上海奥麦达微电子有限公司

专业高效
微纳加工公司

SAW器件+Quartz-LN晶圆--以键合到石英上的铌酸锂(LiNbO₃)晶圆作为高频宽带声表面波器件的衬底

娜塔莉亚・瑙缅科(Natalya Naumenko)
俄罗斯国立科技大学 “莫斯科钢铁合金学院”(National University of Science and Technology “MISIS”)
莫斯科,俄罗斯

摘要——将薄铌酸锂(LiNbO₃)板与石英衬底键合而成的晶圆作为高频宽带声表面波(SAW)器件的潜在衬底材料进行了数值研究。对传播速度高达7000米/秒的纵向泄漏波进行了研究,并对多层结构进行了优化,以使其兼具高速度、高机电耦合以及可忽略不计的传播损耗等特性。在优化后的结构中,无衰减波能够以5500 - 6200米/秒的速度传播,且耦合系数可达18%。声表面波(SAW)谐振器模拟导纳的示例表明,在某些最优的铌酸锂/石英(LiNbO₃/quartz)结构中,如果电极结构的占空比在0.48到0.65之间变化,那么在谐振频率和反谐振频率下可同时实现高品质因数(Q > 5000)。由于最优的板厚和电极厚度分别达到波长的40%和5%,所发现的这些结构可应用于高达5吉赫兹的高频声表面波(SAW)谐振器中。 关键词——宽带声表面波滤波器、多层结构、铌酸锂、高频谐振器
划重点
XYZ切 POI wafer,LN/LT-SIC/Si/热氧片供应,
膜厚均匀性+-5nm

我们常见的键合技术 有硅玻璃键合 金金键合,金锡键合,金硅键合,临时键合等等 。但是当我们遇到一些需要低温键合,或者一些特殊材料时,或者应用场景时,上述键合方式很难满足一些特殊场景的应用,

因此科学家提出了表面活化键合技术,这种技术 使键合技术所覆盖的材料范围更加广泛,比如

GaAs-SiC,InP-Diamond, LN-SiC,Si-Si,GaN-Dlamond,Sl-Diamond,蓝宝石-蓝宝石,金刚石-sic, sic-inp,sic-LN, ic-ga2o3,glass--glass,Si-SiC,Si-GaAs、GaAs- SiC、Si–SiC、SiC–SiC、Ge–Ge  、Al 2 O 3 -Al 2 O 3 ,GaP-InP, GaN-Si、LiNbO 3 -Al 2 O 3 、LiTaO 3 -Si and more(晶体,陶瓷,等等)

扩展的多材料的体系,将键合技术扩大了应用范围

*MEMS传感器             *光子集成电路                   *半导体激光器

*功率器件                        *3D封装                        *异质集成

微信图片_20241209081439

划重点--代工,代工,代工,卖设备

我们为客户提供晶圆(硅晶圆,玻璃晶圆,SOI晶圆,GaAs,蓝宝石,碳化硅(导电,非绝缘),Ga2O3,金刚石GaN(外延片/衬底)),镀膜方式(PVD,cvd,Ald,PLD)和材料(Au Cu Ag Pt Al Cr Ti Ni Sio2 Tio2 Ti3O5,Ta2O5,ZrO2,TiN,ALN,ZnO,HfO2。。更多材料),键合(石英石英键合,蓝宝石蓝宝石键合)光刻,高精度掩模版,外延,掺杂,电子束直写等产品及加工服务(请找小编领取我们晶圆标品库存列表,为您的科学实验加速

激光器芯片/探测器芯片/PIC芯片封装耦合服务"

请联系小编免费获取原文,也欢迎交流半导体行业,工艺,技术,市场发展

微信图片_20241209081443
一、引言
下一代通信系统对高性能声表面波(SAW)滤波器提出了强烈需求。向更高频率发展以及工作频段密度不断增加的总体趋势,对带外抑制和更陡峭的带通裙边提出了严格要求,以便对相邻信道的信号进行隔离。此外,多种应用导致了滤波器性能的多样化,仅采用常规衬底材料无法满足这些需求。因此,近年来,多层结构作为单晶衬底的替代方案得到了广泛研究。 本文重点在于寻找一种适用于高频宽带声表面波(SAW)滤波器的多层衬底材料。例如,要实现具有宽调谐范围的可调谐滤波器就需要这样的衬底[1]。工作在5吉赫兹或更高频率的宽带声表面波(SAW)滤波器需要既能结合高机电耦合系数又能具备高声波速度的衬底材料。与其他声表面波(SAW)材料相比,铌酸锂(LiNbO₃,简称LN)能实现最高的机电耦合。如果对LN的取向进行优化以支持高速声表面波(SAW)的传播,它可能会是一种不错的衬底材料选择,但一般来说,这类波会强烈地泄漏到衬底中并发生衰减。结果导致插入损耗增加,声表面波(SAW)器件的品质因数(Q因子)降低。 如果将声波限制在薄LN板内传播,泄漏现象是可以被抑制的。角田(Kadota)[1]利用在薄ZX - LN板中传播的一阶反对称模式A1来设计并制作了带宽为12%的5.44吉赫兹兰姆波(Lamb wave)谐振器。由于板厚仅为395纳米,即0.15λ(λ为声波波长),在兰姆波谐振器中测得的有效速度超过了11000米/秒,耦合系数k² = 20.3%。然而,这种极薄的板并不适合用于高频谐振器的大规模生产,因为它们很脆弱。 将LN板直接或通过中间层与支撑衬底键合,可以提高声表面波(SAW)谐振器的机械稳定性。在这种被称为“固态安装(Solidly Mounted,简称SM)型”[2]或“异质声层(Hetero Acoustic Layer,简称HAL)”[3 - 4]的多层衬底上制作的谐振器中,声波的特性会随着板厚和电极厚度的变化而改变。一些研究小组已经将带有LN板的多层结构作为高性能宽带声表面波(SAW)滤波器的潜在衬底进行了研究[2 - 5]。 当沿着多层结构表面传播的声波速度比衬底材料中的至少一种体声波(BAW)速度快时,它就会泄漏到支撑衬底中并发生衰减。因此,通常会在板和衬底之间引入由几个交替的高、低声阻抗层组成的反射器来抑制泄漏。在[6]中研究了具有低速或高速衬底的键合晶圆中的损耗机制以及隔离层对波结构和泄漏的影响。 角田(Kadota)[2]报道了一种采用水平剪切(SH)型波的、带有三个谐振器的SM型梯形滤波器。该滤波器是在键合到玻璃衬底上的YX - LN板上设计并制作的,通过设置足够数量的交替SiO₂和AlN层来抑制SH波向玻璃中的辐射,并对其厚度进行优化,从而在谐振频率和反谐振频率之间获得了无杂散的纯净响应。由于铂(Pt)和金(Au)金属的高密度,它们作为电极在谐振器中提供了足够的反射率。在[3]中报道的类似SM型或HAL型器件中,将3.6微米厚的LN板键合到硅衬底上,它们之间有六个隔离层。尽管制作出了带宽实测为20%的高性能梯形滤波器,但由于现有技术对最小电极宽度的限制以及SH模式的低速(3650 – 3830米/秒),所描述的多层结构无法应用于高频谐振器。 五味(Gomi)[4]研究了在键合到蓝宝石或AT - 石英衬底上的X,Y + 36° - LN中传播的高速纵向泄漏声表面波(LLSAW)。在LN板厚为0.2λ的谐振器中,获得了高速(V = 6400米/秒)和高耦合(k² = 19.7%)的特性,但LLSAW向衬底的泄漏并未得到抑制,声表面波(SAW)谐振器的Q因子过低,使得该结构无法应用于高性能声表面沃(SAW)滤波器。 木村(Kimura)[5]通过优化LN的取向并使用铂(Pt)作为高阻抗层(而非AlN),使得在速度V = 6035米/秒、k² = 24.7%、工作在3.5吉赫兹、分数带宽为9.5%的SM型谐振器中,LLSAW的阻抗比达到了71分贝。然而,尽管有五个隔离层,泄漏现象仍未完全被抑制,实测的Q因子(Q = 665)也不高。 在上述多层结构中,通过在LN板和衬底之间引入反射器来抑制LLSAW的泄漏。还有另一种抑制泄漏的方法。它考虑了组合材料的对称性及其各向异性。通过对谐振器导纳进行严格的数值模拟,并将传播损耗作为衬底取向、板厚和金属厚度的函数进行提取,再结合对称性考虑,最近已成功应用于LT/石英(LT/quartz)结构中LLSAW的优化,并在Q因子高达104的谐振器中找到了以约5500米/秒的速度传播且机电耦合系数为6.8%的无衰减声波。以下将同样的方法应用于LN/石英(LN/quartz)结构。
微信图片_20241209081445
图1. 在(0°,θ,90°)-石英中三种体声波(BAW)的极限速度(VB1 - Q < VB2 - Q < VB3 - Q)以及在(0°,θ,90°)-铌酸锂(LN)中的纵向极限体声波速度VB3 - LN,它们作为角度θ的函数的情况。
二、数值结果与讨论
布置在层状结构顶部的叉指换能器(IDT)所产生的表面波的性质取决于其速度与衬底中体声波(BAW)的极限(“截止”)速度之间的比率[8]。如果至少有一种极限体声波的传播速度比声表面波(SAW)慢,那么这种表面波就会泄漏到衬底中并发生衰减。 纵向泄漏声表面波(LLSAW)的传播伴随着慢、快准剪切(为简便起见,以下简称“剪切”)体声波的辐射,因为这些体声波比纵向泄漏声表面波(LLSAW)慢。纵向泄漏声表面波(LLSAW)的衰减通常比低速声表面波(LSAW)的衰减更严重,低速声表面波(LSAW)的传播速度比慢剪切体声波快,但比快剪切体声波慢。然而,如果由于晶体对称性,其中一种体声波与波的主极化方向不耦合,那么高速声表面波(SAW)的泄漏可以减少。如果使用具有强弹性各向异性的衬底,通过优化衬底取向还可以进一步抑制泄漏。例如,在键合到石英上的钽酸锂(LT)板中,无需反射器就可以传播无衰减的纵向泄漏声表面波(LLSAW)[7]。 铌酸锂(LN)和钽酸锂(LT)晶体属于同一对称类别,之前应用于钽酸锂/石英(LT/quartz)的方法可以用于在铌酸锂/石英(LN/quartz)中找到无衰减的纵向泄漏声表面波(LLSAW)。 就弹性对称性而言,铌酸锂(LN)(对称型3m)和石英(对称型32)属于同一类别。在这两种晶体的YZ平面内传播的体声波之一沿X轴极化,并且与在YZ平面内极化的另外两种体声波不耦合。因此,如果铌酸锂(LN)板和石英(石英)衬底的取向由欧拉角(0°,θ,90°)定义,且矢状面与两种晶体的YZ平面平行,那么只有矢状极化的剪切体声波才会与纵向极化波耦合。此外,由于铌酸锂(LN)晶体的对称性,纵向(一般情况下为准纵向)体声波与静电势的耦合在YZ平面内也能达到最大值。 尽管极限体声波的能量与衬底表面平行,但通常这种体声波并不满足表面的力学和电学边界条件。然而,在某些选定的晶体取向中,可以满足无应力的力学边界条件。如果这种特殊的体声波是快剪切波,它可以产生一个低衰减的声表面波(LSAW)分支;如果它是纵向波,则可以产生一个低衰减的纵向泄漏声表面波(LLSAW)分支[10, 11]。纵向特殊波仅存在于少数已知的具有强弹性各向异性的晶体中[12 - 14],石英就是其中之一。当力学边界条件的行列式Det(µij)为零时,特殊体声波存在于某些晶体切割中,其中µij = cijkluknl;n和u分别是所分析的极限体声波的传播方向和极化方向的单位向量,cijkl是弹性刚度张量。 在石英中,纵向体声波在(0°,15.8°,90°)、(0°,47.8°,90°)、(0°,105.8°,90°)和(0°,137.8°,90°)切割中成为特殊波[11]。电学边界条件可能会干扰波的性质,但Det(µij)在零附近的变化意味着在加载有薄铌酸锂(LN)板的石英衬底中可以存在低衰减的纵向泄漏声表面波(LLSAW)。 图2展示了根据指定的欧拉角旋转的铌酸锂(LN)和石英切割的慢度面示例。在固定速度V下的声表面波(SAW)解在有限厚度的铌酸锂(LN)板中涉及两个分波,其波矢为kLN⁺和kLN⁻,在石英中涉及一个模式(kQ⁺),该模式负责能量泄漏到衬底中。在每种材料中,由于对称性,对于所分析的取向,其中一种体声波(虚线所示)不会被辐射。 虽然泄漏到衬底中的情况取决于石英的取向,但铌酸锂/石英(LN/quartz)中的耦合系数k²主要由铌酸锂(LN)的切割方式决定。图3a展示了在考虑和不考虑压电效应的情况下,在铌酸锂(LN)的YZ平面内三种体声波的速度随与Y轴的传播角度的变化函数关系。由压电效应导致的速度差ΔV将体声波耦合特性表征为k² ≈ 2∙ΔV/V。图3b中的极坐标图涉及铌酸锂(LN)的YZ切割中纵向波的k²。当体声波沿Y + 33°方向传播且铌酸锂(LN)表面的法线平行于Z + 33°时,k²达到最大值。这种声表面波(SAW)取向由欧拉角(0°,33°,90°)描述。这种估算没有考虑到在石英中可能较大的波束转向角。更精确的模拟表明,实现纵向泄漏声表面波(LLSAW)最高机电耦合的最优铌酸锂(LN)切割方式接近(0°,45°,90°)。
微信图片_20241209081447
图2. 矢状面截取慢度面的横截面示例:在键合晶圆中组合的(0⁰,70⁰,90⁰)-铌酸锂(LN)和(0⁰,55⁰,90⁰)
微信图片_20241209081449
图3. 在考虑(实线)和未考虑(虚线)压电效应的情况下,铌酸锂(LN)YZ切割面中体声波(BAW)的速度随与Y轴夹角的变化函数关系(a),以及针对纵向体声波在YZ平面内估算的有效耦合系数k²的极坐标图(b)。
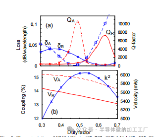
对于固定的能实现高耦合系数k²的铌酸锂(LN)取向(0°,45°,90°),我们在铜电极厚度为0.05λ且石英衬底切割角度可变的铌酸锂/石英(LN/quartz)结构中,对纵向泄漏声表面波(LLSAW)的特性进行了严格的研究。计算采用了数值技术SDA - FEM - SDA,该技术将电极的有限元建模(FEM)分析与多层衬底的谱域分析(SDA)相结合[15]。我们模拟了基于铌酸锂/石英(LN/quartz)构建的声表面波(SAW)谐振器的导纳函数,并分别从谐振频率fR和反谐振频率fA下的这些函数中提取出了复声表面波(SAW)速度VR = 2πfR·(1 + jδR)和VA = 2πfA·(1 + jδA)。所得到的在谐振(δR)和反谐振(δA)时的传播损耗被转化为仅与泄漏到体波相关的声表面波(SAW)谐振器的品质因数(Q因子)。其他损耗机制(电极电阻、粘性损耗等)则被忽略。 通过在区间hLN = (0.35 - 0.55)λ(其中λ = 2π,p是光栅周期)内改变铌酸锂(LN)的厚度,对每个θ估算了可达到的最小衰减量。图4展示了最小δR作为欧拉角θ的函数关系。随着铌酸锂(LN)厚度在四个不同区间内连续变化,在每个区间都发现了δR < 10⁻³的情况。在石英取向为(0°,7.5°,90°)、(0°,42.5°,90°)、(0°,84.5°,90°)和(0°,126°,90°)时获得了如此低的衰减系数,这些取向看起来像是之前提到的受加载在石英表面的铌酸锂(LN)板影响而发生扰动的特殊波切割情况。 最小泄漏发生在二维空间(hLN,θ)的某一点上。这是之前在氧化锌/金刚石、氧化锌/蓝宝石[16]以及最近在钪铝氮/蓝宝石[17]中观察到的高速泄漏波的典型情况。 在谐振和反谐振频率下的最小衰减发生在二维空间(hLN,θ)的不同点上。为了在同一铌酸锂/石英(LN/quartz)衬底的这两个频率下都提供低传播损耗,可以利用电极结构占空比的变化。例如,图5a、b展示了在hLN = 0.4λ的(0°,70°,90°)铌酸锂/(0°,55°,90°)石英结构中,VR、VA、δR和δA作为占空比的函数关系。在分析的占空比区间内,谐振时的纵向泄漏声表面波(LLSAW)速度在5400米/秒到5700米/秒之间变化,且k²达到15.5%。当a/p < 0.48时,在反谐振频率下品质因数(Q因子)超过7000;当a/p > 0.65时,在谐振频率下品质因数(Q因子)超过7000。图6所示的三个模拟导纳分别对应最大QR、最大QA和QR ≈ QA。谐振频率下的波结构通过切向(u1)和法向(u3)位移的彩色图表进行了说明。由于对称性,剪切位移u2 = 0。 在最优结构中,所需的板厚和电极厚度分别为0.4λ和0.05λ,在5吉赫兹时分别为0.44微米和550埃。这与现有技术兼容,允许制造高频声表面波(SAW)谐振器。由于所分析取向的对称性,在较宽的频率范围内响应无杂散,最接近的杂散模式在0.61f0处。
微信图片_20241209081451
图4. 在(0⁰,45⁰,90⁰)-铌酸锂(LN)与(0,θ,90)-石英键合的结构中,泄漏声表面波(SAW)的衰减随归一化铌酸锂(LN)板厚度h / 2π的变化关系。所分析的四种石英取向能够使低衰减的高速声表面波(HVSAW)得以传播。
微信图片_20241209081454
图5. (0°,70°,90°)-铌酸锂(LN)/(0°,55°,90°)-石英结构中高速声表面波(HVSAWs)的特性随占空比的变化情况:(a)在谐振(QR)和反谐振(QA)时估算的传播损耗和品质因数(Q - 因子);(b)耦合系数k²以及速度(VR和VA)。铌酸锂(LN)板和铜电极的厚度分别为0.4λ和0.055λ。
微信图片_20241209081456
图6. 在(0°,70°,90°)-铌酸锂(LN)/(0°,55°,90°)-石英上的铜光栅的模拟导纳函数,针对在谐振或反谐振时实现最大品质因数(Q因子)或最大平均品质因数的三种占空比取值进行了优化。彩色图展示了当a/p = 0.65时在谐振状态下的位移u1和u3。
三、结论
一种将板状材料和衬底材料的对称性考虑与对纵向泄漏声表面波(LLSAW)谐振器导纳函数的严格模拟相结合的方法被应用于铌酸锂/石英(LN/quartz)结构,从而找到了适用于宽带、高频、高性能声表面波(SAW)滤波器的无衰减、高速度且高耦合的声表面波(SAW)。

关于我们:

OMeda成立于2021年,由3名在微纳加工行业拥有超过7年经验的工艺,项目人员创立。目前拥有员工15人,在微纳加工(涂层、光刻、蚀刻、双光子印刷、键合)等领域拥有丰富的经验。 同时,我们支持4/6/8英寸晶圆的纳米加工。 部分设备和工艺支持12英寸晶圆工艺。针对MEMS传感器、柔性传感器、微流控、微纳光学等行业。

中国(上海)自由贸易试验区临港新片区业盛路188号450室 电话:+86 188 233 40140 邮箱:jing.chen@omeda-optics.com

来源:OMeda

关于我们

OMeda(上海奥麦达微)成立于2021年,由3名在微纳加工行业拥有超过7年经验的工艺,项目人员创立。在微纳加工(镀膜、光刻、蚀刻、双光子打印、键合,键合)等工艺拥有丰富的经验。 同时,我们支持4/6/8英寸晶圆的纳米加工。部分设备和工艺支持12英寸晶圆工艺。针对MEMS传感器、柔性传感器、微流控、微纳光学,激光器,光子集成电路,Micro LED,功率器件等行业。

姓名:*
邮件:*
公司名称:
电话:*
您的需求: