摘要:
我们首次展示了在色散工程薄膜钽酸锂(TFLT)波导中生成超过三倍频的超连续谱。通过一束1560 nm的飞秒激光泵浦,波导产生了从紫外光的240 nm到近红外2400 nm以上的光谱。我们通过低功率谐波生成(第二、第三谐波)到高功率超连续谱的演变,揭示了由孤子分裂和色散波发射驱动的超连续谱生成过程。这是TFLT中超宽带非线性光学的首次展示,确立了其作为集成光子学平台的竞争力,具有在频率计量和片上光谱学中广泛应用的潜力。#2:a向 bto外延片
2寸 外延 a-向 bto(300nm或者500nm,或者定制)-sto 8nm(可定制)- 2um Sio2(可定制) -Si(可定制)
#3:C向 bto外延片
2寸 外延 c-向 bto(150nm或者300nm,或者定制)-sto 8nm(可定制)- 2um Sio2(可定制) -Si(可定制)
#离子注入铒代工
#6寸DUV步进式光刻代工,最小线宽180nm,超高性价比,可以只曝光
#快速氮化硅硅光铌酸锂流片 #高性价比 #低成本
#提供8寸 8umSiO2热氧片,6寸15um热氧片 10um热氧片 8寸10um热氧片
室温低损伤@GCIB抛光代工@束斑小(4-5mm)更均匀
#降低硬质材料化合物晶圆等绝大多数材料的表面粗糙度,比如金刚石 ,磷化铟,砷化镓,碳化硅
#提高复合衬底和镀膜膜层的器件层膜厚均匀性,
比如SOI LNOI LTOI SICOI 等 SMARTCUT得到的薄膜
或者镀膜所得到的膜层 ,比如镀了一层氮化硅,但是由于是cvd镀膜所得到的,表面的膜厚精度很差,粗糙度很差,可以通过粗糙度初步降低粗糙度,然后通过GCIB团簇离子束抛光来修整整面的膜厚均匀性 到0.5%以下举例:
未经过Trimming 工艺的 6寸LN/LTOI晶圆 数据:
Range:100-200A
经过Trimming 工艺的 6寸LN/LTOI晶圆 数据:
Range:60A以内
SOI晶圆:--220nm薄膜/ 3um厚膜-3umSIO2-675umALOOI晶圆;--氧化铝薄膜晶圆,键合工艺和镀膜工艺
TAOOI晶圆--氧化钽薄膜晶圆,镀膜工艺
SINOI晶圆--超低损耗氮化硅薄膜晶圆,210nm-300nm-400nm-800nm
SICOI晶圆;新型量子光学平台500nm-700nm-1um
8寸LTOI晶圆批量供应;铌酸锂的有力的竞争对手,薄膜钽酸锂晶300600
6寸X切Z切掺镁薄膜铌酸锂晶圆 ,厚膜 3um 5um 和 薄膜 100-600nm
8寸LNOI晶圆;8寸LNOI助力更大规模薄膜铌酸锂产品量产
LN/LT-SOI/Si/SIN W2W&D2W异质集成
流片: 6寸 氮化硅 铌酸锂 硅光 超高性价比流片, 1个BLOCK的价格买一整片晶圆
划重点--全国产-超高性价比-6 寸硅光-氮化硅-铌酸锂流片白皮书
我们为客户提供晶圆(硅晶圆,玻璃晶圆,SOI晶圆,GaAs,蓝宝石,碳化硅(导电,非绝缘),Ga2O3,金刚石,GaN(外延片/衬底)),镀膜(PVD,cvd,Ald,PLD)和材料(Au Cu Ag Pt Al Cr Ti Ni Sio2 Tio2 Ti3O5,Ta2O5,ZrO2,TiN,ALN,ZnO,HfO2。。更多材料),键合(石英石英键合,蓝宝石蓝宝石键合)光刻,高精度掩模版,外延,掺杂,电子束光刻等产品及加工服务(请找小编领取我们晶圆标品库存列表,为您的科学实验加速。
请联系小编免费获取原文
文章名:Three-Octave Supercontinuum Generation Spanning from Ultraviolet in Lithium Tantalate Waveguides作者:LINGFANG WANG1,*,†, TIANYOU TANG1,†, HUIZONG ZHU2, JUANJUAN LU2
1 电子科技大学光电科学与工程学院,四川成都 611731,中国
2 上海科技大学信息科学与技术学院,上海 201210,中国
1. 引言:
在芯片集成波导中实现超宽带超连续谱生成(SCG)已经成为光学频率梳[1-2]、精密光谱学[3-4]和光学时钟[5-6]的核心技术。要实现跨越八度的光谱且泵浦阈值低,所需材料必须结合强非线性、低光学损耗和可调色散。迄今为止,薄膜铌酸锂(TFLN)一直是一个领先平台,利用其在紧密约束的波导中具有的显著χ(2)和χ(3)非线性来实现高效的SCG[7-8]和芯片自参考[8-9]。
钽酸锂(LiTaO3)是铌酸锂(LiNbO3)的同型晶体,具有相同的非中心对称晶体结构和较低的双折射[10-12]。重要的是,LiTaO3提供了更高的光致折射损伤阈值、更低的射频损耗正切以及更宽的透明窗口(约280 nm至5.5 µm)[13-14]。薄膜钽酸锂(TFLT)制造的最新进展已实现低损耗纳米光子器件[15-18],然而它在生成相干超宽带超连续谱方面的潜力仍然完全未被探索。
在本工作中,我们报告了在色散工程化的直线TFLT波导中,首次展示了跨越三个八度的超连续谱生成。通过设计波导的横截面,在1560 nm的泵浦波长下提供异常的群速度色散,我们实现了从240 nm到超过2400 nm的光谱范围。我们系统地映射了不同泵浦功率下的光谱演化,揭示了从相位匹配的χ(2)谐波生成到由孤子分裂和色散波发射驱动的χ(3)主导的连续谱的明显过渡。我们研究了输入偏振和波导几何结构对结果的关键依赖性,并通过数值模拟验证了实验结果。这项工作确立了TFLT作为一个极具前景和多功能的平台,用于集成超宽带光源,为芯片上的非线性光子学开辟了新的道路。
2. 结果:
波导是在商业化的600 nm厚的z切TFLT-on-insulator晶圆上制造的。制造过程如图1(d)所示。使用电子束光刻定义波导图案,并通过基于Ar+的电感耦合等离子体反应离子刻蚀工艺将图案转移到TFLT层,得到大约60°的侧壁角度(图1(b))。图1(c)显示了最终器件的顶部扫描电子显微镜(SEM)图像。制造了一系列宽度从0.45 µm到1.65 µm的直线脊形波导,用于研究几何结构依赖效应。未使用锥形波导或周期性极化结构。
图1. TFLT波导设计、制造与色散工程。
(a) 模拟的群速度色散(GVD,实线)和集成色散β_int(虚线),针对宽度分别为0.8、1.3和1.8 µm的波导中的基态TE模式。在β_int = 0处的水平黑色虚线表示色散波生成的相位匹配条件。
(b) 波导结构的示意横截面图。
(c) 制造的波导的顶部扫描电子显微镜(SEM)图像。
(d) TFLT脊形波导制造过程的示意图。
(e) 实验装置的示意图。
群速度色散(GVD)通过有限差分模态求解器(COMSOL Multiphysics)进行模拟。图1(a)展示了宽度为0.8 µm、1.3 µm和1.8 µm的波导中基态TE模式的模拟群速度色散(GVD,实线)。对于接近1.3 µm的波导宽度,波导在1560 nm泵浦波长下展现出异常的GVD区域,这对于支持孤子动力学至关重要。
色散波(DW)生成的相位匹配条件由集成色散β_int(ω)决定[19],定义为:
其中,β(ω) 是传播常数,ω₀ 是泵浦频率,vg 是泵浦频率下的群速度。β_int(图1(a)中的虚线)的零交点预测了有效的短波长和长波长色散波(SWDW、LWDW)发射的波长。位于β_int = 0处的水平虚线突出显示了这一条件。
我们在1.3 µm宽的波导中测量了芯片上脉冲能量对超连续谱生成(SCG)光谱演化的影响,实验采用TE偏振。结果如图2(a)所示。低脉冲能量(约19 pJ)时,输出光谱由明显的窄带峰主导,分别对应于相位匹配的二次谐波生成(SHG,约780 nm)和三次谐波生成(THG,约520 nm)。随着泵浦功率的增加,观察到两个关键现象:首先,SHG和THG的强度超线性增长;其次,在SHG波长附近出现一个宽光谱肩,表明通过孤子分裂在异常色散区间生成色散波(DW)开始。
当脉冲能量达到约231 pJ时,单独的SHG峰与宽色散波合并,形成一个连续、强烈的可见区域带,同时光谱向更短的紫外(UV)和更长的红外(IR)波长急剧扩展。完整的光谱从240 nm以下扩展到我们的光谱仪检测限2400 nm,带宽超过三个八度。这种功率依赖的演化清晰地展示了从受扰动的χ(2)主导区间到非受扰动区间的过渡,在这一区间,χ(3)非线性、孤子动力学和色散波发射共同推动了超宽带光谱的生成。
图2. 功率依赖的实验谱演化与超连续谱生成的数值模拟:
数值建模:
这些动态通过数值模拟来建模,使用修改后的广义非线性薛定谔方程(GNLSE)进行求解。该方程结合了二阶和三阶非线性效应、更高阶的色散以及自 steepening(自陡化)效应。
在这部分内容中,研究通过实验和数值模拟相结合的方法,揭示了随着脉冲能量增加,从离散的谐波生成(如二次谐波、三次谐波)过渡到超连续谱的过程,并且采用了包含多个非线性效应的GNLSE模型来描述这一过程。
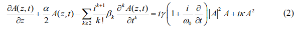
其中,A(z,t)表示脉冲包络, βk 为色散系数, α 是损耗系数, γ 为有效三阶系数,模型 χ (2)通过依赖于模式重叠的有效非线性系数进行贡献。模拟的光谱演化(图2(b))重现了关键实验特征,包括初始谐波峰、随后的畴壁生成及光谱展宽。图2(c)展示了实验光谱演化,表明与模拟结果高度吻合。图3(a)显示了在芯片脉冲能量(约323 pJ)和TE偏振条件下获得的覆盖三个八度的超连续谱。该光谱将紫外、可见光及近红外光谱区域连贯地连接起来。 可见光区的显著强度带归因于 SHG 与畴壁的光谱重叠。近红外部分平滑延伸至2400 nm以上。图3(b)中使用高灵敏度光谱仪(optosky ATP5334)捕获的紫外光谱(低至240 nm)进一步证实了高质量的 SCG 。图3(b)的插图照片捕捉了波导输出端面散射的可见光,呈现出从紫色到红色的鲜艳条纹——这是生成的宽带连续谱延伸至紫外波长的直接视觉表现。这种在直型无极化 TFLT 波导中的突破性成果,充分彰显了该材料卓越的非线性效率,以及我们色散调控技术的有效性。

图3. 三倍频超连续谱与可见光输出。(a) 在高泵浦功率和TE偏振条件下测得的完整超连续谱,覆盖范围从240 nm延伸至2400 nm以上。(b) 谱图中紫外区段的详细信息(220–470 nm)。插图:波导端面可见光输出照片,紫色斑点显示紫外光生成区域。 SCG 过程对输入偏振方向和波导几何结构均表现出高度敏感性。为量化这种特性,我们在恒定高泵浦功率下系统性地将输入偏振角(θ)从0°(TE)调整至90°(TM)。所得光谱图(图4(a))表明:仅在TE主导激发(θ <30°)条件下,才能维持高效、宽带的 SCG ,同时保留显著的双波长(DW)和谐波特征。当偏振激发角度在约30°至60°范围内时,光谱带宽显著压缩,双波长消失,谐波生成受到抑制。当偏振角度在约60°至90°范围内时,所得光谱与TE主导激发(θ <30°)的情况极为相似。这种现象可归因于偏振依赖的模式限制效应,以及z切割晶体取向中TE类材料可获得的d31有效 χ (2)张量元与TM类材料的d33张量元之间的差异。值得注意的是,在钽酸锂中,普通折射率(no)与非常折射率(ne)在电信波段(例如1560nm附近no≈2.119,ne≈2.123)较为接近,这导致TE和TM模式的色散特性与非线性相位匹配特性相似。这解释了尽管两种偏振模式的非线性系数不同,但观测到的 SCG 带宽和非线性特征强度相似的原因。

图4. 偏振/几何依赖性系统研究及仿真验证。(a) 1.3 µm 宽波导中偏振角 θ(0°:TE型,90°:TM型)对 SCG 的光谱分布。(b) 不同宽度波导(0.8 µm 和1.6 µm)在TE偏振下的实验光谱。(c) 不同宽度波导(0.65 µm 和1.65 µm)在TM偏振下的实验光谱。(d) 测量的色散波中心波长与模拟相位匹配条件(红线)随波导宽度变化的对比。(e) SHG 与波导宽度的模拟相位匹配波长关系。(f) THG 的模拟相位匹配波长及其对应模式分布(插图:实验观测到的540 nm附近远场模式,即 TM₁₁ 模式)。 THG 、DW和 SHG 的相位匹配条件与波导色散特性密切相关,因此会随几何形状显著变化。图4(b)和(c)分别展示了不同宽度波导在TE和TM偏振下的实测光谱。所有非线性特征的中心波长和相对强度随波导宽度显著变化,证明通过简单的尺寸调控即可实现精确的光谱可调谐性。在TE偏振下,较宽波导(如1.6 µm)能有效支持DW和 SHG ,而较窄波导则有利于不同的相位匹配条件。为验证设计方案,我们将实验结果与相位匹配模拟进行对比。图4(d)将DW特征的实测中心波长与 βint 模拟的相位匹配曲线(红线)叠加显示。优异的一致性证实,观测到的宽可见光特征是相位匹配的DW,其波长可通过改变波导宽度进行可预测调节。图4(e)展示了 SHG 模拟的相位匹配波长(红圈)随波导宽度变化的曲线,插图显示了对应的相位匹配 TE₀₁ 模式分布。实验观测到的TE和TM激发下 SHG 波长(见图4(b)和(c))与模拟结果高度吻合,验证了其相位匹配特性及不同模式间的相互作用。此外,我们还研究了观测到的三次谐波生成(THG)的相位匹配条件。如图4(f)所示,模拟的 THG 相位匹配波长与实测约540 nm处的光谱峰值高度吻合。值得注意的是,在该波长下捕获的远场模式图像(图4(f)插图)呈现出清晰的双瓣模式,与 TM₁₁ 模的模拟轮廓完全吻合,为相位匹配 THG 过程提供了直观的视觉证据。实验与理论在DW、 SHG 和 THG 三个维度上的高度一致性,充分彰显了 TFLT 平台在预测性和可控性方面的优势。3. 讨论 本研究首次实现了薄膜钽酸锂波导中超连续谱的生成,其光谱带宽超过三个八度(240 nm至>2400 nm),对于集成非线性波导而言具有显著优势。为便于理解,表1对比了 SCG 在多个主流集成光子平台上的关键性能指标。
表1 不同集成平台报告的超连续谱生成情况
对于每个不同的集成光子平台,我们仅列出了具有相对较小短波截止波长的 SCG 演示。我们的 TFLT 波导在 TFLN 和其他常见平台上实现了比以往演示更宽的带宽,同时保持了可比的泵浦波长,并使用了无需极化的简单直线波导几何结构。这种优异性能可归因于LiTaO3的优越材料特性——即其高非线性系数、在测量光谱范围内低光损耗,以及纳米级制造实现的精确色散工程。该非中心对称平台的独特之处在于能够同时产生强 χ (2)谐波(SHG 、 THG)和由 χ (3)驱动的连续谱,而中心对称材料如SiN或Si则不具备这一特性。这种协同效应,特别是色散波与780 nm附近二次谐波之间的光谱重叠现象,对于光频率梳的f-2f自参量等应用具有前景。4. 结论 我们已证明在色散工程化的纳米级钽酸锂波导中实现了跨越三个八度以上的超连续谱生成。通过在1560纳米波长下注入异常色散区域,我们实现了从240纳米到2400纳米以上范围的光谱覆盖。系统研究发现,非线性动力学过程呈现显著演变:从低功率谐波生成逐步过渡到高功率连续谱输出,这一转变由孤子分裂和色散波发射共同介导。该过程在TE偏振条件下效率极高,且可通过波导宽度进行精准调控。作为 TFLT 超宽带非线性光学领域的首次探索,本研究确立了其作为集成光子学平台的强大竞争力。宽透明度、高非线性度、低损耗及稳健制备工艺的结合,为频率计量、宽带传感和集成量子光源等先进片上器件的开发开辟了新路径。