上海奥麦达微电子有限公司

专业高效
微纳加工公司

nGaN片上激光器+氮化硅--InGaN 激光器在代工制造的可见光光子学平台中的混合集成(Flip Chip)

#片上InGaN激光器 #低损耗氮化硅光波导 #异质集成 #可见光光波导

#SINOI晶圆--超低损耗氮化硅薄膜晶圆,160nm-180nm-200nm-300nm-350nm-400nm-800nm

摘要:
可见光谱光子集成电路(PICs)为量子计算、生物传感和虚拟/增强现实等新兴技术提供了紧凑且可扩展的解决方案。要实现其全部潜力,需要开发与高产量制造兼容且能够提供高光学耦合效率的可见光源集成方法。在此,我们展示了将450纳米InGaN激光二极管通过被动对准翻转芯片键合到一个由铸造厂制造的可见光硅(Si)光子学平台上的方法,平台包含硅氮化物(SiN)波导、热光(TO)器件和光电探测器。通过使用配备视觉对准系统和加热拾取工具的亚微米精度模具粘合机,实现了激光器的混合集成,使得可以独立地将多个激光器放置在同一个硅芯片上。激光器和硅光子学的联合设计,通过光刻定义的对准标记和机械限位器,实现了精确的后键合对准。激光器与SiN波导之间的高效光学耦合得到了验证,最小耦合损失为1.1 dB。我们实现了最高的芯片上光功率为60.7 mW,芯片上墙插效率为7.8%,这是目前为止报告的混合集成可见光谱激光器中的最高值。我们还展示了一个主动光子集成电路(PIC),该电路集成了一个键合激光器、用于功率监测的芯片上光电探测器以及一个用于光学路由和可变衰减的热光开关。总体而言,这项工作突出了被动对准翻转芯片键合作为一种实用的高性能方法,用于将激光器集成到可见光谱的光子集成电路中。我们预见到,在我们的光子学平台中,继续完善这一技术将支持集成激光器的越来越复杂的光子集成电路,涵盖可见光谱。

关键词: 激光集成;翻转芯片键合;可见光集成光子学;硅光子学

#1:sto外延片

2寸 外延 sto 2-20nm(可定制)- 2um Sio2(可定制) -Si(可定制)

#2:a向 bto外延片

2寸 外延 a-向 bto(300nm或者500nm,或者定制)-sto 8nm(可定制)- 2um Sio2(可定制) -Si(可定制)

#3:C向 bto外延片

2寸 外延 c-向 bto(150nm或者300nm,或者定制)-sto 8nm(可定制)- 2um Sio2(可定制) -Si(可定制)

#离子注入铒代工

#6寸DUV步进式光刻代工,最小线宽180nm,超高性价比,可以只曝光

#快速氮化硅硅光铌酸锂流片 #高性价比 #低成本

#提供8寸 8umSiO2热氧片,6寸15um热氧片 10um热氧片 8寸10um热氧片

室温低损伤@GCIB抛光代工@束斑小(4-5mm)更均匀

#降低硬质材料化合物晶圆等绝大多数材料的表面粗糙度,比如金刚石 ,磷化铟,砷化镓,碳化硅

#提高复合衬底和镀膜膜层的器件层膜厚均匀性,

比如SOI LNOI  LTOI SICOI 等 SMARTCUT得到的薄膜 

或者镀膜所得到的膜层 ,比如镀了一层氮化硅,但是由于是cvd镀膜所得到的,表面的膜厚精度很差,粗糙度很差,可以通过粗糙度初步降低粗糙度,然后通过GCIB团簇离子束抛光来修整整面的膜厚均匀性 到0.5%以下举例:

未经过Trimming 工艺的 6寸LN/LTOI晶圆 数据:

Range:100-200A

经过Trimming 工艺的 6寸LN/LTOI晶圆 数据:

Range:60A以内

划重点--销售晶圆和加工
SOI晶圆:--220nm薄膜/ 3um厚膜-3umSIO2-675um

ALOOI晶圆;--氧化铝薄膜晶圆,键合工艺和镀膜工艺

TAOOI晶圆--氧化钽薄膜晶圆,镀膜工艺

SINOI晶圆--超低损耗氮化硅薄膜晶圆,160nm-180nm-200nm-300nm-350nm-400nm-800nm

离子注入铒代加工 #高温退火代工 最大 2000度 

SICOI晶圆;新型量子光学平台500nm-700nm-1um

8寸LTOI晶圆批量供应;铌酸锂的有力的竞争对手,薄膜钽酸锂晶300600

8寸LNOI晶圆;8寸LNOI助力更大规模薄膜铌酸锂产品量产

LN/LT-SOI/Si/SIN  W2W&D2W异质集成

流片: 6寸 氮化硅 铌酸锂 硅光 超高性价比流片, 1个BLOCK的价格买一整片晶圆

划重点--全国产-超高性价比-6 寸硅光-氮化硅-铌酸锂流片白皮书

我们为客户提供晶圆(硅晶圆,玻璃晶圆,SOI晶圆,GaAs,蓝宝石,碳化硅(导电,非绝缘),Ga2O3,金刚石,GaN(外延片/衬底)),镀膜(PVD,cvd,Ald,PLD)和材料(Au Cu Ag Pt Al Cr Ti Ni Sio2 Tio2 Ti3O5,Ta2O5,ZrO2,TiN,ALN,ZnO,HfO2。。更多材料),键合(石英石英键合,蓝宝石蓝宝石键合)光刻,高精度掩模版,外延,掺杂,电子束光刻等产品及加工服务(请找小编领取我们晶圆标品库存列表,为您的科学实验加速。

请联系小编免费获取原文

图片
文章名:Hybrid integration of InGaN lasers in a foundry-fabricated visible-light photonics platform
作者:Xin Mu*, Frank Weiss, Hongyao Chua, Robert Lawrowski, Jared C. Mikkelsen, John N. Straguzzi, Hannes Wahn, Piyush Kumar, Guo-Qiang Lo, Joyce K. S. Poon, Mariel Jama, and Wesley D. Sacher*
单位: 

Max Planck Institute of Microstructure Physics, Weinberg 2, 06120 Halle, Germany; 

University of Toronto,10 King’s College Road, Toronto, Ontario, M5S 3G4, Canada;

Advanced Micro Foundry Pte.Ltd., 11 Science Park Road, Singapore Science Park II, 117685, Singapore

ams OSRAM International GmbH, Leibnizstrasse 4, 93055 Regensburg, Germany

1 引言

可见光谱硅光子学代表了光子集成电路(PICs)的新前沿,拓宽了传统硅光子学在通信O波段和C波段之外的应用范围【1-4】。将硅光子学扩展到可见光谱,开辟了新兴技术的机会,包括基于光子集成电路的虚拟/增强现实微显示器【5-7】、量子计算【8,9】、生物传感【10】、神经技术【11-13】,以及自由空间和水下光学通信【14,15】。到目前为止,在建立基本的片上组件方面已取得了重大进展,例如被动硅氮化物(SiN)和铝氧化物波导器件【2,16,17】、光束扫描器【18,19】、光学开关和调制器【20-23】、以及光电探测器【24-26】。尽管取得了这些进展,实现可见光硅光子学的全部潜力仍需集成可覆盖整个可见光谱的光源。

将激光器集成到硅光子学平台上的一个关键挑战是标准波导材料的低光生成效率:硅具有间接带隙,而这里使用的SiN是非晶态的宽带隙电介质。因此,与直接带隙半导体的集成对于高效的片上光源至关重要。已经研究了多种激光集成策略,包括晶圆键合【27】、直接外延生长【28】、微转印印刷【29】和翻转芯片键合【30】。大多数前期工作集中在使用铟磷(InP)增益介质的通信波长,而可见光谱集成则需要多种增益材料,如用于蓝/绿光的铟镓氮化物(InGaN)和用于红光的砷化镓基化合物,以及对设备组成的特定波长优化。预制激光二极管(LD)的混合集成提供了一条实用的途径,将可见光源集成到硅光子学中,适应了多种材料和宽波长范围的可见光谱。最近的研究探索了通过端面耦合将边缘发射LDs主动对准到硅光子芯片的面上【31,32】, 实现了精确的对准和高耦合效率,但依赖于慢速反馈式装配,并且由于面和LD子载板尺寸的限制,限制了集成密度。这些因素瓶颈了大规模生产的组装吞吐量,并限制了光子集成电路的复杂度。

与主动对准技术相对的另一种混合集成激光器的方法是被动对准翻转芯片键合,这种方法在传统的红外硅光子学中已被广泛证明【33-35】。在硅光子平台上定义了刻蚀的凹槽(LD槽或键合插座)。在LD和硅芯片上定义光刻对准标记,能够精确地在平面内定位LD,而在两个芯片上的机械限位器(通常通过刻蚀停止层形成)确保了通过相应特征接触的精确垂直自对准。电连接通过将LD金属接触与硅芯片上的焊料凸点和底焊金属化(UBM)垫片对接实现。通常,通过商业模具粘合机实现LDs的亚微米后键合对准。这些系统广泛用于微电子封装,现有型号能够实现高吞吐量的组装。通过结合精确定义的片上对准特征和先进的模具粘合工具,被动对准翻转芯片键合为激光器的混合集成提供了一条可扩展的路径,能够实现高耦合效率、高吞吐量的组装,并与多种激光器类型兼容。它还支持对LD进行预筛选和老化测试,以识别已知良品,从而减少LD产率对封装光子集成电路(PIC)产率的影响。

尽管在红外硅光子学中已得到验证,但将这种方法应用于可见光平台则更具挑战性,因为短波长下LD的光学模式尺寸较小,要求更严格的对准公差。与此一致,最近将可见光谱LD翻转芯片键合到光子集成电路上的示范,迄今为止仅展示了有限的耦合光功率。参考文献36报告了一个基于光子集成电路的外腔激光器,采用翻转芯片键合的红光增益芯片,尽管原型未能实现激光输出。参考文献7则展示了在SiN光子集成电路上的红、绿、蓝翻转芯片键合激光器,总输出功率最高为10 mW。

在本工作中,我们通过被动对准翻转芯片键合,展示了将450 nm InGaN激光二极管混合集成到由铸造厂制造的可见光硅光子学平台中的方法,并使用与多个LD键合兼容的局部加热。该平台集成了SiN纳米光子学波导、热光调谐器和波导耦合的硅光电探测器【3,37】。在40个键合样本中,我们实现了最大芯片上光功率为60.7 mW,墙插效率(参考芯片上功率)高达7.8%。据我们所知,这一功率是目前为止可见光谱混合集成激光器的记录。这些器件在高达80°C的温度下保持稳定运行,统计分析证实了我们的模具粘合机在定位精度下实现了亚微米的后键合对准。尽管这一精度限制了组装产率,但我们概述了改进的途径。我们还展示了一个集成了翻转芯片键合LD、单片集成光电探测器和热光开关的光子集成电路,展示了平台的核心主动功能。总体而言,这项工作为可见光硅光子学中的激光集成建立了一个可扩展的平台,为具有混合集成可见激光器阵列的先进主动光子集成电路铺平了道路。通过利用铸造厂制造和高吞吐量翻转芯片组装,这一方法有望在复杂性和制造规模上实现扩展,为新兴的可见光谱应用提供光子集成电路解决方案。我们曾在会议摘要Ref. 38中首次报告了这些结果。

2 设计与制造

图1(a)展示了可见光硅光子学平台的示意图,该平台包括SiN波导、热光开关、波导耦合的光电探测器以及用于激光二极管混合集成的结构。

图1:可见光硅光子平台中InGaN激光二极管(LD)的混合集成。

(a) 光子平台的横截面图。PD:光电探测器,M:金属,SiN:硅氮化物,TO开关:热光开关,TiN:钛氮化物,UBM:下焊金属化。

(b) (顶部) 硅光子芯片上LD键合插座的光学显微照片,(底部) 采用共焦激光扫描显微术的插座照片,显示出SiN波导的更清晰可视性。

(c) InGaN激光二极管顶部表面的扫描电子显微照片,拍摄于切割前。

(d) 翻转芯片LD键合方法的概念性示意图,激光二极管靠近插座。坐标系和旋转轴的定义已给出。

该平台是在Advanced Micro Foundry的200毫米直径硅-绝缘体-硅(SOI)晶圆上制造的【39】。制造过程从220纳米厚的硅光电探测器的形成开始,包括硅图案化和掺杂步骤。随后,通过等离子体增强化学气相沉积、193纳米深紫外光光刻和反应离子刻蚀定义了SiN波导。使用全刻蚀和部分刻蚀步骤来定义120纳米和60纳米厚的波导。每个硅PIN结光电探测器位于SiN波导下方,允许从SiN波导耦合的导光进入下面的硅光电探测器。接下来,进行了金属化步骤,包括两层铝路由层和层间通孔,以及钛氮化物(TiN)电阻加热器。化学机械抛光用于层的平面化。SiO2和硅刻蚀步骤定义了翻转芯片键合插座(LD槽)、机械限位器(用于垂直定位)和对准标记(用于平面内对准),见图1(b)。SOI晶圆的硅器件层既作为机械限位器的顶部表面,也作为限位器图案化时的刻蚀停止层,从而最小化高度变化并实现限位器和波导之间的精确垂直对准。下焊料金属化和金锡(AuSn)焊料凸点被图案化在键合插座内,以便与LD的金属接触(键合垫)进行电连接。实现了两种类型的焊料凸点图案——图1(b)中的离散凸点行和图7(a)中的连续条纹。LD槽结构通过薄焊料和UBM层实现LD与硅基板之间的直接热接触,从而实现高效的散热。制造过程的最后通过深刻蚀硅槽形成芯片面,随后进行晶圆切割。

同时,由ams OSRAM公司制造了蓝色(约450 nm)边缘发射的单模InGaN激光二极管【40】。每个激光二极管芯片的厚度约为100微米,尺寸为约400微米×400微米,见图1(c)。InGaN激光二极管与硅光子平台上的键合插座共同设计,专门用于通过被动对准翻转芯片键合实现激光器的混合集成。通过槽刻蚀在激光二极管上形成了机械限位器槽和对准标记,以匹配硅光子芯片上的对应部分。激光二极管的顶部具有P型和N型金属接触,允许与硅芯片上预图案化的焊料凸点和UBM垫片进行电连接。激光二极管和硅芯片的精确光刻和刻蚀确保了在放置过程中,限位器和对准标记能够提供准确的平面内和垂直定位。位于硅光子芯片上键合插座面上的SiN边缘耦合器将翻转芯片键合激光器发出的光耦合到SiN波导中,见图1(d)。激光器到波导耦合器的详细设计将在第3.2节中讨论。

3 混合集成方法

3.1 翻转芯片键合过程

通过被动对准翻转芯片键合实现的混合集成激光器,使用具有亚微米定位精度的半自动模具粘合机进行(Fineplacer sigma,Finetech),如图2(a)所示。该系统通过真空拾取工具取起激光二极管,并将其对准后放置到硅光子芯片的键合插座上,应用控制的压力和热量进行热压键合,如图1(d)所示的概念性示意图所示。

图2:翻转芯片键合技术。

(a) 带有视觉对准系统、侧视显微镜和可加热拾取工具的模具粘合机照片。插图:视觉系统中激光二极管和键合插座的叠加视图,显示在键合前的对准情况。

(b) 激光二极管被拾取工具持有,接近硅光子芯片的显微照片;该图像使用第二个侧视显微镜拍摄,未在(a)中显示。

(c) 拾取工具位于硅光子芯片上方的照片。

(d) 在一块硅光子芯片上翻转芯片键合的三个激光二极管的显微照片。

(e) 键合后的激光二极管显微照片,发出的光耦合到SiN波导中。

模具粘合机配备了视觉对准模块,该模块覆盖了激光二极管(由真空拾取工具持有)和硅光子芯片(安装在模具粘合机的平移平台上的芯片)上的实时显微图像,使得可以可视化两个芯片上十字形对准标记的相对位置[插图,图2(a)]。侧视显微镜方便了实时监控激光二极管落在硅光子芯片上的过程。图2(b)展示了激光二极管接近硅光子芯片的侧视图,这是用与模具粘合机侧视显微镜不同的显微镜拍摄的。图2(c)中的加热真空拾取工具允许对激光二极管进行局部加热,选择性地只融化目标键合插座中的焊料凸点。这种选择性加热使得多个激光二极管能够按顺序集成到同一个硅芯片上,如图2(d)所示。通过模具粘合机的对准平台向硅光子芯片施加辅助热量,减少了拾取工具加热到焊料熔化点所需的温度,从而最小化了对激光二极管的热暴露。

详细的翻转芯片键合过程首先是通过真空吸附将硅光子芯片固定在模具粘合机的平移平台上。接下来,将接触面朝下存放在纳米器件托盘(NDT-XT-RA,Gel-Pak)中的InGaN激光二极管由加热真空拾取工具拾取。然后,硅光子芯片和激光二极管被预热到270°C,这是低于AuSn焊料的熔化点的温度。此步骤最大限度地减少了随后键合过程中两个芯片之间的温差,在此过程中拾取工具被加热到400°C,从而减少了由于热膨胀引起的对准偏移。使用平移平台将硅光子芯片上的目标键合插座放置在激光二极管下方。通过手动将激光二极管和硅光子芯片上的对准标记通过视觉系统进行精确对准。一旦对准完成,激光二极管被放置到键合位置,并在检测到2 N的接触力时启动热键合过程。

在键合过程中,硅芯片的温度保持在270°C,而拾取工具的温度在5°C/s的升温速率下加热到最高400°C。加热30秒后,通过模具粘合机的通风孔,以每秒5°C的速率将平移平台和拾取工具冷却到40°C。整个过程保持2 N的接触力,以确保激光二极管保持在位置并确保与硅光子芯片上的键合插座始终保持一致的机械接触。冷却并使焊料凸点固化后,释放真空拾取工具的吸力,并将工具撤回。

由于拾取工具的锥形轮廓和小尖端以及与低温硅芯片的接触,预期在键合过程中激光二极管的温度保持在400°C工具设置以下。估算的最高温度约为315°C,位于拾取工具(400°C)和平台(270°C)之间,通过放置在它们之间的温度计(Voltcraft,302K/J)和热电偶(与激光二极管尺寸相似)进行测量。结合这些测量值和对键合参数(包括力、升温速率和持续时间)的反复调整,指导了工艺开发,旨在实现一致的后键合定位精度和焊接点完整性。

完整的翻转芯片键合周期,包括样本加载、激光二极管拾取、对准、热压键合和冷却,约需要15分钟。图2(e)展示了通过翻转芯片键合程序后混合集成的激光二极管,蓝色发光通过边缘耦合器耦合到SiN光子波导中。激光二极管的详细表征将在第4.1节中介绍。

3.2 模拟对准灵敏度

为了实现翻转芯片键合激光二极管与硅光子芯片之间的高效光学耦合,评估了两种类型的激光二极管到波导的耦合器设计。第一种设计是SiN反向锥形耦合器,它在键合插座面上具有150纳米宽的尖端,沿150微米的长度扩展至400纳米宽的单模波导。第二种设计是SiN锥形耦合器,它从插座面的3微米宽度收缩到400纳米,长度为190微米。反向锥形耦合器采用全厚度(120纳米)SiN材料,而锥形耦合器使用部分刻蚀的60纳米厚SiN层。图3(a)展示了激光二极管发射面和耦合器面上的模拟光模式分布,使用有限差分本征模求解器(Ansys Lumerical)获得。耦合器的尺寸是为了优化与激光二极管输出的模式匹配和耦合效率而选择的,这些尺寸是在制造工艺的特征尺寸约束下选定的。作为设计的一部分,锥形耦合器在部分刻蚀的SiN中实现,以减少垂直(Z轴)光学限制。

图3:激光到波导的模拟耦合。

(a) 激光面和SiN耦合器面上的光模式分布(包括反向锥形和锥形设计);𝜆 = 450 nm,横向电(TE)极化。

(b) 反向锥形耦合器的模拟平面内错位容忍度。

(c) 锥形耦合器的模拟平面内错位容忍度。

插图:激光二极管到波导耦合的示意图(俯视图)。

为了评估在理想对准条件下以及横向(Y轴和Z轴,图1(d)和图3(a))错位下的激光到波导耦合效率,进行了模态重叠计算。还进行了额外的三维有限差分时域(FDTD)电磁模拟(Ansys Lumerical),以评估纵向(X轴)错位的影响。在完美对准的情况下,反向锥形耦合器和锥形耦合器的模拟耦合损失分别为2.9 dB和0.6 dB。由于错位,相对于完美对准的情况,额外的耦合损失如图3(b)和图3(c)所示。

表1:激光二极管到波导耦合器在X、Y和Z轴方向上的模拟3 dB错位容忍度总结。单位:µm。

表1总结了翻转芯片键合激光二极管与硅光子芯片上的SiN耦合器之间的3 dB错位容差。由于激光模式在垂直方向(Z轴)上的光学限制较强,因此相较于其他两个方向,光学耦合对垂直错位的灵敏度更高。与反向锥形耦合器相比,锥形耦合器在X轴和Z轴上的错位更为敏感,这是因为它的垂直模式尺寸较小。相反,由于其较大的水平模式宽度,锥形耦合器对Y轴错位具有更大的容忍度。总体而言,由于更好的模式匹配,锥形耦合器在模拟中实现了较低的耦合损失,而反向锥形设计则提供了更大的错位容忍度。对于这两种耦合器几何形状,错位容忍度都比通常报道的近红外混合集成激光器要小【30,35】,主要是因为蓝色InGaN激光二极管的波长(≈450 nm)较短,且光学模式尺寸相应较小。通过使用多尖几何形状【36】或绝热耦合器【41】等方法,耦合器设计可能进一步优化,以提高错位容忍度。关于两种耦合器设计的旋转错位容忍度的额外模拟结果,请参见附录中的图S1。

3.3 键合过程表征

为了评估翻转芯片键合过程的可重复性,进行了40次激光键合实验(每种LD到波导耦合器设计20次)。对于每个键合的激光二极管,测量了键合后的平面内错位和耦合到SiN波导的芯片上光功率。由于InGaN激光二极管基板的透明性,键合后激光二极管和硅光子芯片上的对准标记仍然可见,见图4(a)。这一特性使得通过共焦激光扫描显微镜使用三维表面轮廓仪(Keyence VK-X3000)对齐标记进行平面内错位测量成为可能。对于每个样本,平面内错位计算为四对对准标记的平均偏移量。

图4:翻转芯片键合过程的表征。

(a) 代表性翻转芯片键合激光二极管(左)的共焦激光扫描显微照片,右侧为一组对准标记的放大视图。交叉:硅光子芯片标记;方框:激光二极管标记;两者均可通过激光二极管看到。显微图像质量受限于通过约100微米厚的激光二极管基板成像。

(b) 翻转芯片键合激光二极管的芯片上光功率分布(50 mA驱动电流下),使用反向锥形和锥形激光到波导耦合器;每种耦合器设计n=20个样本。

(c) 翻转芯片键合后沿X轴的平面内错位的直方图;n=40,分箱大小=0.5 µm,包含两种耦合器设计。

(d) 翻转芯片键合后沿Y轴的平面内错位的直方图;n=40,分箱大小=0.5 µm,包含两种耦合器设计。

图4(c)和图4(d)分别展示了40个样本的X轴和Y轴方向上键合后平面内错位的直方图。测得的错位的标准差(𝜎)分别为635 nm(X轴)和665 nm(Y轴),对应的平均值分别为268 nm和-7 nm。在两个方向上,85%的键合样本的错位在±1 µm范围内。共焦激光扫描显微镜系统的像素分辨率限制了约±140 nm的测量精度,这受到通过约100微米厚的InGaN激光二极管基板成像的光学分辨率降低的限制。键合后的激光到芯片对准精度主要受到模具粘合机定位精度的限制。此外,使用具有1 µm分辨率的模具粘合机引入了额外的对准约束。

表2:翻转芯片键合样本的测量旋转错位总结。报告了最大角度倾斜。旋转轴的定义见图1(d)。

通过白光干涉法使用三维表面轮廓仪对翻转芯片键合的激光二极管的角度倾斜进行了表征(参见附录材料中的图S2)。硅光子芯片上键合插座旁的空白区域作为倾斜度测量的参考平面。表2总结了采用两种耦合器设计的翻转芯片键合激光二极管样本的角度倾斜度。根据图S1中的模拟结果,这些角度偏差对应于估算的额外耦合损失小于0.5 dB。总体而言,键合后的旋转错位较小,因为对准标记和机械限位器有效地限制了翻转芯片键合过程中的角度倾斜。

对于光功率的表征,激光光源耦合到每个SiN波导后,通过边缘耦合器路由到输出芯片面,并耦合到单模光纤(Nufern S405-XP),然后用光功率计(Newport 2936-R, 818-SL/DB)进行测量。芯片上光功率的计算通过从测得的芯片外光功率中减去光纤到芯片边缘耦合器的损失(使用专门的测试结构单独测量)来完成。键合到硅芯片上的激光二极管在装有热电冷却器(TEC)并保持在21°C的铜散热器上进行表征,除非另有说明。每个激光二极管通过源测量单元(SMU,Keysight,B2912A)驱动,电流通过接触硅光子芯片上的UBM垫片的钨直流探针提供。

图4(b)总结了40个翻转芯片键合的激光二极管样本的芯片上光功率的测量结果。85%的反向锥形耦合器和90%的锥形耦合器样本的芯片上光功率≥5 mW。激光到波导耦合损失通过将翻转芯片键合的激光二极管(脉冲操作)的芯片上光功率与参考激光二极管(未经过翻转芯片过程,脉冲操作)在相同驱动电流下的发射功率进行比较来确定。脉冲操作减少了散热差异的影响,也减少了翻转芯片键合激光二极管与参考激光二极管之间的操作温度变化,从而实现了精确的比较。为这些额外的测量选择了12个样本。反向锥形耦合器的最小激光到波导耦合损失约为4.1 dB,锥形耦合器为约1.1 dB,相应的额外耦合损失(由于错位)分别为约1.2 dB和约0.5 dB(见表3)。图4(b)中的芯片上功率分布与第3.2节中的模拟结果一致,确认了相对于反向锥形耦合器,锥形耦合器对错位的灵敏度较高(由测量功率的更大范围表示),但实现了更高的耦合效率(反映为更高的最大光功率水平)。

表3:模拟和最小测量耦合损失总结,以及两种激光到芯片耦合器设计的芯片上光功率的测量结果。

𝑎 驱动电流为50 mA,功率表示为均值 ± 𝜎。

表3总结了模拟和测量的耦合损失以及芯片上光功率。测得的最小耦合损失与模拟结果在1.2 dB(反向锥形耦合器)和0.5 dB(锥形耦合器)内一致,对于反向锥形耦合器,较大的差异可能是由于其对尖端宽度小变化的更高灵敏度。样本间的芯片上光功率显示出显著的变异性,归因于激光到波导的错位容忍度,这与模具粘合机的定位精度相当。键合后沿X轴的测量标准差(635 nm)比模拟的3 dB错位容忍度小2.9倍,沿Y轴的标准差(665 nm)对于反向锥形耦合器大1.2倍,对于锥形耦合器小1.3倍,均在模具粘合机的规定定位精度范围内。尽管这些值仍然在模具粘合机的指定定位精度范围内,但减少芯片上光功率的变异性将需要具有更高精度的系统。第4.3节提供了通过亚300 nm精度提高耦合效率的估算,参考文献35。

翻转芯片键合过程使用来自拾取工具的局部加热将多个激光二极管独立地键合到单个硅光子芯片上,见图2(d)。当插座距离较近时,连续的键合步骤可能会热影响之前键合的激光二极管,从而可能改变其对准。为评估这一可能性,我们分析了芯片上光功率与键合顺序的关系。在40个集成的激光二极管中,26个键合到硅芯片上,这些芯片上托管着来自样本集的多个激光二极管;它们的测量结果展示在附录材料的第S2节中。

对于反向锥形耦合器,最初键合的激光二极管(暴露于后续键合步骤的热循环)与最后键合的激光二极管的平均功率为86%,而对于锥形耦合器,相应值为64%。与只键合单个激光二极管的硅芯片样本相比,这些平均值位于翻转芯片过程的变异性范围内。因此,尽管数据表明键合顺序可能有影响,但这种效应难以与过程变异性区分开来。翻转芯片过程和激光到波导耦合器设计的改进,以减少耦合变异性,可能有助于澄清这一效应的重要性,并且增加键合插座的间距可能减少连续键合步骤之间的热相互作用。

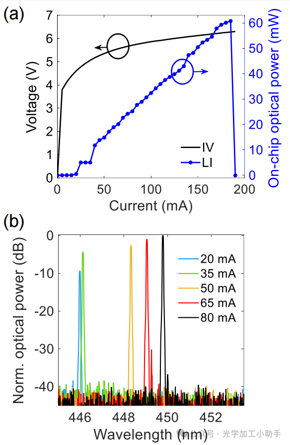
4.1 激光-电流-电压(L-I-V)曲线和光谱

混合集成激光二极管通过测量光功率-电流-电压(L-I-V)曲线和连续波(CW)操作下的光谱进行表征。图5(a)展示了键合激光二极管与硅光子芯片上的锥形耦合器对准后的L-I-V特性。该器件在本研究中实现了最高的芯片上(SiN波导耦合)光功率,达到60.7 mW,直至器件故障,故障原因归因于185 mA驱动电流下的高电流密度。该样品在驱动电流为150 mA时达到的最大芯片上墙插效率(WPE)约为6.0%,并在185 mA时降至约5.3%。图S4展示了另外两个激光二极管样本(LD1和LD2)的L-I-V曲线,分别在驱动电流超过144 mA和132 mA时观察到热翻转现象(没有激光二极管损坏)。LD1和LD2分别达到了42.1 mW和46.8 mW的最大芯片上光功率,其中LD2在40个键合的激光二极管样本中展现了最高的芯片上墙插效率(约7.8%)。

图5:翻转芯片键合激光二极管的表征,展示了本研究中实现的最高芯片上光功率。

(a) 在连续波(CW)模式下测量的L-I-V曲线。L:芯片上光功率;I:驱动电流;V:电压降。设备在185 mA驱动电流下发生故障。

(b) 在不同激光驱动电流下的光谱(归一化到80 mA电流时的峰值功率)。

通过后续组装环氧树脂填充,可以实现芯片上光功率的提升,环氧树脂填充可减少激光二极管和SiN波导耦合器之间的较大折射率不连续性,减少光学耦合界面的反射。通过增强散热,例如使用热导环氧树脂封装和/或更大的激光键合垫和焊料凸点,还可以进一步提高光功率。在本研究中,还进行了额外的测试,评估了环氧树脂填充和封装的影响。在激光到波导耦合界面应用了聚二甲基硅氧烷(PDMS,Sylgard 184),然后在激光二极管顶部涂上一层热导环氧树脂(Cotronics,Duralco 128)以促进散热(见附录材料中的第S4节)。在五个样本中,观察到芯片上光功率平均增加了12.6%。环氧树脂填充和封装仅在图S5中显示的测试中应用;除非另有说明,激光二极管表征均未进行这些步骤。

图5(b)展示了芯片上光功率最高的翻转芯片键合激光二极管的光谱,在不同驱动电流下使用光谱分析仪(Yokogawa AQ6374)测量。发射峰值位于约450 nm,随着驱动电流的增加呈现红移,符合激光加热在高驱动电流下的特性。测量的光谱线宽(半高宽)保持在0.05 - 0.10 nm范围内,受限于光谱分析仪的0.05 nm分辨率。在65 mA和80 mA的驱动电流下,观察到多个纵向模,侧模抑制比超过29 dB。

还进行了额外的测试,检查了激光二极管的极化特性,并评估了翻转芯片键合过程对激光二极管性能的影响。通过将发射的光(来自硅光子芯片或裸激光二极管)通过偏振器发送到自由空间探测器(Newport 918D-ST-SL),分析了翻转芯片键合的激光二极管和裸激光二极管的极化特性。两种激光二极管样本的极化都为TE极化,极化消光比>20 dB。单独地,通过比较激光二极管在经历了模具粘合机施加的热和压力后的串联电阻和发射功率,评估了翻转芯片键合过程(热和压力)对激光二极管性能的潜在影响(见附录材料中的第S5节)。为了直接测量激光二极管的发射功率(而不是波导耦合功率),将激光二极管安装在裸硅测试芯片上。然后,通过拾取工具将热和压力施加到激光二极管的顶部表面,并通过模具粘合机平台的额外加热,遵循与完整翻转芯片键合过程相同的力和温度曲线。仅观察到激光二极管性能的最小变化;在三样本的平均值中,串联电阻增加了约13.6%,发射功率增加了约13.3%。这种发射功率的轻微增加可能是由于金属粘合剂将激光二极管附着到硅芯片上以及施加的压力,这两者可能共同影响了热传导。

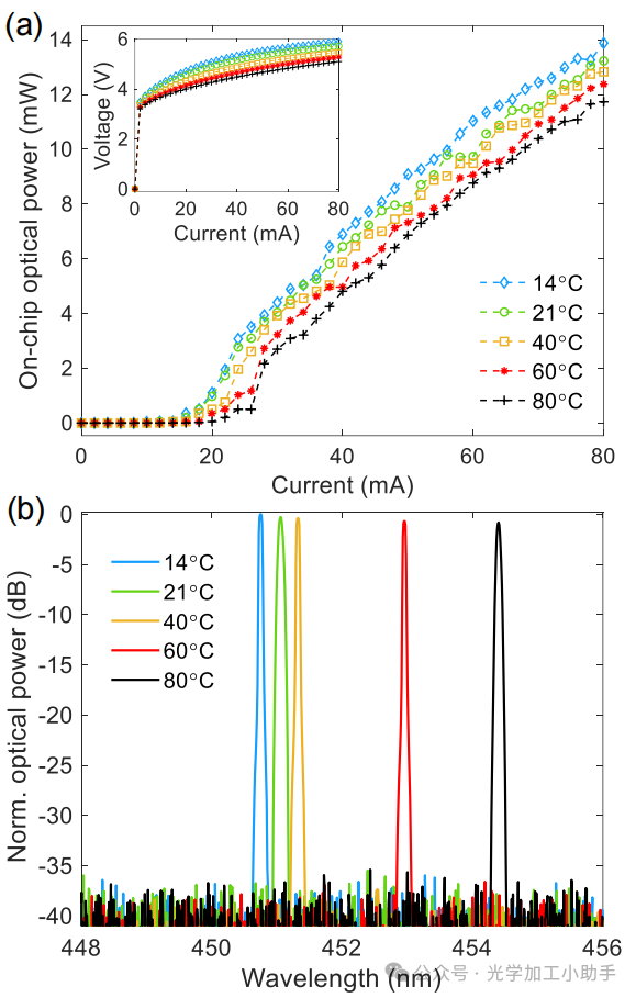
4.2 温度依赖性

翻转芯片键合的激光二极管的发射功率、电压降和光谱在14°C(露点以上)到80°C的温度范围内进行了测量,热沉温度由TEC控制器(Arroyo Instruments,5240系列)调节。图6展示了代表性激光二极管样本(与图5中的不同)的L-I-V曲线和光谱。图6(a)中的L-I曲线表明,随着热沉温度的升高,阈值电流从16 mA增加到22 mA,芯片上光功率下降(在80 mA驱动电流下约下降15.5%)。在高驱动电流下,较小的光功率下降归因于通过激光二极管金属接触到硅基板的直接热路径(通过AuSn焊料和UBM)实现的高效散热。通过从测得的L-I数据计算,这个激光二极管样本的特征温度估计为187 K,与之前报道的发射波长在440 nm到450 nm之间的蓝色InGaN激光二极管的值一致【42,43】。此外,图6(a)中的插图显示,随着温度的升高,激光二极管两端的电压下降,在80 mA驱动电流下约下降13.6%,与参考文献44和45中报告的蓝色InGaN激光二极管的温度依赖电压行为一致。

图6:代表性翻转芯片键合激光二极管的温度依赖性性能。

(a) 在不同温度下的L-I曲线。(插图)对应的I-V曲线。L-I-V曲线为三次测量的平均值。

(b) 对应于(a)的光谱;80 mA驱动电流,归一化到14°C时的峰值功率。

最后,图6(b)展示了翻转芯片键合激光二极管的发射光谱的温度依赖性。随着热沉温度的升高,峰值波长发生了红移。光谱线宽在测试的温度范围内保持在0.05 nm到0.10 nm之间。与图6(a)一致,在更高的温度下,峰值光功率略微下降。


4.3 性能总结与比较

翻转芯片键合的单模450 nm InGaN激光二极管实现了高达60.7 mW的波导耦合芯片上光功率和高达7.8%的芯片上墙插效率。激光二极管的串联电阻和发射功率在翻转芯片组装后仅发生了轻微变化。总的来说,这些结果展示了该技术可实现的高峰值性能,同时表明在混合集成过程中对激光二极管的损伤最小。

本演示的主要限制在于键合后对准的变异性,进而影响芯片上光功率,从而限制了当前被动对准翻转芯片键合方法的可重复性和组装产率。预计通过使用具有更高定位精度的模具粘合机和具有更大错位容忍度的激光到波导耦合器设计,将改善组装产率。基于图3中的模拟对准灵敏度,从图4中报告的标准偏差(X轴为635 nm,Y轴为665 nm)提升至300 nm(在文献35中使用的模具粘合机的定位精度),将减少反向锥形耦合器在X轴和Y轴上的额外耦合损失分别为0.16 dB和2.1 dB,锥形耦合器在X轴和Y轴上的额外耦合损失分别为0.17 dB和1.3 dB。此外,已有报告在可见光谱中使用多尖边缘耦合器,模拟的1 dB平面内错位容忍度为2.6 µm(横向,Y轴)和3.5 µm(纵向,X轴)【36】,相比表1中的容忍度,提供了显著的改进。

表4:使用被动对准翻转芯片键合的混合集成激光器/放大器演示比较。

InP:磷化铟,DFB:分布反馈,GaAs:砷化镓,SOA:半导体光放大器,RGB:红、绿和蓝。

𝑎 仅报告一个样本的结果。

𝑏 来自集成光子芯片的自由空间发射,结合了3个激光二极管(红、绿、蓝)。

表4将本研究与其他在可见光和近红外波长范围内使用被动对准翻转芯片键合的混合集成激光器的演示结果进行了比较。尽管在较短波长(光学模式尺寸减小)下激光到波导对准灵敏度较高,且我们的模具粘合机的定位精度有限,本研究展示了高达60.7 mW的芯片上光功率和最小耦合损失为1.1 dB的翻转芯片键合蓝色激光二极管。这些结果与近红外波长范围内使用被动对准翻转芯片键合技术所取得的最佳报告性能相当【34】。与可见光谱中的类似演示结果相比【7,36】,本研究在芯片上光功率方面达到了约6倍的提升。

5 光子集成电路演示

在本节中,我们展示了一个概念验证的主动光子集成电路(PIC),将我们硅光子平台的热光开关和光电探测功能与混合集成的InGaN激光二极管(LD)结合。激光二极管通过第3.1节中的方法翻转芯片键合到PIC上的插座。发射的光通过SiN功率分流器进行引导,分流一小部分到波导耦合的光电探测器进行功率监测,随后通过热光开关,见图7(a)。功率分流器采用了一个指数耦合器,设计的功率耦合率约为1%。200纳米宽的SiN波导被引导到一个200微米长的Si PIN结下方,形成光电探测器【39】。光学开关采用了Mach-Zehnder干涉仪配置,每个臂上有一个324微米长的热光相位调制器。该热光相位调制器具有一个TiN加热器,并且配备了一个3次折叠波导和热隔离槽,以提高相位调制效率,见图1(a);未进行刻蚀。该开关支持在两个输出端口(输出1和输出2)之间的光学切换,并且支持在一个选定的输出端口进行可变光衰减。输出端口被引导到芯片面上的边缘耦合器,以便耦合到单模光纤中。钨针探针对Si光子芯片上的UBM和铝垫片进行接触,以施加电驱动信号。

5.1 光学开关和可变衰减

图7(b)展示了PIC的光学开关操作,通过驱动激光二极管和热光相位调制器实现。图7(c)绘制了随着加热器功率消耗变化的归一化PIC光学输出功率。通过图7(c)的前半周期计算了光学开关的消光比(ER)和热光相位调制器中的𝜋辐相位偏移(P𝜋)的加热器功率。输出1和输出2的ER分别为24.4 dB和23.5 dB,相应的P𝜋值分别为12.7 mW和13.4 mW。尽管本文未表征开关速度,但已有报告显示类似的热光开关具有11.8 kHz的开关速度【47】。

图7:具有翻转芯片键合激光二极管(LD)、集成光电探测器和热光(TO)开关的光子集成电路(PIC)。

(a) 激光键合前的PIC显微照片。

(b) 激光键合后的PIC显微照片,展示了键合激光器的操作以及在输出波导(输出1和输出2)之间的切换。

(c) 热光开关操作:PIC的归一化输出光功率与热光相位调制器的加热器功率消耗的关系。

(d) 使用开关进行可变光衰减:在不同光功率水平下的PIC输出1的归一化光谱。激光驱动电流为35 mA。

当仅使用一个输出端口时,光学开关也可作为可变光衰减器(VOA)。此功能在需要精确的、高动态范围的光功率控制而不伴随波长偏移的应用中非常有价值,如基于激光的显示器。在LD电流调节中,由于波长依赖于电流,并且在阈值附近L-I特性的不线性,控制波长变得非常困难,见图5。为了演示PIC的VOA操作,激光二极管在35 mA的恒定电流下驱动,同时变化施加到相位调制器上的加热器功率,以控制输出1的光功率。图7(d)展示了在不同光功率水平下,相对于峰值光功率的输出1的归一化光谱。峰值发射波长(≈451.8 nm)和光谱线宽(0.05 - 0.10 nm)在所有测量的光功率水平下保持稳定(涵盖了13 dB的衰减),这归因于恒定的LD驱动电流。

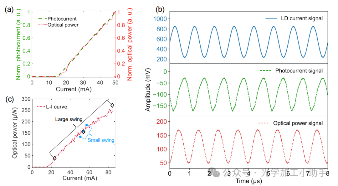
5.2 芯片上功率监测

通过集成的光电探测器进一步测试了PIC的主动功能,监测翻转芯片键合的激光二极管的发射功率。通过直流(DC)和交流(AC)激光二极管驱动条件,表征了来自芯片上光电探测器的光电流。图8(a)展示了DC功率监测特性,通过变化LD驱动电流比较芯片上光电流和芯片外功率测量。为了便于比较,曲线进行了归一化。光电流和光功率曲线一致,都在激光阈值以上显示出高度的线性。

图8:使用图7(a)中的集成光电探测器进行的PIC功率监测演示。

(a) 归一化的直流光电流和来自PIC的输出光功率与激光二极管驱动电流的关系;数据为7次测量的平均值。

(b) 在1 MHz的正弦波激光二极管电流调制下,示波器采集信号的比较。

(c) 比较芯片外光功率与直流驱动电流(L-I曲线)和激光二极管调制过程中的动态光功率(正弦调制的最大值、平均值和最小值)。L-I曲线为4次测量的平均值。展示了小幅度和大幅度激光二极管调制情况,用彩色括号区分。

对于交流调制,芯片上光电流与LD驱动电流波形进行了比较,并与通过外部探测器记录的参考芯片外光功率进行比较。在这些测量中,LD通过源测量单元进行直流偏置,并使用任意函数发生器(AFG,Tektronix AFG31000)调制1 MHz正弦波交流信号。直流偏置和交流调制信号通过偏置T形接头(Pasternack,PE1BT1002)结合,以驱动LD,串联一个10Ω的感应电阻,用于测量调制过程中的电流。集成光电探测器在2 V的反向偏置下使用源测量单元的第二通道进行偏置,并通过跨阻放大器(TIA,Koheron TIA100-2k-SMA)放大其光电流。调制的光学输出通过单模光纤收集,并由芯片外的Si可切换增益探测器(Thorlabs,PDA36A2)进行检测。LD电流(通过串联感应电阻测量)、来自集成光电探测器的光电流和芯片外光功率被同时记录在示波器(Keysight,DSOX4054A)上。测量设置的示意图见附录材料中的图S7。

在调制过程中,LD被偏置在53 mA的直流电流下,以确保稳定的发射并避免在调制幅度内发生热翻转。测试了大电流摆动和小电流摆动两种情况,AFG电压幅度分别为0.5 V𝑝𝑝和4.5 V𝑝𝑝。图8(b)展示了LD调制过程中大电流摆动情况下的LD电流、芯片上光电流和芯片外光功率信号。光电流信号与LD电流信号同步,显示出相位反转,这是由TIA的反相操作引起的。图8(b)底部面板展示了芯片外光功率,和LD电流信号相比,光功率信号略有相位偏移,可能是由于可切换增益探测器的内部相位延迟。在所有三个信号中,1 MHz的频率和正弦波形保持一致。

通过示波器电压轨迹的计算和标定测量,确定了在调制过程中的LD电流和芯片外光功率的幅度。通过已知的感应电阻值,发现LD电流在大电流摆动下变化范围为≈23.5 mA到≈84.0 mA,在小电流摆动下变化范围为≈50.4 mA到≈57.0 mA。接下来,应用附录材料第S7节中描述的程序,提取了由芯片外探测器测量的光功率调制幅度(称为动态光功率)。图8(c)比较了DC芯片外光功率与电流(静态L-I曲线,经过4次测量平均)与交流调制过程中的最大、平均和最小芯片外光功率。图8(c)中展示了大电流摆动和小电流摆动两种情况。得到的动态功率值紧跟静态L-I曲线,表明光功率调制(最大与最小之比)分别为≈7.1×和≈1.4×。静态与动态光功率之间的微小差异来自这些操作条件下激光二极管的固有温度变化。

5.3 集成展望

本研究展示的可见光激光二极管与芯片上热光调谐和光电探测的集成,为可见光谱PIC提供了实用且基础的功能集,特别是在启用波长可调激光器方面,具有广泛应用,如量子信息处理【48】、光谱学【49】和生物传感【50】。最近关于可见光激光二极管和增益芯片与SiN PIC的主动对准集成已经展示了通过热光控制反馈实现的波长调谐【31,32】。如本研究所示,集成光电探测器为完全集成的波长可调激光器开辟了新的机会。原则上,这些芯片上设备将允许对发射功率(通过功率分流器)和波长(通过集成波长计)进行稳定和跟踪。

此外,本研究中集成的构建模块直接适用于新兴的基于PIC的微显示器,用于增强现实和虚拟现实【6,7】。在这些系统中,芯片上的开关和可变光衰减器可以实现到不同发射器的紧凑动态路由和亮度控制,同时集成的光电探测器可以促进亮度监控,这对于确保眼睛安全尤为重要。在这些应用中,结合铸造厂制造的Si光子学和被动对准翻转芯片激光二极管键合为扩大PIC复杂度、晶圆制造规模和组装吞吐量提供了直接路径。

如我们最近的工作所示【26】,该平台上类似的集成光电探测器实现了最高18 GHz的带宽,并支持雪崩增益。第5.2节中测试的1 MHz交流调制受限于跨阻放大器(TIA,2 MHz)和用于芯片外功率测量的可切换增益探测器(10 dB增益时为1.6 MHz)的带宽,而不是由设备本身限制。未来的PIC实现可以集成直接调制的混合集成可见光激光二极管阵列,结合高带宽、敏感的光电探测器,可能成为短距离互联【51】和水下通信【15】的新型微系统的基础。

尽管本文未展示,但我们的可见光硅光子平台也支持用于光束扫描的微电机械系统(MEMS)。这些可以通过刻蚀硅基板来释放可移动的SiO2包覆悬臂梁,或通过晶圆薄化来定义具有稳健硅背骨的大结构来实现。将波导发射器集成到这些设备中可实现紧凑型光束扫描仪;我们最近展示了电热驱动的SiO2扫描仪【52】和由共封装压电驱动的Si MEMS【19】。将这些设备与芯片上激光器集成,将实现紧凑型、完全集成的光束扫描系统,为下一代微显示器和先进的扫描显微镜系统【53】等应用开辟新的可能性。

6 结论

总之,我们展示了将蓝色、450 nm波长的InGaN激光二极管通过被动对准翻转芯片键合集成到铸造厂制造的可见光硅光子平台上的混合集成。通过激光二极管和硅光子芯片的共同设计,包括精确图案化的对准标记和机械限位器,翻转芯片键合过程实现了亚微米级的平面内激光到芯片的对准精度。在40个翻转芯片键合的激光样本中,测得的耦合到硅光子芯片的光功率达到60.7 mW。实现了最高的芯片上墙插效率7.8%和最小耦合损失1.1 dB。热表征表明,翻转芯片键合的激光器在高达80°C的温度下稳定工作,并保持较高的光输出功率。我们展示了一个概念验证的主动光子集成电路,集成了一个翻转芯片键合的激光二极管、一个集成的波导耦合硅光电探测器作为芯片上功率监测器,以及一个热光开关用于动态光学路由和可变光衰减。

总体而言,本工作为可扩展的可见光波长激光二极管在硅光子平台上的混合集成建立了一个新的基准。尽管在减少激光到芯片对准变异性方面仍然面临挑战,但高精度模具粘合技术和激光到波导耦合器设计的进展为进一步改进提供了清晰的路径。翻转芯片键合方法中使用的局部加热与在单个PIC上集成多个激光二极管兼容,未来的工作将集中于在多个波长上集成激光器。我们预见到,我们平台的结合功能,包括混合集成激光器、热光器件、光电探测器和MEMS器件,将使得完全集成的波长可调激光阵列以及用于增强现实、虚拟现实、量子信息处理、生物光子学和数据通信的复杂光子集成电路成为可能。

关于我们:

OMeda成立于2021年,由3名在微纳加工行业拥有超过7年经验的工艺,项目人员创立。目前拥有员工15人,在微纳加工(涂层、光刻、蚀刻、双光子印刷、键合)等领域拥有丰富的经验。 同时,我们支持4/6/8英寸晶圆的纳米加工。 部分设备和工艺支持12英寸晶圆工艺。针对MEMS传感器、柔性传感器、微流控、微纳光学等行业。

中国(上海)自由贸易试验区临港新片区业盛路188号450室 电话:+86 188 233 40140 邮箱:jing.chen@omeda-optics.com

来源:OMeda

关于我们

OMeda(上海奥麦达微)成立于2021年,由3名在微纳加工行业拥有超过7年经验的工艺,项目人员创立。在微纳加工(镀膜、光刻、蚀刻、双光子打印、键合,键合)等工艺拥有丰富的经验。 同时,我们支持4/6/8英寸晶圆的纳米加工。部分设备和工艺支持12英寸晶圆工艺。针对MEMS传感器、柔性传感器、微流控、微纳光学,激光器,光子集成电路,Micro LED,功率器件等行业。

姓名:*
邮件:*
公司名称:
电话:*
您的需求: