上海奥麦达微电子有限公司

专业高效
微纳加工公司

STO外延片+量子--在低温量子电光应用中,工程化高Pockels系数的薄膜钛酸锶(imec 根特 )

#sto外延片 #bto外延片 #低温量子器件 #光量子器件

总结
展现泊克尔效应的材料因其强烈的电光相互作用和快速响应时间而在经典电光元件中得到广泛应用,尤其是在数据和电信领域。然而,许多优化用于室温操作的材料,其在低温下的泊克尔系数显著降低,这对新兴的量子技术构成了主要障碍,因为这些技术的要求比经典技术更加严格。一个典型的例子是钛酸钡(BaTiO3),其在室温下具有最强的有效泊克尔系数,但在几开尔文的低温下,其系数会降至三分之一(即 reff ≈ 170 pm/V)。在这里,我们展示了这种行为并非内在的,甚至可以逆转:钛酸锶(SrTiO3)这种通常不具备泊克尔系数的材料,可以通过工程化处理,在低温下展现出345 pm/V的有效泊克尔系数——这一数值在任何薄膜电光材料中都是创纪录的。通过调整化学计量比,我们可以提高居里温度,从而实现一个具有高泊克尔系数的铁电相,并且光学损失有限——约为每厘米分贝级别。我们的研究发现使得钛酸锶成为低温量子光子学应用中最有前景的材料之一。

#0:10mm-10mmsto衬底-bto薄膜(300nm厚度可定制)

#1:sto外延片

2寸 外延 sto 2-20nm(可定制)- 2um Sio2(可定制) -Si(可定制)

#2:a向 bto外延片

2寸 外延 a-向 bto(300nm或者500nm,或者定制)-sto 8nm(可定制)- 2um Sio2(可定制) -Si(可定制)

#3:C向 bto外延片

2寸 外延 c-向 bto(150nm或者300nm,或者定制)-sto 8nm(可定制)- 2um Sio2(可定制) -Si(可定制)

#离子注入铒代工

#6寸DUV步进式光刻代工,最小线宽180nm,超高性价比,可以只曝光

划重点--销售晶圆和加工
SOI晶圆:--220nm薄膜/ 3um厚膜-3umSIO2-675um

ALOOI晶圆;--氧化铝薄膜晶圆,键合工艺和镀膜工艺

TAOOI晶圆--氧化钽薄膜晶圆,镀膜工艺

SINOI晶圆--超低损耗氮化硅薄膜晶圆,210nm-300nm-400nm-800nm

SICOI晶圆;新型量子光学平台500nm-700nm-1um

6寸LTOI晶圆批量供应;铌酸锂的有力的竞争对手,薄膜钽酸锂晶300600

8寸LNOI晶圆;8寸LNOI助力更大规模薄膜铌酸锂产品量产

LN/LT-SOI/Si/SIN  W2W&D2W异质集成

流片: 6寸 氮化硅 铌酸锂 硅光 超高性价比流片, 1个BLOCK的价格买一整片晶圆

划重点--全国产-超高性价比-6 寸硅光-氮化硅-铌酸锂流片白皮书

我们为客户提供晶圆(硅晶圆,玻璃晶圆,SOI晶圆,GaAs,蓝宝石,碳化硅(导电,非绝缘),Ga2O3,金刚石,GaN(外延片/衬底)),镀膜(PVD,cvd,Ald,PLD)和材料(Au Cu Ag Pt Al Cr Ti Ni Sio2 Tio2 Ti3O5,Ta2O5,ZrO2,TiN,ALN,ZnO,HfO2。。更多材料),键合(石英石英键合,蓝宝石蓝宝石键合)光刻,高精度掩模版,外延,掺杂,电子束光刻等产品及加工服务(请找小编领取我们晶圆标品库存列表,为您的科学实验加速。

请联系小编免费获取原文

图片
文章名:Engineering high Pockels coefficients in thin-film strontium titanate for cryogenic quantum electro-optic applications
作者:Anja Ulrich1,2*, Kamal Brahim1,3*, Andries Boelen1,4*, Michiel Debaets1,2, Conglin Sun1,5, Yishu Huang1,2, Sandeep Seema Saseendran1, Marina Baryshnikova1, Paola Favia1, Thomas Nuytten1,Stefanie Sergeant1, Kasper Van Gasse1,2, Bart Kuyken1,2, Kristiaan De Greve1,3, Clement Merckling1,4, Christian Haffner1†
单位:

1) Imec, B-3001 Leuven, Belgium  

2) Department of Information Technology (INTEC), Photonics Research Group, Ghent University, B-9052 Ghent, Belgium

3) Department of Electrical Engineering (ESAT), KU Leuven, B-3001 Leuven, Belgium

4) Department of Materials Engineering (MTM), KU Leuven, B-3001 Leuven, Belgium  

5) Department of Physics and Astronomy, KU Leuven, B-3001 Leuven, Belgium

引言——相变、介电常数与非线性
量子应用,包括微波光子到光学频率的转换和高效光子探测,要求整个光学系统(包括电光换能器)进行低温冷却。在量子领域,每一个光子都至关重要——因此,所使用的电光材料需要在4K及以下温度下提供量子要求的改进性能。这种性能的提升使得更短的电光换能器成为可能,从而最小化光子的损失。电光材料的性能通常由泊克尔系数(r)与材料折射率的立方(n³)之积来量化——即 n³·r。与电光材料的损耗一起,这些是优化电光系统时最重要的参数。

图1:
a) 报告的已知薄膜泊克尔材料在二氧化硅上的有效电光强度,如铌酸锂(LiNbO3)、有机染料(OEO)、钛酸钡(BaTiO3)和本文中的钛酸锶(SrTiO3),在室温和约4K下的表现 [补充材料5]。钛酸锶展示了最大的系数,突显了其在低温应用中的潜力。
b) 钛原子的能量与极化势的关系,展示了量子顺电相(QPE)和铁电相(FE)之间的势能差异。在量子顺电相中,量子涨落阻碍了钛原子的局域化,未能形成适当的铁电相转变。
c) 介电常数与温度的示意图,展示了居里温度(TC)附近模式软化的影响,分别针对薄膜(tf)和块体钛酸锶(QPE)的情况。给出了不同情况下的超极化率,指示了对称(δ = 0)或破对称(δ ≠ 0)相的形成。
d) 4K下块体钛酸锶的中心对称晶体结构。
e) 薄膜钛酸锶的破对称晶体结构,钛原子位移对应于图b中铁电势能的两个能量极小点。

图1(a)比较了各种泊克尔材料(如铌酸锂(LiNbO3)、有机电光染料(OEO)和钛酸钡(BaTiO3))在室温和低温下的 n³·r 值。比较中的一个固有问题在于,泊克尔系数是张量形式的,而非标量。为了比较不同材料,这里使用的泊克尔系数是一个有效的标量值(reff),其中张量元素按光学和射频(RF)场的强度加权。

米勒经验法则14:r ∝ (εr - 1)·δ,说明了泊克尔系数(r)与材料在原子层次上破坏反演对称性(δ ≠ 0)的能力之间的复杂关系。因此,它显著增强了材料的线性极化率(εr - 1),该极化率与材料的介电常数εr有关,并通过一个因子δ(超极化率)进行放大。根据米勒法则,可以采用两种实用策略来设计具有高泊克尔系数的材料:一是使用具有高超极化率和不可忽略的线性极化的材料;二是通过设计材料来获得大的线性极化和非零的超极化。第一种策略可以使用染料分子,这些染料通过破坏电子云的对称性来表现出大的超极化率;这一过程是通过在π桥的两端附加强受体和供体基团实现的,同时线性极化率保持在个位数内14。有机染料在4K下的泊克尔系数可达到140 pm/V,仅比室温值低约10%。为了实现如此大的超极化率,π桥需要有几纳米长,这导致了相对窄的带隙(约1 eV),从而引起吸收损失,通常≥1 dB/cm13,14,并且带来了自己的挑战。

作为第二种策略的一部分,铁电复合氧化物通过在埃米级别上位移原子打破对称性——从而导致一个非零但显著较低的超极化率。相反,它们的电光响应主要由射频(RF)谱中的大介电常数驱动,这些常数源自材料共振现象,如空间电荷区、偶极弛豫和声学晶格共振。然而,只有后者的共振延伸至GHz频率范围——为量子应用提供所需的带宽。总体而言,复合氧化物相比有机染料,具有更好的材料稳定性和较低的光学损耗。因此,问题变成了如何实现这种介电常数工程?根据对称配置,铁电相被认为是实现非零超极化率所必需的。当冷却至铁电相转变至顺电相时,声学模式往往会软化,从而导致较大的介电常数。因此,通过在居里温度(TC)稍低但“接近”的铁电相下工作,可以预期获得较高的介电常数,如图1 c)所示,从而增强电光效应。然而,这种工程必须在过渡过程中的损耗与居里转变(克拉默-克罗尼格效应)之间取得平衡。已知的复合氧化物中,铌酸锂(LiNbO3)是一个典型的泊克尔材料示例,因其非常低(亚分贝每米)的吸收损耗和已验证的可靠性,在光通信中得到应用。然而,由于铌酸锂的声学模式相对刚性(TC ≈ 1200 K),其共振增强较为有限,导致其线性介电常数为30,仍然比较适中,这使得其在低温下的电光系数为24 pm/V——远低于例如染料分子的值。相比之下,钛酸钡(BaTiO3)具有400 K的居里温度,在室温下提供几千的高线性介电常数——将reff提升到520 ± 20 pm/V。然而,这种效果在低温下并不持续,因为声学模式变硬,且钛酸钡在冷却过程中还会经历几个晶体相变15。这导致了较低的线性介电常数,因此泊克尔系数下降至reff ≈ 170 ± 20 pm/V。

对于低温应用,接近工作温度的低居里温度材料看似适用;然而,这初看起来似乎不切实际。居里温度约为37 K的钛酸锶(SrTiO3)便是低TC材料固有问题的一个例子,由于量子涨落,它会阻碍顺电相到铁电相的转变16。最终的结果是一个量子顺电材料,直到现在都未被认为是泊克尔材料。图1 b) 基于中心钛原子的能量势能图展示了这一行为。在量子顺电相中,钛原子的基态并未局限于两个势能极小点,这使得其极化率较高,因为钛原子可以被弱电场强烈位移。然而,缺乏破对称性(δ = 0)导致泊克尔系数为零。

在本研究中,我们通过工程化薄膜钛酸锶打破其对称性,挑战了这一传统理解。我们在硅基片上外延生长了钛酸锶薄膜,并随后将其粘接到二氧化硅基底上。薄膜中略偏钛的成分与应变相结合,使得其居里温度提高至100 K,足够高以抵消量子涨落的影响,从而实现一个适当的、破对称的相,如图1 e)所示。然而,居里温度仍然足够低,能够受益于由于晶格共振所带来的高介电常数。在这种条件下,我们的薄膜钛酸锶在4 K下展现出约345 ± 30 pm/V的电光强度。此外,专门的外延生长和随后的退火优化使得薄膜具有低光学损耗——约为每厘米分贝级别,这与以往报告和传统假设(认为薄膜钛酸锶层具有较高的光学损耗)相对立。最近,在同位素掺杂的量子顺电钛酸锶中,观察到了在直流偏置下出现的较大的二次电光克尔效应18;其等效的泊克尔系数为1150 pm/V。我们关于晶圆级薄膜钛酸锶的研究与在块体晶体中观察到的大二次电光克尔效应相结合,强调了钛酸锶在电光性能上超越传统泊克尔材料的潜力。

工程化对称性破缺与铁电性

高质量的外延钛酸锶(SrTiO₃)薄膜通过分子束外延(MBE)方法在200毫米(001)取向的硅片上生长,略微富含钛元素19。通过卢瑟福背散射光谱(RBS)测定了Sr/Ti的化学计量比为0.96 ± 0.03。我们预计这种稍微富钛的化学计量比能在破对称性20和保持较高的晶体结构之间提供良好的平衡——后者要求生长条件接近Sr/Ti = 1。生长完成后,硅片被粘接到低折射率的SiO₂盒子上,以光学隔离钛酸锶薄膜与高折射率的硅基底之间的相互作用 [补充材料1]。此外,进行了高温氧气退火处理,以降低氧空位浓度并进一步提高薄膜的结晶性21。薄膜的结晶性通过X射线衍射(XRD)进行量化,并与商业参考材料进行对比,比较了SrTiO₃(002)衍射峰的ω扫描半高宽(FWHM)数据。图2 a) 显示了FWHM晶圆图,平均FWHM为0.11 ± 0.02。相比之下,16块商业钛酸锶(001)晶体衬底(1 x 1 cm²)的XRD分析显示FWHM为0.022 ± 0.007°。此外,透射电子显微镜(TEM)分析确认了SrTiO₃层的外延特性,显示了清晰的SiO₂/SrTiO₃界面,见图2 b)。在异质外延薄膜中常见的穿透位错垂直延伸至整个SrTiO₃层,从基底界面延伸到顶部表面。这些位错可以作为空间电荷区,破坏晶格的均匀性并增加电导率。

图2:
a) SrTiO₃ (002) ω扫描的FWHM,映射到整个200毫米晶圆上,显示了晶体质量的良好均匀性。
b) 外延105纳米SrTiO₃薄膜的横截面透射电子显微镜(TEM)图。插图突出了薄膜的结晶性。
c) 相对介电常数(εr)与频率响应的关系,频率范围从100 kHz到1 GHz,在5 K下,显示了一个大但缓慢下降的介电常数,这驱动了广泛频率范围内强泊克尔系数的表现,直至1 GHz。
d) SrTiO₃在100 MHz频率下从5 K到300 K的介电常数温度依赖性。约100 K时发生顺电到(非中心对称)铁电相的转变,导致所需的对称性破坏,从而使泊克尔系数得以存在。
e) SrTiO₃薄膜的温度依赖拉曼光谱。随着温度从室温(RT)降至低温,大约在173 cm⁻¹处出现拉曼信号。该信号对应于声学晶格共振,涉及钛和氧原子的振动位移,表明晶体对称性的破坏。

使用阻抗谱直接测量了大范围低温射频介电常数。通过特别设计的指状电容器,进一步扩展了这些测量,涵盖了从5 K到300 K的广泛温度范围,以及从100 kHz到1 GHz的频率范围。随着温度从5 K升高到室温,介电常数在100 K时达到峰值,然后在室温下降至约600,如图2 d)所示。这种行为通常与顺电相(高温)到铁电相(低温)之间的相变相关,居里温度附近的相变破坏了晶体对称性,并导致非零的泊克尔系数。尽管纯铁电材料通常在居里温度(TC)处具有尖锐的相变,但我们的SrTiO₃薄膜在降温过程中展示了从顺电相到铁电相的较宽且连续的过渡。此外,我们观察到介电常数随频率的轻微降低,从100 kHz时的2700降至1 GHz时的2500(图2 c))。这种相变的宽化和随频率的介电常数降低通常与放松型铁电行为相关——与极性纳米区域相关22,23。对这些极性纳米区域进行极化和去极化会对低频下的相对介电常数产生贡献。我们的测量表明,这种低频效应限制在总介电常数的约10%左右。由于泊克尔系数与介电常数成比例,我们的数据(图2 c))表明,SrTiO₃的高泊克尔系数可以维持在GHz操作范围内。

为了验证SrTiO₃的铁电相转变,进行了温度依赖的拉曼光谱测量以观察声学晶格模式,见图2 e)。在(量子)顺电相中的SrTiO₃,第一阶拉曼散射(仅涉及一个声子)由于单位晶胞的中心对称性被禁止。随着温度降低,大约在173 cm⁻¹处出现一个峰,这对应于晶格模式,特别是所谓的斯莱特模式的纵向分量和拉斯特模式的横向分量,两者的振荡频率为5.2 THz。斯莱特模式描述了Ti和O原子沿c轴(钛位移轴)的相反振动位移,而拉斯特模式则对应于TiO₆八面体和Sr离子的耦合振动22,23。低于200 K时该峰的(逐渐)出现,表明晶体的中心对称性(逐渐)被破坏,进一步支持了我们观察到的放松型铁电行为24。室温下的晶格参数为a = 3.905 ± 0.005 Å(面内)和c = 3.901 ± 0.005 Å(面外),这表明钛酸锶的单位晶胞类似于块体材料(abulk = 3.905 Å) [补充材料2]。然而,由于薄膜和基底之间的热膨胀系数(CTE)差异为三倍,样品降温时会引起大约0.18%的应变。这可能有助于上述提到的SrTiO₃铁电相转变。相反,生成的应变可能仍部分通过位错得到松弛,从而进一步研究需要估算低温下SrTiO₃的有效应变。

电光相互作用强度与带宽

钛酸钡(BaTiO₃)或钛酸锶(SrTiO₃)的对称性破缺相是通过单位晶胞内钛原子的位移实现的。自然,这种位移可以发生在任何方向,其随机性导致了宏观上为零的电光效应。施加极化电场可以使原子的位移对齐,从而产生宏观电光响应。为了研究我们薄膜的极化行为并量化电光响应强度,设计了一个马赫-曾德尔干涉仪(MZI)。我们使用了装载了聚甲基丙烯酸甲酯(PMMA)波导,并结合铬/铂电极来测量钛酸锶(SrTiO₃)在4 K下的电光特性。PMMA和SiO₂基底可以认为在电光上是惰性的,确保观察到的效应主要是由于钛酸锶层内43%的光 confinement(光束约束),见图3 a)。

图3:
a) (左)设备的示意横截面,包括(右)模拟的光模式分布。
b) 俯视图显示了弯曲的马赫-曾德尔干涉仪(MZI),其中黑色箭头标示了铁电晶体结构。底部臂由电信号调制,并与上部臂发生破坏性/建设性干涉,通过测量传输功率来跟踪相位变化。
c) (顶部)施加的20 Hz、1.6 V/μm驱动信号的一周期,(底部)MZI的光输出功率响应。
d) 施加电场与下部MZI臂引起的相位变化的关系,显示所谓的极化行为,其中蓝色和红色分别对应电压的下扫和上扫。垂直虚线标记了强制场Ec = 0.6 ± 0.05 V/μm,表明有滞后现象,确认了铁电性。
e) 从图d)中提取的泊克尔系数reff。在1.6 V/μm下的极化值为140 ± 30 pm/V,虚线标出。文中报告的345 ± 30 pm/V对应于上扫方向(红色)中的(剩余)零场值。
f) 电光带宽测量(10 Hz到1 MHz),如插图所示。交流信号导致每个交流振荡周期(紫色箭头)平均光功率的下降,这取决于电光强度。对于低于20 Hz的频率,响应下降——这可能来源于潜在的直流屏蔽效应。

测量的波导传播损耗主要由耦合泄漏到基底模式所主导;通过量化这些损失,我们估计我们的SrTiO₃薄膜的材料损耗低于5.5 dB/cm [补充材料6]。施加电场(EAC)会引起底部波导中光的相位变化(Δψ ∝ vpol · reff · EAC)。其中,vpol描述了钛原子沿相同方向位移的程度,对于完美对齐,vpol可以达到±1。图3 b)中展示了设计的MZI,该装置用于将电场引起的相位变化转化为光功率的调制,具体通过调制和未调制臂之间的光的干涉(包括破坏性和建设性干涉)实现。图3 c)显示了一个20 Hz正弦极化场(顶部,1.6 V/μm幅度)作用下输出功率随时间的变化(底部)。功率的强烈振荡表明存在大的电光效应,具体来说,电压变化0.084 V/μm会导致π相移——这对应于VπL ≈ 1.04 ± 0.08 Vcm [补充材料4.2]。

提取的相位与施加电场的关系 [补充材料4.2] 如图3 d)所示,在上扫(红色)和下扫(蓝色)电压时,表现出滞后现象。这的确表明薄膜钛酸锶(SrTiO₃)中的铁电相26。图3 d)中的极化曲线的垂直虚线标出强制场(EC)为0.6 ± 0.05 V/μm,表明在此电场下,足够的能量使先前极化的区域切换回原状态,产生净零相位变化。对于远高于强制场的电场,极化函数变为常数,图3 e)中的泊克尔系数reff应该趋于平稳。然而,在强电场下,reff的下降现象可以观察到[补充材料4.2],我们将其归因于在强电场下介电常数降低约60%。这种行为与铁电材料中报道的现象一致23。因此,未来应用中可达到的电光系数将依赖于操作条件(即偏置、交流电压、调制速度),在这里显示的结果表明,在小偏置下可达到345 ± 30 pm/V,在1.6 V/μm偏置场下下降到140 ± 30 pm/V。后者的数值通过执行1 kHz小信号调制得到了确认[补充材料4.3]。量子顺电钛酸锶(SrTiO₃)在施加偏置电场大于0.1 V/μm时也显示出类似的电光强度降低趋势18。因此,基于铁电相SrTiO₃的器件可能更适合需要高偏置电压以保持光学损失最低的应用5。

由于我们低温实验设备的带宽限制,我们使用间接的小信号方法推断电光频率响应。该方法利用施加的交流信号对平均光功率的影响,导致光功率相对于MZI的点功率(Pon)出现下降,见图3 e)的插图。这种下降与泊克尔材料的电光强度成正比。图3 e)显示,光功率的下降不会受到交流调制频率增加的影响,表明在1 MHz以下的调制保持恒定[补充材料4.4]。电光带宽的测量与高达1 GHz的介电常数测量结合,表明不存在亚GHz的共振,并预示着钛酸锶(SrTiO₃)能够在高频下工作。在低频(<50 Hz)下的响应减弱使得无法进行任何直流偏置实验[补充材料4.5]。我们推测,这种低频响应可能与氧空位相关的机制有关,氧空位有效地屏蔽了偏置电场。是否与电极附近的非化学计量SrTiO₃或Cr-SrTiO₃界面的氧化相关27,还需要在后续研究中进一步探讨。

展望

在本研究中,我们首次展示了在4 K下,薄膜钛酸锶(SrTiO₃)中记录的高泊克尔效应,这是由其铁电特性驱动的。未来的研究需要深入探索这种材料是否适用于各种应用,并确定其根本的限制所在。从这个角度来看,我们的研究为基于活性电光钛酸锶(SrTiO₃)提供了初步的视角,并通过材料工程提供了进一步优化的清晰路线,例如通过调节化学计量、应变和/或同位素掺杂18。专门的工程优化也将是实现进一步降低钛酸锶光学损耗,释放其全部潜力的关键。与许多其他新型光子材料一样,将钛酸锶与现有基于氮化硅或硅的光子平台整合的能力,将是实现其实际应用的重要因素。同时,尽管铌酸锂在大规模半导体和光子制造中存在污染风险,钛酸锶已知在这方面面临的挑战较少,这将有助于降低未来集成过程中面临的风险。虽然观察到的高泊克尔系数是非常有前景的,但需要进一步解开完整的泊克尔张量,且射频损耗的确切性质仍是一个未解之谜,在将该材料应用于量子换能器(用于连接超导计算和光纤通信)之前,必须解决这些问题。

方法

生长:
异质外延钛酸锶(SrTiO₃)薄膜是在Si(001)取向基板上通过分子束外延(MBE)生长的。首先,p型Si(001)晶片在2%的氟化氢(HF)溶液中清洗90秒,以去除表面的一部分有机残留物,然后将其引入超高真空(UHV)MBE生长室。在生长开始时,首先加热晶片,并沉积一层薄薄的钛(Sr)层以促进原生氧化物的脱附。当基板冷却到500°C时,表面出现轻微的(3 x 6)重构。此时,Sr界面层已完成,形成了一个½单层的氧化层,作为Si和SrTiO₃之间的氧化屏障。这一过程通过反射高能电子衍射(RHEED)图案中的(2 x 1)表面重构得到确认。去除原生氧化物后,在350°C下采用分子氧进行SrTiO₃的直接外延生长,第一层3 nm的SrTiO₃生长完成,且[100] SrTiO₃(001) // [110] Si(001)(即SrTiO₃晶体相对于Si旋转45°)。生长结束后,暂停以切换到生长室中的原子氧,并将基板温度提高至550°C。在这些条件下,剩余的SrTiO₃外延生长以大约1 nm/min的生长速率完成。补充材料1中提供了更多详细信息。

制备:
晶圆粘接工艺:
生长完成后,将晶圆在850°C下进行30分钟的氧气退火,以降低生长过程中低压环境导致的SrTiO₃层中的氧空位浓度。接着,通过化学气相沉积(CVD)在SrTiO₃上沉积SiO₂,以便随后的晶圆与SiO₂/Si晶圆粘接。然后,通过研磨去除顶部Si层,随后使用TMAH刻蚀,最终得到105 nm的SrTiO₃,位于2 μm SiO₂层上,基底为Si。最后,再次在850°C下进行30分钟的氧气退火。

指状电容器(IDC)制备:
用于射频(RF)测量的指状电容器的铝电极采用双层去膜工艺进行图案化。使用光刻技术曝光光刻胶,开发后通过电子束蒸发沉积466 nm的铝层。去膜后,将器件切割成小芯片,并包含不同几何形状的IDC。

电光器件:
该过程如扩展数据图1所示。晶圆粘接后,采用双层去膜工艺和电子束光刻(EBL)在切割后的芯片上沉积约30 nm的铬和约140 nm的铂进行图案化。去膜后,旋涂约480 nm的聚甲基丙烯酸甲酯(PMMA),并通过电子束光刻图案化耦合光栅和波导,波导宽度约1.7 μm。弯曲电极大约为15.37 mm长,电极间隙为10 μm,弯曲半径为400 μm,波导宽度为1.7 μm,MZI的两臂之间存在200 μm的不平衡[补充材料4.1]。

射频测量:
薄膜SrTiO₃的介电常数通过对指状电容器(IDC)进行射频反射测量来提取。使用Attocube attoDRY800闭循环低温制冷装置将IDC的温度降低至低于5 K。指状电容器的电极(见扩展数据图2 a))使用GS探针在9 kHz到14 GHz的频率范围内进行电气接触,测量使用Keysight P5003B矢量网络分析仪(VNA)。施加的激励功率为0 dBm,导致探测场低于0.15 Vμm⁻¹。这个小电压可以被视为相对于SrTiO₃强制场的小信号干扰。由于低频下电容器的高阻抗特性,以及高频下共振对测量的影响,介电常数的提取限制在100 kHz到1 GHz的范围内。上述共振并非材料共振,而是由于高频下寄生感抗的增加,导致串联LC共振行为。通过改变器件几何形状并可控地减少电容,从而相应地使共振位置向上移动,进一步验证了这种寄生特性,如扩展数据图3 b)所示。

所有射频介电常数测量均假定薄膜平面中的多域[补充图7 c)]混合c轴和a轴结构,导致“有效”介电常数。使用了不同指状电容器设备,电极的间隙(wgap)和宽度(wFinger)保持恒定为4 μm,电极长度从100 μm到800 μm不等。阻抗(Z)的大小如扩展数据图3 a)所示,是基于反射信号(S11)的幅度和相位计算得到的。

阻抗测量的相位
 显示出纯电容行为(-90º),如扩展数据图3 b)所示。因此,阻抗被映射为单一的总器件电容(C),通过以下公式计算:

我们使用了COMSOL多物理场仿真,针对扩展数据图2 b)中的横截面,以将测得的电容与SrTiO3的有效介电常数匹配。仿真结果表明,由于SiO2和Si的介电常数非常低,它们对电容的贡献可以忽略,这与SrTiO3的介电常数形成鲜明对比。为了强调SiO2(以及隐含的Si基板)贡献的可忽略性,下面我们给出一个一阶估算。SrTiO3的并联电容贡献(CSrTiO3)可以通过平行板电容器近似计算,因为SrTiO3的相对介电常数(εr)很大,其中hSrTiO3是SrTiO3层的高度,FingerS是IDC指纹的数量。

类似地,垂直方向上的SiO2电容(CSiO2)也可以通过平行板电容器来近似计算:

对于给定的几何结构,它们的比值为:

因此,薄膜电容大约贡献了埋藏氧化物电容的10倍。在上述论述中,已经表明测得的器件电容主要由SrTiO3层主导。

频率依赖的介电常数响应表明,在测量范围内没有显著的材料共振。这种材料共振的贡献会导致在较高频率下介电常数显著降低,从而限制SrTiO3的电光带宽潜力。导致SrTiO3高介电常数的主要横向光学声子模式(TO1)预计只会出现在高达2.75 THz的频率范围内。因此,在遇到由于TO1声子模式引起的固有(材料)限制带来的大损失之前,仍然存在更高工作带宽的可能性。此外,来自材料缺陷的外部损失机制预计在这方面将起到更主导的作用。

MZI时域信号和Pockels系数提取
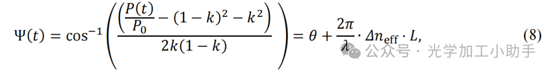
光功率的电调制时域信号由MZI的传输函数控制。在我们的设计中,光栅耦合器离分 splitter 太近,导致高阶模式泄漏到分 splitter,导致由于不对称的功率分配而使得消光比受限。对于不对称的分配比k,MZI的传输函数给定为:

这里,θ对应于MZI的零电压工作点,并由两个MZI臂的200 μm不平衡给出。激光波长为λ,L是电极长度,Δneff是电压诱导的有效折射率差异[补充材料4.2]。分配比(k)是通过求解以下方程从时域信号中提取的:

光功率可以通过以下公式转换为相位:

这导致了扩展数据图4。所示的相位是通过反余弦函数进行包裹的,且需要在每个最大/最小值转折点进行解包。通常,相位应该在0和π之间振荡,然而,由于光电二极管的10 kHz带宽以及强过调制(~30π相位变化),导致了低通行为,阻止了从0到π的完整振荡。这种低通特性在后处理过程中得到了补偿。解包并减去操作点后,θ得到了一个连续的相位变化曲线与施加的场之间的关系,如正文中所示。

然后,可以使用30提取有效折射率的变化:

其中,EAC是由施加的正弦电压诱导的电场。有关详细信息,请参见补充材料4.2。

关于我们:

OMeda成立于2021年,由3名在微纳加工行业拥有超过7年经验的工艺,项目人员创立。目前拥有员工15人,在微纳加工(涂层、光刻、蚀刻、双光子印刷、键合)等领域拥有丰富的经验。 同时,我们支持4/6/8英寸晶圆的纳米加工。 部分设备和工艺支持12英寸晶圆工艺。针对MEMS传感器、柔性传感器、微流控、微纳光学等行业。

中国(上海)自由贸易试验区临港新片区业盛路188号450室 电话:+86 188 233 40140 邮箱:jing.chen@omeda-optics.com

来源:OMeda

关于我们

OMeda(上海奥麦达微)成立于2021年,由3名在微纳加工行业拥有超过7年经验的工艺,项目人员创立。在微纳加工(镀膜、光刻、蚀刻、双光子打印、键合,键合)等工艺拥有丰富的经验。 同时,我们支持4/6/8英寸晶圆的纳米加工。部分设备和工艺支持12英寸晶圆工艺。针对MEMS传感器、柔性传感器、微流控、微纳光学,激光器,光子集成电路,Micro LED,功率器件等行业。

姓名:*
邮件:*
公司名称:
电话:*
您的需求: