底中的传播向量的横向分量。这里,𝜅0 = 2𝜋/𝜆0 是波数,𝜆0 是空气中的波长。支配平板波导模式的传播常数(𝛽p)可以通过求解方程(1)和(2)来确定。平板波导模式的有效折射率,np_eff = 𝛽p/𝜅0,由引导层及其周围介质的性质决定。在我们的结构中,SiNx引导层的厚度为hg = 243 nm,其折射率(nwg ≈ 1.98)来自图S3b(支持信息)中的椭偏测量数据。引导层位于熔融石英衬底(n3 = 1.45)和空气(n1 = 1.0)之间。该平板波导支持一个TE模式(基模TE或TE0)和一个TM模式(基模TM或TM0),其有效模式折射率分别为nTE_eff0 = 1.76和nTM_eff0 = 1.66。

图1. GMR光栅的几何结构。
a) 一个光学脉冲从空气中入射到光栅的三维透视图。一个光栅周期用虚线矩形突出显示,材料及其在𝜆0 = 745 nm下的折射率,以及光栅尺寸,均在插图中提供。
b) 侧视图,显示波矢𝜿0沿正z轴方向,电场(E)沿y轴偏振。
c) 制作的GMR光栅的扫描电子显微镜(顶视图)图像。
分别地。当光栅的衍射与入射波的切向波数对齐时,会观察到共振异常,这与平板波导模式的传播常数相匹配。这个条件通常被称为相位匹配条件,通常可以表达为:

其中,衍射级数(m, n)代表顶部光栅的特征,𝜅xm 和 𝜅yn 分别是沿x轴和y轴衍射的光的波数。在图1中,示意图描绘了光从空气中垂直入射到GMR光栅的情况,其中xz平面被指定为入射平面(POI)。入射光被认为是s偏振光,电场矢量(E场)平行于y轴,如图1b所示。对于谐波波的垂直入射,方程(3)可以重新写为:

TE0波导模式沿±x方向传播,对于(m, n)=(±1, 0)时被激发。共振的相应光谱峰位置,𝜆TE0 = 787.83 nm,可以通过在方程(4)中使用nTE_eff0 = 1.76来确定。类似地,(m, n)=(0, ±1)衍射级数激发TM0波导模式,在𝜆TM0 = 744.55 nm时沿±y方向传播。方程(4)说明了波长、光栅周期和折射率等各个参数对GMR光栅共振的影响。波导模式折射率np_eff与波导材料的折射率nwg之间的直接关系表明,通过轻微改变波导材料的折射率,可以调节光栅的共振。GMR的非线性光学调制源于折射率的强度依赖性变化。对于一个在线性范围内各向同性的介质,频率为𝜔的克尔效应可以通过以下公式描述[7]:

在这里,Pi_NL 和 Ej 分别表示电极化分量和电场分量,下标标识了笛卡尔实验室坐标系的轴。𝜒ij(Kerr)表示由以下公式定义的有效易感性张量:

它也包括了线性贡献。在方程(6)中,ℜ表示实部。

其中,𝜒ijkl ≡ 𝜒ijkl(3)(𝜔 = 𝜔 + 𝜔 − 𝜔) 是三阶易感性张量的分量。在这里,我们选择方向的标记方式,使得1表示x方向,2和3分别表示y和z方向。有效介电常数张量和各向异性有效折射率n(Kerr)wg,ij 可以通过 n(Kerr)wg,ij = √𝜀(Kerr)ij 进行评估。方程(8)表明,尽管材料在线性范围内是各向同性的,但光与物质之间的非线性相互作用会引发类似于线性光学介质中各向异性行为的效应。具体而言,在自散焦光学克尔效应的情况下,当I1 > I0时,nwg(I1) < nwg(I0),这表明随着入射光束强度的增加,材料的折射率减小。因此,这一现象导致了共振峰位置的蓝移。
需要强调的是,为了准确估计共振峰的偏移,必须通过对GMR衍射问题的严格求解,精确确定波导层内的模场。此外,在特定范围的入射光强度下,GMR可能表现出光谱双稳态响应,这需要进一步研究。
方程(6)和(8)适用于任何入射电磁波的任意偏振状态,这与线性偏振光的情况不同,在线性偏振光的情况下,光学克尔效应可以通过以下方式充分描述:


在这里,nnl_wg 表示材料的非线性折射率,可以取正值(自聚焦型光学克尔效应)或负值(自散焦型光学克尔效应),I 是光强。
2.2. 全波数值仿真
全波数值仿真是使用基于傅里叶模方法(FMM)的内部程序进行的,该方法专门用于由具有克尔型非线性材料组成的光栅。[49] 虽然光栅材料SiNx在线性范围内是各向同性的,但入射光由于光学克尔效应而引发各向异性。为了解决这个问题,在仿真中采用了FMM的各向异性版本,假设各向异性的唯一来源是光学克尔效应和光栅的结构。
在FMM的标准线性实现中,光栅区域沿光的名义传播方向(z轴)被划分为有限数量的子区域。在每个子区域内,介电常数被视为沿z轴不变,并且它在xy平面上的横向分布通过傅里叶级数展开。光栅模式是在每个z不变层上计算的,并通过递归的S矩阵算法确定其复振幅。这个算法通过在层之间的界面施加电磁边界条件来连接各层之间的模式。[48]
为了将光学克尔效应引入傅里叶模方法,在每一步中逐步增加入射光的强度,直到达到最终目标,同时在每步中迭代更新光栅周期内的介电常数分布。在每次迭代中,使用快速傅里叶变换(FFT)在nx × ny × nz的3D网格上评估电场分量,利用计算出的光栅模式的复振幅。在每个网格点上,有效的易感性是从前一迭代中获得的电场分量推导出来的,并在后续迭代中更新,直到数值收敛。使用z扫描技术测量的SiNx的三阶非线性易感性𝜒(3)用于这些非线性FMM仿真。此外,假设SiNx中的非线性源自束缚电子对施加的电磁场的响应。因此,方程(8)中采用了B′/A′ = 2的比例,正如参考文献中所建议的。[7] 数值程序的详细数学框架可参见参考文献。[49]
数值仿真中使用的光栅周期(dx = dy = 451 nm)、填充因子(fx = fy = 0.46)、光栅层厚度(hg = 243 nm)和引导层厚度(hw = 47 nm)基于所制造的结构。图2a展示了不同入射光强度(I)的共振光栅的数值仿真透射光谱。该图展示了随着I增加,共振最小值的光谱位置如何向更短的波长移动。为了更详细地查看这些共振偏移,图2a中虚线框所围区域的部分被放大,并在图2b中呈现。图2a中分别用黑色和红色箭头标记了光强度I1 = 37 MW cm−2和I2 = 333 MW cm−2下的共振最小值的光谱位置。

图2.
a,b) 光栅的衍射效率光谱在直接透射下,针对不同强度的y偏振入射平面波,通过全波数值仿真获得。图(a)和(b)中的图形展示了共振光谱随着光强度增加而向短波长移动的情况。图(a)中的黑色和红色箭头分别表示波长𝜆1和𝜆2。
c–h) 光栅内一个周期的电场强度分布。
(c)–(e) 在结构中心的yz截面平面中的场强图,(f)–(h) 在波导层中部的xy截面平面中的场强图。
为了更好地理解GMR光栅的非线性光学调制动力学,我们首先通过可视化光栅内部的电场来进行分析。图2c–e展示了yz截面平面内光栅中的电场,这些平面在x = 0(方形柱的中部)处取样,针对y偏振的入射光。色彩图的范围在“0”和“600”之间,以便最佳可视化,清晰地展示了场分布。白色虚线框内的区域标记了一个光栅周期。图2c中的结果是在入射光强度I1 = 37 MW cm−2下,入射光的波长设置为𝜆0 = 𝜆1(由图2a中的黑色箭头标记)。图2(d)中展示了I2 = 333 MW cm−2下的类似图。与图2c中的场相比,图2d中观察到较弱的场限制。这可以归因于在较高光强(I2)下,𝜆1的共振幅度减小。然而,观察在𝜆2(由图2a中的红色箭头标记)下的场分布时,该波长对应于偏移后的共振峰位置,我们在图2e中观察到场限制的完全恢复。图2f–h展示了在波导层中部设置z坐标时,xy截面平面中的电场。这些xy图提供了有关波导层内场分布和模式传播方向的有价值信息。结果表明,TM0模式沿±y方向传播。

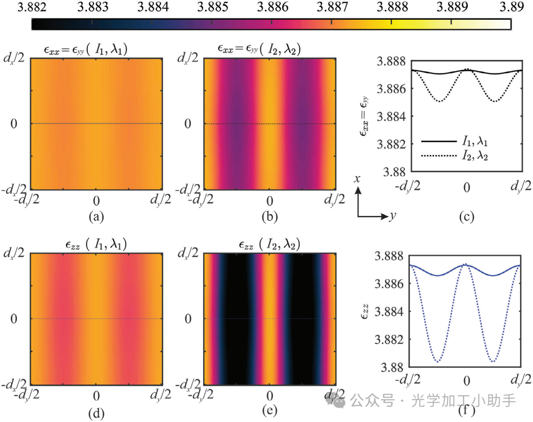
图3. 介电常数张量分量𝜀(Kerr)_ij在波导层中部xy截面平面中的分布。
(a) 和 (b) 中为张量分量ϵxx = ϵyy的图,
(d) 和 (e) 中为ϵzz的图,计算了一个光栅周期内的分布。
(c) 和 (f) 显示了沿y方向的介电常数图的线扫描,来自图(a)、(b)、(d)和(e)。
为了说明引导模增强的克尔效应和光诱导的各向异性,我们在波导层中部展示了xy截面平面上的介电常数图。图3a–f展示了使用FMM方法计算的光栅一个周期内的介电常数分布。[49] 在图3a,d中,给出了有效介电常数张量𝜀(Kerr)_ij的对角分量,即ϵxx = ϵyy和ϵzz,针对入射光强度I1 = 37 MW cm−2和共振波长𝜆1。这些图揭示了介电常数分量的最小变化,ϵzz(图3d)表现出相较于ϵxx = ϵyy(图3a)更强的变化。这可以归因于在共振时,E场在z分量上的强度大于在x和y分量上的强度,进而对方程(6)中ϵzz的第二项贡献更为显著。此外,ϵxx = ϵyy来自方形结构中的场对称性以及光物质相互作用中的对称性(正常入射)。在图3b,e中,展示了入射光强度I2 = 333 MW cm−2和偏移后的共振峰波长𝜆2下的ϵxx = ϵyy和ϵzz的图。图3a–e中所示的在一个光栅周期中的ϵxx = ϵyy和ϵzz的变化被绘制在图3c,f中,分别对应于各自的情形。为清晰起见,图S8(支持信息)中呈现了相对于线性介电常数值,即Δϵzz,在光栅周期内的光诱导局部变化。这些结果揭示了介电常数值的最大变化量在图3d,e中的变化级别相差一个数量级。此外,通过比较图S8b,c(支持信息),可以观察到ϵzz的最大三数量级变化,后者是在波长𝜆3 = 750 nm下生成的,远离共振。这些在一个光栅周期内的介电常数变化强调了克尔效应与引导模共振之间复杂的相互作用,推动了这些各向异性变化的发生。
2.3. 制造与实验设置
GMR光栅是通过电子束光刻和反应离子刻蚀技术制造的,采用了在1毫米厚的熔融石英衬底上沉积的SiNx薄膜,制作了一个方形排列的SiNx柱状阵列。图1c展示了光栅的扫描电子显微镜(SEM)顶视图。详细的制造过程可以在本文的实验部分以及S4节(支持信息)中找到。

图4.
a) 实验设置示意图。SMF为单模光纤,L为透镜,ND为可调中性密度(ND)滤光片,LP为线性偏振片,M1-M4为镜子,A1-A2为孔径,HWP为半波板。
b) 正常入射的透射率。黑色和红色线条分别代表数值仿真和实验结果。实线图为脉冲的低平均功率(Pavg = P1 = 0.5 mW)下获得的结果。虚线图为Pavg = P2 = 4.5 mW下的结果。P1和P2的共振最小值分别用黑色和红色箭头突出显示。
c) 共振最小值的光谱位置与脉冲的平均功率(Pavg)的关系图。红色方块和黑色圆圈分别对应实验和数值仿真结果。
d) 相对于参考位置𝜆1(在面板b中由黑色箭头标记)的共振最小值的相对偏移。误差条是假设Pavg波动10%的情况下计算的。
为了实验性地演示GMR的非线性光学调制,我们选择了与引导层中TM0模式激发对应的较短波长共振。脉冲的峰值波长通过光学参量放大器(OPA)调节至大约共振波长𝜆1 = 744.6 nm。脉冲持续时间为𝜏 = 158 fs,激光重复频率为1 kHz。脉冲的详细光谱和时间特性请见S2节(支持信息)。入射到光栅的扩展且准直的光束具有1/e²直径为3.2毫米。光栅的透射率是通过光谱分析仪(OSA)测量的,分析仪通过单模光纤(SMF)连接。用于传输测量的实验设置示意图(采用飞秒激光脉冲)如图4a所示。
SiNx的波长依赖折射率(nwg)是通过椭偏仪测量的(详见S3节,支持信息)。SiNx的三阶易感性𝜒(3)是通过定制的z扫描装置测量的(细节见S1节,支持信息)。
2.4. 实验结果与分析
GMR光栅在直接透射下的衍射效率图,横坐标为空气中的波长(𝜆0),纵坐标为两种不同入射光平均功率下的衍射效率,P1 = 0.5 mW(实线)和P2 = 4.5 mW(虚线)。这些功率分别对应于脉冲峰值强度I1_p = 37 MW cm−2和I2_p = 333 MW cm−2,与图2中显示的数值仿真结果(橙色和紫色线)一致。黑色线条代表数值仿真结果,而红色线条则对应实验结果,如图4b所示。数值仿真假设入射的是谐波(平面)波,而实验使用的是脉冲激光。尽管存在这一差异,但比较结果仍然有效,因为OKE的显著增强仅发生在由共振的半峰宽度定义的狭窄光谱带内,这主要影响光栅的功率依赖透射率。不同激光脉冲平均功率下的完整实验结果可在S5节(支持信息)中找到。
与数值仿真相比,共振的减少归因于多个因素,包括有限的光束尺寸、脉冲光的空间相干性降低、制造缺陷、散射损耗、OSA和SM光纤的分辨率限制,以及由于双光子吸收(TPA)引起的非线性光学损耗。SiNx的TPA系数𝛽TPA也通过z扫描测量,结果见S1节(支持信息)。数值仿真中P1和P2的共振最小值的光谱位置分别标记为𝜆1和𝜆2,这些位置在图4b中由“黑色”和“红色”箭头指示。在𝜆2处,观察到衍射效率的相对变化超过50%,有效地使光栅在传输“开启”和“关闭”状态之间切换。
共振最小值作为脉冲激光输入的平均功率(Pavg)的函数绘制在图4c中,最低功率为Pavg = 0.5 mW。数值仿真和实验均表现出共振的蓝移,这是由于TM0模式有效折射率的降低,正如方程(4)和(9)所解释的。数值和实验共振最小值位置之间的显著差异归因于制造缺陷,如圆角和光栅周期的局部变化,以及用于确定光栅参数的设备所带来的测量不确定性。为了比较克尔非线性引起的共振最小值的偏移,参考Pavg = 0.5 mW时的共振最小值光谱位置,图4d绘制了相对偏移(Δ𝜆peak)。测量中的误差条反映了脉冲峰值波长和功率的不确定性。图4d中可以看到数值与实验结果之间的良好一致性。
2.5. 动态脉冲整形
我们探讨了GMR器件通过利用光栅内增强的光学克尔效应来塑造时域光脉冲的能力。数值仿真覆盖了从0.2 ps到3 ps的脉冲持续时间范围,如图5a–f所示。传输脉冲的光栅响应在线性和非线性区域内进行分析,假设每个脉冲持续时间的脉冲峰值功率保持不变。调制脉冲的电场可以使用以下公式计算:

在这里,Ein 和 Eout 分别表示与入射脉冲和传输脉冲相关的电场。𝜂GMR 表示光栅在频域中的响应。图5a–f中显示的时域图是通过对方程(10)进行傅里叶变换得到的,假设入射脉冲的峰值频率由𝜔2 = 2𝜋c/𝜆2给出。实心黑线表示入射脉冲,而实心和虚线红线分别对应于两种不同峰值功率的传输脉冲,P1_p = 2.97 MW 和 P2_p = 26.77 MW。值得注意的是,对于最短脉冲持续时间𝜏 = 0.2 ps,由GMR增强的克尔非线性引起的自相位调制效应并未导致两种不同峰值功率的入射脉冲在传输脉冲之间产生显著差异。这是因为脉冲光谱相比于共振光谱要宽得多。因此,非线性引起的变化仅影响入射脉冲的一个狭窄光谱窗口。然而,随着脉冲持续时间的增加,导致脉冲光谱变窄,对于峰值功率P1_p和P2_p的传输脉冲之间出现了明显的区别。具体来说,对于𝜏 = 3 ps,观察到了最大差异,其中GMR增强的自相位调制几乎导致了脉冲的分裂。
结论与讨论
总之,我们展示了首次在衍射光栅中对引导模共振进行超快非线性光学调制的实验演示。该光栅使用兼容CMOS的低损耗SiNx材料制造,与相同厚度的裸膜相比,光学克尔效应增强了三个数量级以上。我们的实验结果揭示了整个光谱范围内超过50%的共振幅度调制,归因于克尔非线性引起的共振峰偏移,从而实现了“开启”和“关闭”传输状态之间的全光切换。这些发现通过全面的数值仿真和半解析方法得到了验证,以便定性理解。通过可视化光栅内部的场和介电常数分布,进一步阐明了GMR增强的光学克尔效应的来源,导致了强大且可调的光诱导各向异性。此外,我们展示了GMR增强的光学克尔效应在全光调谐脉冲整形中的潜力。
我们观察到,光学克尔效应的强度,通过共振深度的光谱偏移来表示,与裸SiNx薄膜的z扫描测量结果高度一致。这个发现突出了使用引导模共振(GMR)增强的光学克尔效应(OKE)作为非线性光学材料表征的替代方法的潜力。与传统方法不同,例如需要紧密聚焦脉冲光的z扫描技术,这可能会导致局部加热或损伤,GMR增强的OKE方法允许使用准直光束进行测量,显著减少了材料损伤的风险。
本研究为在全介质光栅中利用克尔型非线性效应开辟了新的途径,为高分辨率非线性成像的进展铺平了道路,其中增强的响应改善了对比度和灵敏度,并且在激光工程中,精确的光物质相互作用至关重要。这些发现对全光信号处理也具有重要意义,因为它要求快速、可调、低功耗的组件。能够使用全介质材料动态调制光而不会产生高损耗,为开发下一代光子器件和系统提供了有前景的方向。
实验部分
全波数值仿真:全波数值仿真是使用定制的傅里叶模方法(FMM)程序进行的,该程序专门设计用于由克尔型非线性材料组成的光栅。[49] 虽然SiNx在线性范围内是各向同性的,但入射光引发的光学克尔效应会引入各向异性。这种行为通过各向异性FMM方法捕捉,其中OKE和光栅结构共同作用于各向异性响应。入射强度逐步增加,介电常数在每个步骤中迭代更新。电场分量在201 × 201 × 58的3D网格上计算,并使用快速傅里叶变换(FFT),有效易感性通过迭代方式得到。沿x和y方向使用了29个傅里叶谐波,以确保收敛。SiNx的三阶非线性易感性𝜒(3),通过z扫描技术测量,被纳入其中,假设非线性来自束缚电子的响应,方程(6)中的比例为B′/A′ = 2。
光栅的制造:GMR器件使用电子束图形化和反应离子刻蚀技术制造,SiNx薄膜沉积在1毫米厚的熔融石英衬底上。首先,衬底使用丙酮和异丙醇清洗,然后用去离子水冲洗,并用氮气枪干燥。接下来,衬底的顶部表面使用氧等离子体清洗,然后用等离子体增强化学气相沉积(PECVD)技术沉积290 nm(±10%)厚的SiNx薄膜,气体混合物为2% SiH4/N2:NH3 = 100:3。在沉积过程中,CVD室的温度和压力分别固定在300°C和1000 mTorr。然后,使用电子束辅助蒸发法在SiNx薄膜上沉积50 nm的铬层,接着旋涂一层正电子束光刻胶AR-P 6200(约220 nm厚)。在150°C下烘烤3分钟去除溶剂。接下来,使用Raith电子束光刻仪EBPG-5000+图案化光栅槽。图案化后,使用乙基3-乙氧基丙酸酯开发光刻胶。开发过程通过以4000 rpm旋转60秒来完成。开发后,使用Cl2(54 sccm)和O2(4 sccm)气体混合物在Plasmalab 100中刻蚀铬,持续3分30秒,使用AR-P 6200作为刻蚀掩膜。然后,用O2清洗去除残余的光刻胶层,持续30秒。SiNx刻蚀是在Plasmalab 80中进行的,使用CHF3/O2 = 45/10 sccm的气体混合物。然后,使用商业湿法蚀刻剂Etch18去除铬,并用去离子水冲洗,最后用氮气枪干燥。制造流程图见图S2(支持信息)。
实验程序:光栅透射率通过使用飞秒脉冲激光在不同的平均功率下进行表征,峰值波长通过光学参量放大器(OPA)设定为744.6 nm。脉冲的时间持续、光谱半峰宽度(FWHM)和相位分布通过商业的GRENOUILLE设备确定。[50] 脉冲的详细光谱和时间特性见S2节(支持信息)。OPA光束经过滤波、扩展和准直后,通过CCD相机估算其1/e²直径。使用线性偏振片(LP)和半波片(HWP)控制光偏振。光栅通过y轴偏振的光脉冲激发。传输信号通过短焦距透镜和单模光纤路由到光谱分析仪(OSA),并使用可调中性密度(ND)滤光片进行信号衰减,以减轻光纤本身可能产生的非线性光学效应。使用光谱椭偏仪(Semilab SE-2000)测量SiNx薄膜的折射率和厚度,光谱范围为190至2500 nm。关于椭偏测量和拟合程序的更多信息见S3节(支持信息)。z扫描测量用于评估SiNx的三阶非线性光学易感性(𝜒(3))。使用相同CVD配方沉积的更厚的SiNx薄膜(1.2 μm)用于z扫描程序。关于“z扫描”程序的详细信息,以及实验数据拟合方法以提取𝜒(3),可以在S1节(支持信息)中找到。