上海奥麦达微电子有限公司

专业高效
微纳加工公司

POI晶圆+SAW器件--基于37°Y - 47°X铌酸锂/二氧化硅/碳化硅多层结构的声表面波谐振器理论优化

刘因伟1,马军1,钱丽蓉1,*,王园园1,李翠萍1,杨保和1,田亚辉2,李宏朗3,4,5 1天津理工大学集成电路科学与工程学院,天津市薄膜电子与通信器件重点实验室,中国天津300384 2中国科学院声学研究所,中国北京100190 3国家纳米科学技术中心,中国北京100190 4广州粤港澳大湾区纳米科技创新研究院,中国广州510700 5广东广纳芯科技有限公司,中国广州510700 *通讯作者,电子邮箱:lirongqian83@email.tjut.edu.cn;电话:86 - 022 - 60215678
纵向声表面波模式(L - SAW)具有较高的相速度,因此可实现更高的工作频率。在本文中,提出了一种37°Y - 47°X铌酸锂/二氧化硅/碳化硅(LiNbO₃/SiO₂/SiC)多层结构,以激发具有高速度和高机电耦合系数(K²)的纵向声表面波(L - SAW),从而满足5G的频率要求。此外,通过改变该结构中二氧化硅(SiO₂)和铌酸锂(LiNbO₃)的厚度,利用有限元方法(FEM)进行了理论优化,结果表明,铌酸锂(LiNbO₃)的最佳厚度为0.08λ,二氧化硅(SiO₂)的最佳厚度为0.2λ,电极的最佳厚度为0.056λ。对于优化后的结构参数,纵向声表面波(L - SAW)的机电耦合系数(K²)为10.95%,相应的相速度为5800.43米/秒,温度系数(TCF)为 - 0.1ppm/℃。 关键词:水平剪切声表面波;铌酸锂(LiNbO₃);有限元方法;多层结构。
划重点
XYZ切 POI wafer,LN/LT-SIC/Si/热氧片供应,
膜厚均匀性+-5nm

我们常见的键合技术 有硅玻璃键合 金金键合,金锡键合,金硅键合,临时键合等等 。但是当我们遇到一些需要低温键合,或者一些特殊材料时,或者应用场景时,上述键合方式很难满足一些特殊场景的应用,

因此科学家提出了表面活化键合技术,这种技术 使键合技术所覆盖的材料范围更加广泛,比如

GaAs-SiC,InP-Diamond, LN-SiC,Si-Si,GaN-Dlamond,Sl-Diamond,蓝宝石-蓝宝石,金刚石-sic, sic-inp,sic-LN, ic-ga2o3,glass--glass,Si-SiC,Si-GaAs、GaAs- SiC、Si–SiC、SiC–SiC、Ge–Ge  、Al 2 O 3 -Al 2 O 3 ,GaP-InP, GaN-Si、LiNbO 3 -Al 2 O 3 、LiTaO 3 -Si and more(晶体,陶瓷,等等)

扩展的多材料的体系,将键合技术扩大了应用范围

*MEMS传感器             *光子集成电路                   *半导体激光器

*功率器件                        *3D封装                        *异质集成

微信图片_20241204132546

划重点--代工,代工,代工,卖设备

我们为客户提供晶圆(硅晶圆,玻璃晶圆,SOI晶圆,GaAs,蓝宝石,碳化硅(导电,非绝缘),Ga2O3,金刚石GaN(外延片/衬底)),镀膜方式(PVD,cvd,Ald,PLD)和材料(Au Cu Ag Pt Al Cr Ti Ni Sio2 Tio2 Ti3O5,Ta2O5,ZrO2,TiN,ALN,ZnO,HfO2。。更多材料),键合(石英石英键合,蓝宝石蓝宝石键合)光刻,高精度掩模版,外延,掺杂,电子束直写等产品及加工服务(请找小编领取我们晶圆标品库存列表,为您的科学实验加速

激光器芯片/探测器芯片/PIC芯片封装耦合服务"

请联系小编免费获取原文,也欢迎交流半导体行业,工艺,技术,市场发展

微信图片_20241204132549

1. 引言
与传统滤波器相比,基于声表面波(SAW)器件和体声波(BAW)器件的滤波器及双工器具有体积小、可靠性高、频率高以及损耗低等特点[1] - [5]。因此,声表面波(SAW)器件迅速取代了传统滤波器,占据了射频(RF)器件市场的大部分份额。2019年,工业和信息化部正式向中国电信、中国移动和中国联通颁发了5G牌照,并启动了6G技术的研究,这表明通信终端将使用更多的频段。因此,终端设备将需要更多基于体声波(BAW)或声表面波(SAW)器件设计的滤波器或双工器。此外,随着5G技术的提出以及智能穿戴设备和车联网的快速发展,未来对声学器件的需求将会增加。 声表面波(SAW)器件的基本原理是压电衬底表面附近的机械场和电场之间的耦合。在通信和传感等实际应用中,谐振频率是声表面波(SAW)器件最关键的参数。因此,它不应随环境温度发生太大变化。当声表面波(SAW)的机电耦合系数(K²)过低时,会限制带宽的增加。压电晶体铌酸锂(LN)具有较大的K²,常被用于制备宽带宽的声表面波(SAW)器件。然而,铌酸锂(LN)具有较大的正频率温度系数(TCF),应与具有负频率温度系数的压电材料(如二氧化硅(SiO₂)[6]、[7]、[8]、氧化碲(TeO₂)[9]和氮化铝(AlN)[10])集成以进行温度补偿。 在这项工作中,选择了在Y切铌酸锂(LN)异质结构中无能量泄漏的纵向声表面波(L - SAW)来构建一个37°Y - 47°X铌酸锂(LN)/二氧化硅(SiO₂)/碳化硅(SiC)多层结构。通过有限元方法(FEM)对铌酸锂(LN)厚度、二氧化硅(SiO₂)厚度、电极厚度和电极金属化程度进行了优化。此外,这种结构能够实现接近零的温度系数(TCF)。
2. 方法
首先,在这种结构下,为了忽略机械载荷,仅考虑电边界条件,并首先假设叉指换能器(IDT)的厚度为无限薄。铌酸锂(LN)的材料常数取自参考文献[12]和[13]用于计算。铌酸锂(LN)的取向可通过欧拉角旋转法获得。选择能激发纵向声表面波(L - SAW)最大机电耦合系数(K²)的铌酸锂(LN)欧拉角(0°, - 53°, 47°)[11]。 之后,在有限元模拟软件COMSOL中对一个三维(3D)单端口声表面波(SAW)谐振器进行模拟,并在x和y方向设置其周期性边界条件。在模型底部假设存在一个完美匹配层(PML)。将波长λ(也就是叉指换能器(IDT)的周期)设置为4微米。同时,将电极宽度标记为a,金属化率η定义为2a/λ。利用有限元方法(FEM)计算纵向声表面波(L - SAW)模式的相速度,在铌酸锂(LN)/二氧化硅(SiO₂)/碳化硅(SiC)多层结构模型中,针对不同二氧化硅(SiO₂)厚度,计算出机电耦合系数(K²)值和温度系数(TCF)作为铌酸锂(LN)厚度的函数。还对铝电极厚度和叉指换能器(IDT)的金属化比例进行了优化。 相速度(vp)、机电耦合系数(K²)和温度系数(TCF)是设计声表面波(SAW)器件导体的三个重要特征参数。相速度(vp)通过以下公式(1)计算: vp = λfr (1) 机电耦合系数(K²)通过以下近似公式(2)计算: K² ≈ 2(far - fr) / fr ,(2) 其中fr和far分别是谐振频率和反谐振频率。温度系数(TCF)通过以下公式(3)计算: TCF = (fr(35°C) - fr(25°C)) / (35°C - 25°C) fr 其中fr(35°C)和fr(25°C)分别是在35°C和25°C温度下的谐振频率。
微信图片_20241204132552
图1:理论分析模型。
微信图片_20241204132554
微信图片_20241204132557
微信图片_20241204132600
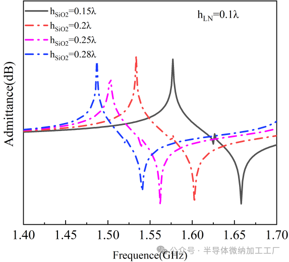
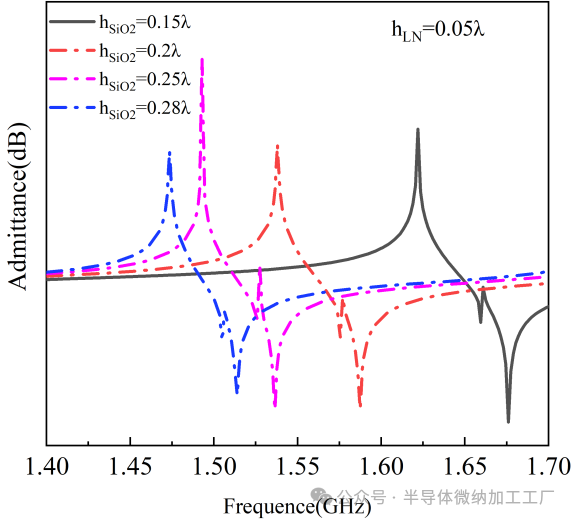
图2:在具有不同铌酸锂厚度与波长比值(hLN/λ)的37°Y - 47°X铌酸锂/二氧化硅/碳化硅多层结构叉指换能器(IDTs)中纵向声表面波(L - SAW)的导纳曲线:(a)hLN/λ = 0.05;(b)hLN/λ = 0.1;(c)hLN/λ = 0.15;(d)hLN/λ = 0.2。
微信图片_20241204132603
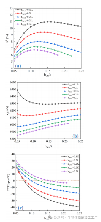
图3:在37°Y - 47°X铌酸锂/二氧化硅/碳化硅多层结构中,不同归一化二氧化硅厚度(hSiO₂/λ)下,纵向声表面波(L - SAW)特性随归一化铌酸锂厚度(hLN/λ)的变化情况:(a)机电耦合系数(K²);(b)相速度;(c)温度系数(TCF)。
微信图片_20241204132608
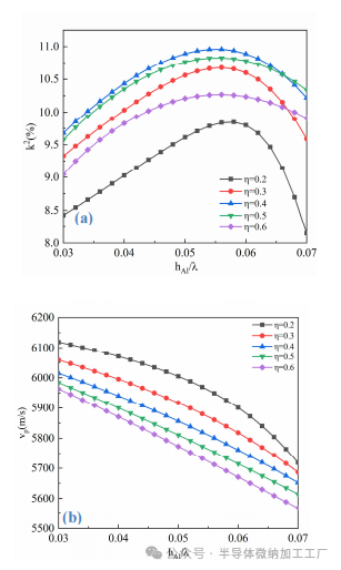
图4:在37°Y - 47°X铌酸锂/二氧化硅/碳化硅多层结构中,不同金属化率(η)下,纵向声表面波(L - SAW)特性随归一化铝制叉指换能器(IDTs)厚度(hAl/λ)的变化情况:(a)机电耦合系数(K²);(b)相速度。
微信图片_20241204132612
图5:基于37°Y - 47°X铌酸锂/二氧化硅/碳化硅结构的声表面波谐振器的导纳。
2.1. 二氧化硅(SiO₂)和铌酸锂(LN)厚度的优化
在模拟过程中,将λ值固定为4微米。将hAl设置为0.01λ以忽略叉指换能器(IDTs)的机械载荷。图2展示了在不同hLN/λ和不同hSiO₂值下,37°Y - 47°X铌酸锂/二氧化硅/碳化硅多层结构中纵向声表面波(L - SAW)的导纳曲线。对于较大的hSiO₂值,谐振频率值会降低。然而,谐振频率与hLN之间的关系较为复杂。多层结构中三种材料的声表面波(SAW)速度排序如下:二氧化硅(SiO₂)<铌酸锂(LN)<碳化硅(SiC)。频率随hSiO₂的增加而降低可归因于二氧化硅(SiO₂)的低速特性。二氧化硅(SiO₂)层越厚,频率越低。当二氧化硅(SiO₂)较薄时,例如hSiO₂≤0.25λ,频率会随着铌酸锂(LN)厚度的增加先降低后升高。当二氧化硅(SiO₂)厚度增加到一定程度,例如二氧化硅(SiO₂)为0.28λ时,频率会随着铌酸锂(LN)厚度的增加而单调递增。 37°Y - 47°X铌酸锂/二氧化硅/碳化硅多层结构中纵向声表面波(L - SAW)模式的传播特性取决于铌酸锂(LN)薄膜和二氧化硅(SiO₂)中间层的厚度。图2展示了在不同归一化二氧化硅(SiO₂)厚度(hSiO₂/λ)下,计算得出的纵向声表面波(L - SAW)的相速度、温度系数(TCF)和机电耦合系数(K²)对归一化铌酸锂(LN)厚度(hLN/λ)的依赖关系。 对于不同的hSiO₂/λ值,机电耦合系数(K²)曲线与hLN/λ之间的关系呈现出相似的趋势,如图3(a)所示。在不同的hSiO₂/λ值下,机电耦合系数(K²)值会先增加到最大值,然后随着hLN/λ的增加而降低。当hSiO₂/λ在0.100 - 0.175范围内时,可获得较大的机电耦合系数(K²)。机电耦合系数(K²)对二氧化硅(SiO₂)的厚度较为敏感,随着hSiO₂/λ的增加会急剧下降。在hSiO₂/λ = 0.2的情况下,当hLN/λ = 0.14时,可获得最大机电耦合系数(K²)值为9.416%。
对于hSiO₂/λ大于0.25的情况,相速度会随着hLN/λ的增加先降低然后再升高。当hSiO₂/λ小于0.25时,相速度会随着hLN/λ的增加而单调上升,如图3(b)所示。在图3(c)中,随着hLN/λ的增加,温度系数(TCF)会从正值变为负值。对于不同的hSiO₂/λ值,零温度系数(TCF)出现在不同的hLN/λ值处。对于较大的hSiO₂/λ值,对应零温度系数(TCF)的hLN/λ值也较大。
2.2. 电极厚度和叉指换能器(IDTs)金属化率的优化
对于使用铌酸锂(LN)块体的常规声表面波(SAW)器件,合适的叉指换能器(IDTs)厚度约为0.1λ。因此,在37°Y - 47°X铌酸锂/二氧化硅/碳化硅多层结构中,叉指换能器(IDTs)对纵向声表面波(L - SAW)性能的影响不容忽视,对此也进行了模拟。在本次模拟中,基于已优化的铌酸锂(LN)和二氧化硅(SiO₂)薄膜厚度,将hLN设置为0.08λ,将hSiO₂设置为0.2λ。图4(a)和(b)分别展示了在不同金属化率η下,模拟得到的相速度和机电耦合系数(K²)随hAl/λ增加的函数关系。 随着hAl/λ的增加,在不同的η值下,机电耦合系数(K²)值先略微增加然后再降低,如图4(a)所示。当金属化率η从0.2增加到0.4时,可以观察到机电耦合系数(K²)显著增加。当金属化率η进一步增加时,机电耦合系数(K²)开始降低。当hAl/λ = 0.55且η = 0.4时,可获得最大机电耦合系数(K²)值为11%。从图4(b)可以看出,相速度随着hAl/λ和η的增加而单调降低。
2.3. 纵向声表面波(L - SAW)谐振器的导纳 基于对hLN/λ、hSiO₂/λ、hAl/λ以及η的优化结果,采用以下参数来获得较大的机电耦合系数(K²)、较高的相速度以及接近零的温度系数(TCF):
表1. 纵向声表面波(L - SAW)谐振器的优化参数。
微信图片_20241204132615
使用优化后的参数进行模拟,得到的机电耦合系数(K²)为10.95%,相速度为5900.43米/秒,温度系数(TCF)接近0ppm/℃。 图5展示了在优化参数下,基于叉指换能器(IDT)/铌酸锂(LN)/二氧化硅(SiO₂)/碳化硅(SiC)结构的声表面波(SAW)谐振器在1.3至1.9吉赫兹频率范围内的导纳情况。图5中可以观察到三种声学模式。1.45吉赫兹和1.52吉赫兹处的峰值分别是纵向声表面波(L - SAW)模式的谐振频率和反谐振频率。1.58吉赫兹处的弱模式同样是纵向声表面波(L - SAW),而1.72吉赫兹处的模式是纵向泄漏声表面波。
3. 结论
提出了37°Y - 47°X铌酸锂(LN)/二氧化硅(SiO₂)/碳化硅(SiC)多层结构,并对其进行了理论优化。优化后的hLN、hSiO₂、hAl和η分别为0.08λ、0.2λ、0.056λ和0.4。在优化后的叉指换能器(IDT)/37°Y - 47°X铌酸锂(LN)/二氧化硅(SiO₂)/碳化硅(SiC)各层结构下,纵向声表面波(L - SAW)相应的机电耦合系数(K²)、相速度和温度系数(TCF)分别为10.95%、5800.43米/秒和 - 0.1ppm/℃。优化后的多层结构在通信系统中制造低损耗、宽带宽的射频声表面波(SAW)滤波器方面具有广阔的前景。

关于我们:

OMeda成立于2021年,由3名在微纳加工行业拥有超过7年经验的工艺,项目人员创立。目前拥有员工15人,在微纳加工(涂层、光刻、蚀刻、双光子印刷、键合)等领域拥有丰富的经验。 同时,我们支持4/6/8英寸晶圆的纳米加工。 部分设备和工艺支持12英寸晶圆工艺。针对MEMS传感器、柔性传感器、微流控、微纳光学等行业。

中国(上海)自由贸易试验区临港新片区业盛路188号450室 电话:+86 188 233 40140 邮箱:jing.chen@omeda-optics.com

来源:OMeda

关于我们

OMeda(上海奥麦达微)成立于2021年,由3名在微纳加工行业拥有超过7年经验的工艺,项目人员创立。在微纳加工(镀膜、光刻、蚀刻、双光子打印、键合,键合)等工艺拥有丰富的经验。 同时,我们支持4/6/8英寸晶圆的纳米加工。部分设备和工艺支持12英寸晶圆工艺。针对MEMS传感器、柔性传感器、微流控、微纳光学,激光器,光子集成电路,Micro LED,功率器件等行业。

姓名:*
邮件:*
公司名称:
电话:*
您的需求: