摘要——光子集成电路能在芯片上导引和调控光信号,但后向反射会反馈进片上相干激光器,导致运行不稳定并污染信号。要保证稳定工作,就需要一种集成光隔离器,能够强力抑制反向传播,同时保持低损耗、宽带的正向透射。然而,以往的片上隔离器要么依赖磁光材料,要么依赖谐振滤波器,前者需要非标准工艺,后者则天然限制了带宽。在这里,我们提出并实验演示了一种无需磁性材料或谐振元件的行波型光隔离器。通过在四个并行光通道上施加周期性射频波,我们实现了动态旋转破坏性干涉,能够持续抵消反向传播的光,而不影响正向光传播。实验结果显示,在 789.7 nm 波长处实现了约 30 dB 的隔离度,并且在约 30 nm 的带宽范围(770 nm 到 800 nm)内保持超过 24 dB 的隔离度,其中在约 10 nm 的窗口内,对于两束同时工作的激光器也能保持大于 20 dB 的隔离。
这一波长范围覆盖了关键的碱金属原子跃迁,能够有效抑制反馈引起的频率噪声和激光不稳定问题,在原子光谱学、激光冷却和锁频等应用中具有重要价值。我们展示了一种实用的、适用于从可见光到近红外的宽带片上光隔离器,这是迈向全集成光子平台的重要一步。
#0:10mm-10mmsto衬底-bto薄膜(300nm厚度可定制)
#1:sto外延片
2寸 外延 sto 2-20nm(可定制)- 2um Sio2(可定制) -Si(可定制)
#2:a向 bto外延片
2寸 外延 a-向 bto(300nm或者500nm,或者定制)-sto 8nm(可定制)- 2um Sio2(可定制) -Si(可定制)
#3:C向 bto外延片
2寸 外延 c-向 bto(150nm或者300nm,或者定制)-sto 8nm(可定制)- 2um Sio2(可定制) -Si(可定制)
#离子注入铒代工
#6寸DUV步进式光刻代工,最小线宽180nm,超高性价比,可以只曝光
#快速氮化硅硅光铌酸锂流片 #高性价比 #低成本
#提供8寸 8umSiO2热氧片,6寸15um热氧片 10um热氧片 8寸10um热氧片
室温低损伤@GCIB抛光代工@束斑小(4-5mm)更均匀
#降低硬质材料化合物晶圆等绝大多数材料的表面粗糙度,比如金刚石 ,磷化铟,砷化镓,碳化硅
#提高复合衬底和镀膜膜层的器件层膜厚均匀性,
比如SOI LNOI LTOI SICOI 等 SMARTCUT得到的薄膜
或者镀膜所得到的膜层 ,比如镀了一层氮化硅,但是由于是cvd镀膜所得到的,表面的膜厚精度很差,粗糙度很差,可以通过粗糙度初步降低粗糙度,然后通过GCIB团簇离子束抛光来修整整面的膜厚均匀性 到0.5%以下举例:
未经过Trimming 工艺的 6寸LN/LTOI晶圆 数据:
Range:100-200A
经过Trimming 工艺的 6寸LN/LTOI晶圆 数据:
Range:60A以内
SOI晶圆:--220nm薄膜/ 3um厚膜-3umSIO2-675umALOOI晶圆;--氧化铝薄膜晶圆,键合工艺和镀膜工艺
TAOOI晶圆--氧化钽薄膜晶圆,镀膜工艺
SINOI晶圆--超低损耗氮化硅薄膜晶圆,210nm-300nm-400nm-800nm
SICOI晶圆;新型量子光学平台500nm-700nm-1um
8寸LTOI晶圆批量供应;铌酸锂的有力的竞争对手,薄膜钽酸锂晶300600
8寸LNOI晶圆;8寸LNOI助力更大规模薄膜铌酸锂产品量产
LN/LT-SOI/Si/SIN W2W&D2W异质集成
流片: 6寸 氮化硅 铌酸锂 硅光 超高性价比流片, 1个BLOCK的价格买一整片晶圆
划重点--全国产-超高性价比-6 寸硅光-氮化硅-铌酸锂流片白皮书
我们为客户提供晶圆(硅晶圆,玻璃晶圆,SOI晶圆,GaAs,蓝宝石,碳化硅(导电,非绝缘),Ga2O3,金刚石,GaN(外延片/衬底)),镀膜(PVD,cvd,Ald,PLD)和材料(Au Cu Ag Pt Al Cr Ti Ni Sio2 Tio2 Ti3O5,Ta2O5,ZrO2,TiN,ALN,ZnO,HfO2。。更多材料),键合(石英石英键合,蓝宝石蓝宝石键合)光刻,高精度掩模版,外延,掺杂,电子束光刻等产品及加工服务(请找小编领取我们晶圆标品库存列表,为您的科学实验加速。
请联系小编免费获取原文
文章名:Integrated broadband optical isolator via dynamic rotating destructive interference作者:Kyunghun Han,1, 2, 3, ∗ Yiliang Bao,1 Junyeob Song,1, 2 David Long,1 Sean Bresler,1, 4 DaronWestly,1 Jason Gorman,1 Thomas LeBrun,1 Kartik Srinivasan,1 and Vladimir Aksyuk1, †1Microsystems and Nanotechnology Division, National Institute of Standards and Technology,
100 Bureau Drive, Gaithersburg, Maryland, 20899, USA
2Theiss Research, La Jolla, California, 92037, USA
3Whiting School of Engineering, Johns Hopkins University,
3400 N. Charles Street, Baltimore, Maryland, 21218, USA
4University of Maryland, College Park, Maryland, 20742, USA
I. 引言
光子集成电路(PICs)将复杂的光学功能集成在单一芯片上,推动了从精密光谱学[1, 4]到量子传感[5]以及高带宽通信[6]等应用的发展。近年来,越来越多的稳定、低噪声和可调谐激光源已经集成到PICs中[7, 8]。这一发展凸显了对集成光学隔离器的需求,以保护这些激光源并确保信号的完整性。即使是少量反射回激光器的光,也能引入噪声,导致激光频率漂移,甚至导致激光关闭。集成光学隔离器作为单向障碍物,在反射光到达激光腔之前将其阻挡。通过消除反馈,它们保证芯片上的光子电路提供稳定、可靠的光信号。与利用p-n结的简单非线性特性工作的电子二极管不同,光学隔离器必须依赖更复杂的光学机制来打破大多数光学介质固有的洛伦兹对称性[9]。
一般而言,洛伦兹对称性可以在非线性光学系统[10]或与外部时间反演对称性破坏组件耦合的线性光学系统中被打破,这些组件通过电光效应、声光效应和热光效应实现。理想的光学隔离器必须强烈阻止反向传播的光,同时对正向传播的光没有衰减。为了满足新兴PICs的严格要求,集成隔离器应在线性工作区间内操作,提供宽广光谱范围内的强隔离,并保持其非对称行为,不受光功率水平的影响。传统的基于法拉第效应的磁光隔离器[11-17]通过在磁化材料中使用静态磁场,通过不对称的光学介电张量打破时间反演对称性,从而满足这些要求[17]。然而,由于互补金属氧化物半导体(CMOS)兼容性问题和磁光材料的大规模异质集成问题,片上集成面临挑战。这为无需磁性材料的隔离器带来了动力,这些隔离器利用外部时变驱动波来打破时间反演对称性。将光信号耦合到声学或射频(RF)行波(TW)提供了一种实现光学非对称性的有吸引力的替代方案,通过在PICs中通过时空调制来破坏时间反演对称性。
基于等离子体色散效应[18-20]、电光效应[21-27]和声光效应[28-32]的行波隔离器在波导中施加时空折射率变化(扩展数据表1)。在最简单的情况下,单模波导在相位调制下,驱动射频波与正向传播的光相反传播,但与反向传播的光共同传播,从而使得在特定射频功率下抑制反向传播的光。然而,抑制的载波的能量转移到谐波边带,必须通过外部光学滤波器去除,这增加了插入损耗和系统复杂性。与磁性对手不同,这种单波导行波隔离器[33]具有非常有限的隔离带宽,这使其在涉及激光波长调谐或直接调制的宽带应用中不可行,例如光谱学和多通道光通信。另一种类型的行波隔离器通过模式耦合在同一波导系统内的两个空间模式之间交换光功率[18-20, 28-32]。这种方法仅在某些波长下有效,在这些波长下,两个波导模式和行波在频率和相位上匹配,这也限制了隔离带宽。之前的研究探索了在并行单模波导中使用多个波导模式,每个模式独立调制,以提高性能。然而,目前尚不清楚是否能够从原理上实现完全和宽带的行波隔离,同时不影响正向传播的光。所有已报告的方案仍然存在一些根本无法避免的缺点,如光功率在不必要的调制谐波中残留较多[24],由于射频波形的上升和下降时间有限,隔离性能退化[26],或者由于不可避免的调制,正向传播光的传输损失较大[21]。
在这里,我们提出并实验演示了一种集成的行波宽带光学隔离器,在固定波长789.7 nm下实现约30 dB的前向到后向隔离,在30 nm的光谱带宽(770 nm到800 nm;14.6 THz)内实现超过24 dB的宽带隔离,并且在约10 nm的波长窗口内对两种光源实现超过20 dB的同时隔离。行波解决方案在抑制反馈引起的激光频率噪声和不稳定性方面特别重要,尤其在光谱学或锁定到碱金属原子跃迁(如87Rb和39K)期间(图1a)。我们使用一个4通道线性射频行波电光相位调制器,通过时间周期性的相位调制实现动态旋转破坏性干涉(DRDI)。DRDI方案在时间周期性相位调制下完全并持续地抑制反向光功率,因此在光谱中不产生可检测的边带。更一般地,由于我们的隔离器不依赖于任何谐振结构或模式耦合,其设计可以从可见光到通信波段进行波长扩展,限制仅为被动光学组件(如分路器和合并器)的带宽限制。通过克服先前行波隔离器的带宽和隔离的权衡,我们的工作为保护片上激光器和其他反射敏感光子组件提供了一个实用的解决方案,为全面集成的光子平台奠定了基础。
图1. 集成宽带行波光学隔离器
a.在770 nm到800 nm波长范围内测得的实验光学隔离性
这个宽带隔离器通过抑制该波长范围内不必要的回反射,确保多种碱金属原子跃迁的激光稳定性,例如在原子钟和激光冷却中使用的跃迁。
b.隔离器的图示,展示了三个功能区域
左侧用于功率控制(H1-H3),平衡通道的光功率。中央用于行波电光相位调制(红色阴影区域表示TFLN层)。右侧用于相位控制(H4-H6)。
蓝色波导形成光学路径。金色金属形成电气路径,用于驱动集成加热器(H1-H6)的直流电流和共面射频波导(S1,S2)的射频波(由50 Ω负载终止)。
c.TFLN片段键合后,100 mm直径的SiN PIC晶圆的照片
白色边框的芯片尺寸为22 mm × 20 mm,包含19个光学隔离器,可以在一个100 mm直径的晶圆上制造出九个独立的芯片。
d.H2和H3附近区域的鸟瞰图假色SEM图像
显示了金色射频和直流电线路(黄色)以及铬微加热器(红色)。比例尺表示200 µm。
e.SiN波导部分的假色SEM横截面图像
显示了被SiO2包围的SiN波导,铬微加热器(红色)水平偏移1.75 µm。比例尺表示500 nm。
II. 结果
我们在大约350 nm厚的氮化硅光子集成电路(PIC)上实现了宽带隔离器。该隔离器使用了一个四通道马赫-曾德干涉调制器(MZM),提供了四条并行的干涉路径(如图1b所示)。具有横电(TE)极化的光进入输入波导,并通过级联的方向耦合器分成这四条通道。一个X-cut薄膜铌酸锂(TFLN)层,厚度约为150 nm,直接通过倒装芯片键合到无源的Si3N4(氮化硅)波导上,以引入电光调制,红色阴影区域在图1b中表示。SiN/TFLN混合波导模式通过射频波进行相位调制。这些波通过一条900 nm厚的金共面射频波导(CPW)施加,该波导埋在TFLN下方(扩展数据图4)。两个独立的射频信号应用于两个推拉调制器对,CPW横向电极间隙大约为4 µm,位于混合波导的中心。图1c展示了在TFLN键合后,100 mm直径的SiN PIC晶圆的照片,显示单个晶圆上可制造九个22 mm × 20 mm的芯片,总共包含171个隔离器。其他地方,SiN波导被SiO2包围,引导光线,热光相位移器通过嵌入的铬电阻微加热器实现(图1d,e)。六个准静态相位移器(H1-H6)被布置用于精确调节每个通道的光功率和相位。H1-H3通过级联方向耦合器对调节功率平衡[34],而H4-H6调节四个调制通道之间的相对相位。当四个通道的振幅相等并且同相时,正向传输最大化,而在适当的射频波形下反向传输被抑制。由此产生的实验光学隔离性如图1a所示,提供了大于等于24 dB的隔离度,覆盖约30 nm的波长带宽。本文中隔离度定义为正向传输(Tfwd)与反向传输(Tbwd)时间平均光学传输的比值。尽管隔离原理适用于任何波长,但我们选择了770 nm到800 nm的波长范围,以支持未来在片上原子光谱学[35]、量子传感[36]和激光稳定化[37]等方面的集成,这些应用操作在87Rb D2、D1以及双光子线等关键原子跃迁处。抑制回反射对于精确的波长调谐和稳定的频率锁定至关重要,尤其在需要多激光器精确稳定的集成原子钟和激光冷却系统中。
图2. 具有四通道相位调制的动态旋转破坏性干涉
a. 单个行波相位调制器元件的概念图。一个周期性的射频波(蓝色三角形)与反向传播的光(橙色箭头)同向传播,但相对于正向传播的光(绿色箭头)是反向传播的。侧边的图表展示了每个方向的传播距离与累计相位(ϕ)的关系,说明正向传播的光没有净相位偏移,而反向传播的光则表现出线性相位积累。
b. 四个波导通道(Ch1–4)与共面射频波导(G–S1–G–S2–G)的顶视图示意图。推拉调制通过S1 = V(t)应用于Ch1和Ch2,通过S2 = V(t + T0/4)(一个延迟了四分之一周期的波形)应用于Ch3和Ch4。电极之间的彩色箭头表示瞬时电场矢量。
c. 四个通道在一个射频周期(T0)内的累计相位,峰值相位调制为π。
d. 来自面板c的时间分段展开相位。任何给定时刻,两个通道对保持π相位差并相互取消。
e. 在时间实例(t = T0/32, 10T0/32, 19T0/32, 26T0/32)下的相量图,分别对应于面板c中的垂直虚线,展示了旋转取消基础。两个通道矢量(一个来自上推拉对,蓝色,另一个来自下推拉对,绿色)是相反的,相互取消。这些取消对在每个四分之一周期内旋转,确保在动态相位调制下反向传播光的无缝破坏性干涉。
对于行波光学隔离器,非对称性是通过射频波诱导的波导折射率的时空调制打破光学介质的时间反演对称性而产生的。当射频波沿电光相位调制器传播时(图2a),沿共传播和反向传播方向传播的光波会经历不同的积累相位,如下所述。
其中,z 表示调制器沿线的位置,L 表示调制长度,ϕFWD 表示正向传播光的累计相位,正向传播光相对于射频波是反向传播的。在这种情况下,光波从 z = 0 传播到 z = L,而射频波则从 z = L 传播到 z = 0。ϕBWD 表示反向传播光的累计相位,反向传播光与射频波同向传播,从 z = L 传播到 z = 0。VRF(t) 是射频电压波形在时刻 t 的瞬时值,α 是射频波的功率衰减常数,vRF 是射频波的相速度,vopt 是光波的群速度,γ 是电光相位调制系数。当正向传播的光与一个具有零均值周期波形的反向传播射频波相互作用时,光波所经历的瞬时相位调制本身也是一个零均值周期函数。在射频功率衰减可以忽略不计的极限情况下(α ≈ 0),选择
其中,m 是一个正整数,使得总的相互作用时间
等于射频周期的整数倍,从而使得调制长度 LL 上的净相位积累为零。在这种情况下,正向传播的光通过调制区域时不会因为射频信号而经历任何净相位偏移。虽然实现这一条件只需要调整射频频率,但抑制反向传播光则更具挑战性。这一难度源自于相位调制的特性,它本质上会产生无穷多个谐波。要实现对反向光的完全破坏性干涉,需要仔细考虑所有谐波分量之间的相位关系,这些谐波具有不同的相位。找到一个由多个频率分量组成的射频波形,能够导致完全的破坏性干涉,这在解析上并不简单。由于相位调制是由第一类贝塞尔函数描述的,与多项式不同,贝塞尔函数不会导致简单的闭式解来进行谐波取消。与其从频域的角度寻找解决方案,更有效的做法是考虑时域的角度。
阻断相干波的基本原理是破坏性干涉,当两个或多个波的相量和为零时就会发生。在实践中,这可以通过将具有恒定相位差的等振幅波结合起来实现。然而,在周期性的零均值相位调制下,保持相干波之间恒定的相位差变得具有挑战性,因为这种调制方式要求正向传播的光不受影响。一个简单的可能性是通过两个方波或锯齿波驱动相位调制,并且使它们相差半周期,以便使用仅仅两个光波模拟恒定相位条件[26]。然而,这些波形固有的急剧波形不连续性使得这种方法不可行,并显著限制了可实现的隔离性能(扩展数据图2)。相比之下,三角波形在时域内没有波形不连续性,因为它们具有正负斜率,尽管它们的导数存在不连续性。由于三角波形包含正负斜率,在这两种相位调制波之间无法实现破坏性干涉。总是会有一个交叉点,在该点,它们的调制相位重合。因此,我们开发了一种动态旋转破坏性干涉(DRDI)方案,以避免这个问题,并使用四个三角波形(或更一般地,四个具有正负斜率的时延波形)实现相位调制波的完全取消。稍后我们将在本文中介绍一种波形设计过程,用于去除三角波形固有的导数不连续性,同时优化以获得更高的隔离度。这里,我们使用三角波来描述其基本原理。
为了实现基于三角波的DRDI,我们使用了一个四通道电光相位调制器,通过两个射频波驱动G-S1-G-S2-G共面射频波导(图2b)。通道1(Ch1)和2(Ch2)组成一个上推拉对,而通道3(Ch3)和4(Ch4)组成一个下推拉对。在一个对内,两个通道通过相同的射频波驱动,但极性相反(扩展数据图4)。此外,两个推拉对的射频波之间有半周期的时间延迟(T0/4)。这种配置简化了实验设置,使时间延迟分别为0(Ch1),T0/4(Ch3),T0/2(Ch2),3T0/4(Ch4)。当相位调制由具有半波电压(Vπ)的三角波形驱动时,四个光通道的累计相位(ϕ)如图2c所示。为了更直观地理解这一机制,我们可以对累计相位(ϕ1、ϕ2、ϕ3、ϕ4)进行时间分段和展开(图2d)。这揭示了一种结构,在任何给定时刻,总是有一对波保持相对相位差为π,确保持续的破坏性干涉。在相量空间中,这对应于取消对的动态旋转,在每个四分之一周期内,确保在射频波周期内持续进行破坏性干涉(图2e)。Ch1在0 ≤ t < T0/4期间由Ch3取消,在T0/4 ≤ t < T0/2期间由Ch4取消,以此类推。类似地,Ch2在射频周期内在Ch4和Ch3之间交替取消对。通过在时间上旋转破坏性干涉对,整体波形保持零均值条件,同时在相位调制中包括正负斜率,消除了方波和锯齿波形中存在的急剧不连续性。三角波形代表了满足DRDI条件的更广泛波形类中的一种特定解决方案。关于射频波形的通用要求,更多的讨论可见于补充信息中。原则上,在完美的振幅和相位平衡下,DRDI可以实现任意高的隔离度,并且不需要像基于谐振的隔离器那样,在操作带宽和隔离度之间做权衡。DRDI没有这种固有的折衷,除非受到波形生成和设备均匀性的技术限制。
对于理想静态宽带1x4光学分路器和合并器,集成微加热器在提出的光学隔离器中并不是严格必需的。然而,为了补偿实验中的变化,我们利用SiN核心和SiO2包层中的热光效应来平衡通道功率并设置静态相位偏移(扩展数据图5)。左侧加热器(加热器1、2、3)平衡所有四个光通道的光功率,补偿方向耦合器引入的任何剩余分割不对称以及传播损耗差异。加热器2和4调节Ch1和Ch2的相对光功率和相位。加热器3和5对Ch3和Ch4执行相同操作。加热器1和6调整上下推拉对(Ch1、2 和 Ch3、4)之间的相对光功率和相位。通过固定加热器1,使得只有上对带有光功率,并扫动加热器2和4,我们绘制了该对的热光调节响应。激光的波长大约为790 nm。在0.35 W的直流功率下,我们实现了完整的2π相位变化,显示当通道的光功率平衡时出现两个传输最小值。即使加热器以0.35 W的电功率驱动,在测量过程中也没有观察到明显的热漂移。测得的静态消光比为≥ 32 dB(Ch1、2),≥ 30 dB(Ch3、4),以及四个通道合并后的≥ 31 dB。这些静态消光比测量定义了电光情况下隔离性能的上实验极限,因为热光效应和电光效应都依赖于芯片的相同线性光学行为。在实践中,电光隔离可能会受到射频衰减、速度不匹配、有限电极带宽、阻抗不匹配和寄生反射的进一步影响,因此其性能不能超过静态热光的界限。通过优化的耦合器设计,如多模干涉耦合器[38, 39]和亚波长辅助的方向耦合器[40],静态消光比和带宽可以进一步提高。
对于DRDI操作,必须在输出波导上将四个通道合并成同相波。我们寻找平衡功率和同相设置的协议描述见于补充信息。我们通过向CPW施加低频射频信号,同时将光注入一个推拉对,来表征电光调制器。单臂相位调制器的半波电压(Vπ)约为1.6 V,是推拉情况的两倍。在低频射频下测得的消光比与热光值非常接近,证实热光情况确实代表了电光隔离性能的上限。
为了在基频为几个千兆赫兹的实际实现中,理想的射频波形必须通过将其傅里叶级数截断为有限的谐波集合来进行逼近,截断的范围限制在可用射频波形生成带宽内。没有任何调整的情况下,这种截断会使系统偏离精确的动态旋转破坏性干涉(DRDI)条件,并降低隔离度。图3d展示了具有最多N个谐波的三角波截断后的理论隔离度。隔离度始终保持在40 dB以下,且当N ≤ 9时,额外的谐波甚至可能降低性能。为了在给定N下最大化隔离度,我们使用梯度下降算法对N个谐波的振幅和相位进行数值优化,同时强制执行半波对称性。图3a绘制了这些优化波形的累计相位(N = 1, 3, 5, 7, 9)。随着N的增加,峰值到零相位振幅(ϕ)接近π,且在t = T0/4(峰值)、T0/2(零交叉点)和3T0/4(谷值)时,斜率逐渐变得圆滑,消除了三角波形的导数不连续性。圆滑的零交叉确保调制相位的导数与四分之一周期延迟的波形一致,后者在峰值和谷值时对齐。为了在这些时刻保持相位调制光的完美取消,调制波形必须相差π,并且共享相同的瞬时斜率,以保持对反向传播光的完美取消。最终的理论隔离度随着N的增加而单调增加(图3d)。仅使用第一和第三个谐波(N = 3)时,优化波形达到了38 dB的理论隔离度。这减少了高频射频系统的复杂性和带宽要求。实际应用中,射频衰减、速度不匹配、有限的CPW带宽和阻抗不匹配会进一步限制可实现的隔离度。
图3. 使用优化的多谐波射频波形进行宽带光学隔离演示
a. 使用满足半波对称性的有限奇数谐波集优化的时域波形的累计相位。插图显示了相应的奇数谐波功率系数的对数尺度。随着谐波数目(N)的增加,峰值到零的相位振幅接近π,且在t = 0、T0/4、T0/2和3T0/4时的斜率接近零,以避免与四分之一周期延迟波形的调制相位导数差异。
b. 经过预失真处理的6.5 GHz优化波形在CPW输出端的射频功率谱,显示只有基频和第三谐波的显著功率。功率尺度已归一化为基频功率。
c. 通过对面板b中的频谱进行反傅里叶变换重构的归一化时域电压波形,显示出在最大值、最小值和零交叉点的圆滑波形。电压尺度已归一化为其最大电压。
d. 截断谐波三角波形(橙色)和数值优化波形(绿色)对比的理论隔离度与谐波数目(N)的关系。实验测得的隔离度显示为黑色星号。
e. 正向(蓝色)和反向传播光(红色)的归一化光学传输波长依赖性(以800 nm波长处的正向传输为基准)。
f. 在789.7 nm附近测量的光谱,在开启隔离器的情况下,正向(蓝色)和反向(红色)传播光的光谱,显示出可以忽略的边带。没有射频功率时正向传播光的光谱(黄色)几乎与有射频功率时的正向光谱匹配。光功率已归一化为“隔离器关闭”光谱的峰值功率。该波长附近的时间平均光学传输以虚线显示,分别为正向传播光(蓝色)和反向传播光(红色)。插图显示相同光谱的线性尺度光功率。
在DRDI方案中,正确地应用射频波形到隔离器上至关重要,因为大多数射频组件都会引入线性和非线性失真,导致谐波相位和振幅混乱。射频频谱必须只包含奇数谐波,以满足DRDI的半波对称性要求 f(t+T0/2)=−f(t)f(t + T0/2) = -f(t)。我们使用任意波形发生器生成一个6.5 GHz的射频波形,然后通过监测射频频谱在CPW输出端对其进行迭代预失真,以补偿射频系统中的失真。选择6.5 GHz的频率是为了确保正向传播光的零净累计相位。这个频率超过了对15 mm调制长度(L)预测的理论值(扩展数据图3)。我们将这种差异归因于射频衰减或由键合伪影(如CPW附近的空气空洞)引起的射频相位指数较低。正向传播光的光学传输在射频驱动下保持不变(扩展数据图1)。任何观察到的变化大多落在测量不确定性范围内。由于射频组件带宽的限制,我们将射频波形截断至第三个谐波(19.5 GHz)。测量的射频频谱没有显示偶数阶谐波,奇数阶谐波的功率与理论优化波形非常接近(图3b)。在CPW输出端测得的射频功率约为32 mW——值得注意的是,我们的方案不需要高功率射频或任何光学或射频谐振器。对该测量频谱进行反傅里叶变换,重构出一个时域波形,接近优化波形,具有圆滑的峰值、谷值和零交叉点(图3c)。使用这个优化的射频波形,我们通过光谱分析仪测量了正向和反向传播光的光谱(图3f)。正向到反向的峰值光谱功率比测得约为30 dB,这直接近似于隔离度,因为光谱中没有其他边带。此外,在射频下的正向传播光的光谱几乎与“隔离器关闭”情况相同,后者指的是没有射频的正向传播光,表明传输光没有额外的损失或频率偏移。正向传输的频率依赖性在补充信息中讨论。为了表征波长依赖性,我们将激光波长从770 nm扫描到800 nm,同时保持集成加热器在其优化的同相平衡功率设置下(调谐至789.7 nm)(图3e)。隔离度在30 nm的波长范围内变化约为21 dB,主要是由于平行波导方向耦合器的波长依赖性分割比。最大隔离度测得为30.6 dB ± 0.1 dB。通过主动调节加热器功率以适应每个波长,我们在30 nm波长范围内实现了超过24 dB的隔离度。将这些方向耦合器替换为宽带多模干涉(MMI)或渐进设计,将进一步平坦化响应。为了针对其他波长带(如通信C波段),可以重新设计该波长的功率分路器和合并器,而DRDI原理本身保持不变。

图4. 双激光实验验证宽带隔离性能
a.实验设置图
显示了两个外腔二极管激光器(ECDLs),激光1固定在λ1 ≈ 789.7 nm,激光2在λ2 ≈ 785 nm到795 nm范围内扫调,通过一个50:50光纤耦合器组合。组合后的信号通过隔离器芯片并在光谱分析仪上进行分析。对于反向传输,物理交换输入和输出光纤。加热器被优化至接近790 nm的波长。
b.不同波长差∆λ = λ1 - λ2下的正向和反向传播光光谱
在所有情况下,两个激光器的反向传播光都被抑制超过20 dB,显示出宽带隔离性。光功率尺度以1 mW为参考。
c.从光谱中提取的隔离度,作为波长差∆λ的函数
结果分别为激光1(橙色圆圈)、激光2(蓝色圆圈)和组合总信号(绿色圆圈)。激光2在10 nm波长扫描范围内保持超过20 dB的隔离度,而激光1保持接近30 dB的隔离度,并且变化最小。
d.在λ ≈ 789.7 nm下的单激光和双激光操作隔离度比较
由于额外的激光,隔离度降低了约1.1 dB,且测量的不确定性增加。不确定性为一个标准偏差的统计误差。
为了进一步展示我们DRDI行波隔离器的宽带特性,我们在双激光实验中严格评估了隔离性能(图4a)。通过一个50:50光纤耦合器组合两个外腔二极管激光器,将两个激光器的等光功率传送到隔离器芯片。激光1固定在789.7 nm波长,而激光2在785 nm到795 nm的光谱范围内以1 nm的增量扫调。对于每个调谐∆λ = λ1 - λ2,我们通过互换输入和输出光纤,在光谱分析仪上测量了正向和反向传输光谱。测得的光谱如图4b所示。这些结果显示,在每种情况下,两个激光器的反向传输均被抑制超过20 dB,涵盖了整个10 nm的范围。从每个光谱中,我们通过数值积分每个激光器的峰值区域的功率谱密度,计算隔离度。结果数据如图4c所示。如预期,最大总隔离度出现在789.7 nm附近,对应于该波长的加热器设置优化,并随着波长的偏移呈对称衰减。这个滚降与图3e中讨论的单激光结果非常匹配。激光1隔离度中的小幅振荡表明,尽管理论上两个不同波长在低光功率下是正交的,但激光2引入了轻微的扰动。图4d展示了在单激光和双激光操作下,789.7 nm处的平均隔离度比较。双激光情况表现为29.4 dB ± 0.2 dB的隔离度,仅比平均隔离度减少约1.1 dB,并伴随略微增加的测量不确定性。这些结果确认我们的隔离器能够可靠地在10 nm带宽内维持超过20 dB的隔离度,对于多个激光器几乎没有串扰,并且没有在射频电子中引入任何额外的复杂性。这些结果代表了对早期行波隔离器的质的提升,后者依赖于谐振特征,并且被限制在狭窄的隔离带宽内。这里展示的宽带隔离度对于需要多个激光源稳定运行的应用至关重要,例如中性原子的磁光捕获和光学频率梳光谱学。我们的方法消除了谐振线宽限制,并且不受光腔带宽的限制,保持了分路器/合并器色散、有限波形谐波和射频损失/不匹配的约束。
III. 结论
总之,我们提出并实验演示了集成宽带行波光学隔离器,且不依赖磁性材料或光学谐振。通过使用四通道马赫-曾德调制器,驱动四分之一周期延迟的射频波形,我们实现了动态旋转破坏性干涉(DRDI),持续抑制反向传播光,同时不影响正向传播光。该隔离器在789.7 nm波长下实现了大约30 dB的隔离度,并通过芯片上微加热器调节保持超过24 dB的隔离度,覆盖约30 nm的波长带宽(770 nm至800 nm)。在双激光实验中,隔离器同时为两个不同波长提供高隔离度(>20 dB),并在约10 nm的波长窗口内稳定工作,证明了其在多波长操作中的强大性能。重要的是,正向传输光没有因应用的射频或不必要的边带而显示出任何额外的损失,表明我们的隔离器相比先前的集成隔离器具有关键优势。
本研究在非对称光子设备领域取得了重大进展,实现了高隔离度和宽带宽的结合,这在以前的非磁性集成隔离器中尚未见过。通过DRDI方案打破光学对称性,我们的方法避免了隔离度和带宽之间的权衡。原则上,DRDI方案不对隔离度设置基本限制,除了技术约束,未来通过优化波导方向耦合器或增加调制谐波,仍有可能实现更高的隔离度。该平台也可扩展到其他波长范围。例如,通过对分路器和合并器的设计修改,相同的原理可以应用于通信C波段或其他红外波长,使其具有广泛的应用性。实际上,该隔离器可以与可调激光器或频率梳集成,消除对体积隔离器的需求,从而使更复杂和稳定的片上光子系统成为可能。
通过解决集成光子电路设计中的长期瓶颈——缺乏宽带片上隔离器,我们的研究为全面集成的光子设备铺平了道路,这些设备能够实现单向光流,并能广泛应用于数据网络、量子技术和精密光谱学等领域。
方法
设备制造
该设备是在直径100 mm的硅晶圆上制造的,晶圆表面有3 µm厚的湿法热氧化层和350 nm的化学计量氮化硅(SiN)层。SiN波导通过紫外步进光刻工具和反应离子刻蚀机(RIE)进行图案化。首先,微加热器通过步进光刻图案化,然后使用电子束蒸发工具沉积100 nm的铬层,接着通过金属去除工艺和双层光刻胶完成。SiO2包层通过等离子体增强化学气相沉积(PECVD)沉积,并通过化学机械抛光(CMP)进行抛光,使得SiN波导上方留下100 nm的过度包层。为了制造共面波导,在芯片的中央区域,RIE刻蚀氧化层直至暴露底层的铬层,然后继续刻蚀600 nm,使金属层位于顶部SiO2表面下,便于与薄膜铌酸锂(TFLN)直接键合。电极区域通过步进光刻图案化,然后使用电子束蒸发工具沉积900 nm的金,并通过金属去除工艺完成。一个4英寸、300 nm的铌酸锂-绝缘体(LNOI)晶圆通过CMP抛光到最终厚度150 nm。两个晶圆(SiN和LNOI)都通过原子层沉积(ALD)覆盖了5 nm的Al2O3。经过切割的LNOI片段被倒装芯片键合到SiN晶圆上,键合过程在室温和大气压力下进行。键合后的晶圆在200°C下退火1小时,以增强键合强度。晶圆被切割成小芯片,并通过钻石抛光垫对其边缘进行抛光。
插入损耗
光纤到芯片的耦合损耗在每个面上测量为5.35 dB ± 0.30 dB。过剩损耗来自于365 nm光刻工具的有限分辨率,无法精确地定义逆锥形尖端的狭窄部分。设备的插入损耗在800 nm的标准波长下测量为8.05 dB ± 0.28 dB。我们将过大的插入损耗归因于在埋藏电极键合过程中的不完美制造。由于该键合过程尚未优化,可能引入额外的散射和光学传播损耗。然而,隔离原理可以应用于任何具有低光学传播损耗的行波调制器。
PIC模式管理
为了最小化SiN波导与SiN/TFLN混合波导之间的模式不匹配损耗,该损耗来自TFLN的较高折射率,SiN波导的宽度在键合接口的边缘处扩展到约2 µm,完全限制光模式在SiN内并抑制其与TFLN的渐逝重叠。在键合接口的另一端,SiN的宽度逐渐减少到700 nm,光模式转移到TFLN中以实现高效的电光调制。在键合接口的另一端,SiN宽度再次恢复到约2 µm,采用相同策略。2×2方向耦合器的冗余输出端口被引导到埋藏金电极旁,吸收残余光并防止回反射。
数据分析
文中未特别说明的所有不确定性为68%的置信区间,对应于均值的一个标准偏差。统计不确定性由五次测量计算得出。
扩展数据表 1. 片上集成光学隔离器比较。
‡ 隔离度 (dB) = 10 log10(Tfwd/Tbwd)
† 在没有主动调谐的情况下,隔离度 > 20 dB 的带宽
*不包括光纤到芯片的耦合损耗
** 最大调制效率到边带
*** 正向传播的光通过单边带调制进行调制,这会导致本质上无法避免的6 dB损失
AO:声光效应,TO:热光效应,EO:电光效应,Plasma:等离子体色散效应
扩展数据图1. 6.5 GHz射频驱动对正向传播传输的影响
归一化正向传输作为波长(770 nm到800 nm)的函数绘制,展示了:
a. 在789.7 nm固定优化波长下的情况。
b. 为每个波长主动调谐和优化的情况。
蓝色虚线及其误差条表示没有射频情况下的传输,橙色虚线及其误差条表示在6.5 GHz射频波下的传输。对于固定优化情况,两条线在名义波长790 nm处有一个峰值传输,这是微加热器优化的波长,传输值已归一化到此峰值。对于主动调谐情况,峰值传输发生在名义波长800 nm处,传输值已归一化到此峰值。两条线在大多数波长下重叠,表明射频波在整个波长范围内不会引入额外的插入损耗。
扩展数据图2. 两个时延射频驱动波形的累计相位
扩展数据图3. 制造的隔离器拼接光学显微镜图像
黑色的窄水平线表示氮化硅光学波导。相邻的铬微加热器调节芯片中央区域四个并行通道之间的功率平衡和相位差,其中倒装键合的铌酸锂与氮化硅波导耦合,形成电光活性混合波导。承载射频驱动波的共面射频波导对每个通道的光相位进行调制,调制长度约为15 mm。
扩展数据图4. 中心电光调制区域的静电场和光学模式剖面
扩展数据图5. 集成加热器和电光半波电压的表征
a-c.
(上) 在没有射频的情况下,按加热器电功率的函数,分别为上通道对(H2,H4)、下通道对(H3,H5)和通道间(H1,H6)的归一化光学传输的二维图,使用对数尺度。H1、H2和H3控制通道之间的功率平衡,而H4、H5和H6控制通道之间的相位关系。虚线表示加热器设置,用于平衡光学通道之间的光功率。
(下) 在虚线处的加热器电功率的函数上绘制的归一化光学传输,显示了静态消光比为32.24 dB(Ch1和2)、30.5 dB(Ch3和4)以及31.5 dB(Ch1-4)。激光波长设置为约790 nm。
d.
(上) 通过单个推拉对的归一化光学传输,作为低频射频驱动电压的函数,表示单臂调制半波电压约为1.6 V。
(下) 在对数尺度上绘制的相同数据。
补充信息
A. 确定用于最大化正向传输的基准射频频率
图 S1. 正向传播光的频率响应
a. 正弦射频驱动频率的归一化光学传输。 在0.5 GHz时,传输强烈衰减,低于-15 dB。 随着频率增加,零均值相位调制导致净相位偏移减小,光学传输增加。 所有值均归一化为10 GHz时的传输值。
b. 正向传播光的射频功率谱。 测量的分辨带宽为5 MHz。射频功率刻度参考1 mW。
我们将正弦射频驱动频率从0.5 GHz扫描到10 GHz,同时监测正向传播的光学传输。图S1a显示,在0.5 GHz时,传输强烈衰减,这表明电光调制器仍处于接近静电模式,在这种模式下,器件的长度远小于射频波的波长。随着频率的增加,正向传播光的净累积相位偏移减小,因为周期性射频波形的平均值为零,导致传输增加。大约在2.5 GHz以上,斜率开始变平,并且响应在约6.5 GHz时达到饱和。因此,我们选择6.5 GHz作为驱动的基准射频频率,因为更高的频率无法进一步提高正向传输。图S1b展示了在6.5 GHz驱动频率下,使用高频光接收器测量的正向传播光信号的射频谱。直流功率水平大约为32 µW,剩余的相位调制边带保持在噪声水平以下。
B. 射频与加热器优化
图 S2. DRDI隔离器表征的实验设置。外腔二极管激光器进行偏振控制,并通过锥形透镜光纤耦合到隔离器芯片中,光纤的标称模式场直径为2 µm。多接触射频探针将两条射频线(实线红色)传送到CPW,并将六条直流线(虚线红色)传送到芯片上的微加热器。一个双通道任意波形发生器(AWG)提供预失真射频波形。所有仪器通过数据/控制线(绿色)连接到中央工作站,工作站迭代调整AWG波形和加热器设置。
实验设置包括一个外腔二极管激光器,后接一个内联光纤偏振控制器,将光源设置为横电(TE)偏振,进入隔离器芯片。多接触射频探针,每个携带两条射频线和六条直流线,分别放置在CPW的输入和输出端。在CPW输出端,CPW可以通过50 Ω负载终端,或连接到射频频谱分析仪(也为50 Ω),以提供相同的阻抗条件。一个双通道任意波形发生器(AWG)产生多音波形,通过射频放大器进行放大。两个三通道直流电源驱动芯片上的微加热器。隔离器的输出光通过50:50定向耦合器分成三条路径。一个光功率计测量时间平均光功率。一个光谱分析仪检测任何高阶谐波。一个高频光接收器测量残余相位调制。所有仪器均由工作站控制,并采集其数据。
隔离器芯片中的微加热器由两个直流电源驱动,这些电源由工作站控制。由于平行波导定向耦合器的分光比取决于波长,因此每个工作波长需要一组优化的直流电源。首先,我们使用光学显微镜观察散射光,并调整加热器1(H1)以将所有输入激光功率引导到上推-拉对(通道1和2)或下推-拉对(通道3和4)。当H1固定在上对时,我们扫描加热器4(H4)并测量输出光功率。传输最小值表示反相条件,最大值表示同相条件。反相点更易识别,因为其传输变化超过噪声波动。为了准确找到同相点,我们将传输数据拟合为正弦函数以抑制噪声。接下来,保持H4在反相设置下,我们扫描加热器2(H2)以平衡通道1和通道2之间的功率,传输最小值再次表示这一平衡。然后,我们将H1设置为将大部分功率引导到下对,并通过扫描加热器5(H5)和3(H3)重复该对的优化,直到最小化传输。两对优化完成后,我们将H4和H5设置为同相条件,以建立动态旋转破坏性干涉。
图 S3. 微加热器优化流程图。首先,H1将光路引导到上推-拉对或下推-拉对。每对首先设置为反相条件,然后调整以平衡功率,再切换到同相条件。H6调节到反相条件以平衡两对之间的功率,然后切换到同相条件。
(DRDI)。最后,我们扫描加热器6(H6)以找到其反相点,利用该点来微调H1,使两对之间的功率分配均衡(传输最小值),然后将H6设置为同相点以实现最终的DRDI操作。每个波长下优化后的加热器功率在770 nm到800 nm的波长范围内几乎呈线性变化,如图S4所示。H6上的离散步骤来源于在优化过程中使用的粗扫描增量,以便更快地进行优化。重要的是,加热器设置在没有跳变的情况下连续变化,这使得波长扫描更加快速和稳定。这对于任何涉及扫描ECDL波长的光谱应用是有优势的。我们确认,只测量几个波长并在它们之间插值加热器功率,能够得到与在每个波长上优化加热器方法几乎相同的隔离效果。
由于非线性、频率依赖的相位延迟和衰减,我们必须优化射频驱动波形以最大化隔离效果。我们生成的多音波形,其自由度是基波及其奇次谐波的幅度和相位。通过仅保留奇次谐波来截断谐波,简化了优化过程,消除了DRDI方案所需的冗余参数。详细的程序如图S5所示。首先,AWG输出理论预测波形,我们将测得的射频频谱与CPW输出的理想频谱进行比较,调整高阶奇谐波的相对功率。
图 S4. 各波长下的优化加热器功率。H1-H6的电功率作为激光波长的函数绘制。所有加热器在波长范围内表现出线性调节。
图 S5. 射频波形优化流程图。为克服射频路径中的非线性和衰减,我们生成了一个由基波和奇次谐波组成的多音射频波形,并基于测得的CPW输出频谱和光学传输最小值,迭代调整其幅度和相位。通过微调偶次谐波的相位和功率,抑制任何残余的偶次谐波。
谐波。接下来,对于每个推拉对,我们扫描AWG输出功率,以确定最小化反向光学传输的设置。然后,我们通过单独调整每个奇次谐波的相位和幅度来优化它们。由于偶次谐波对于DRDI来说是多余的,我们调整其相位和幅度,以补偿射频放大器可能产生的任何不需要的偶次谐波。我们重复整个过程,直到达到目标隔离效果。
C. DRDI的射频波形要求
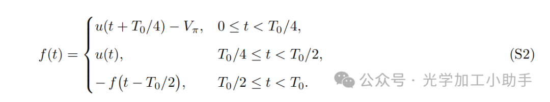
图 S6. DRDI的射频波形合成及其产生的相位
a. 定义在四分之一周期区间上的任意基波形u(t)扩展至完整周期。实线显示了结果周期,零均值波形强制执行半波对称性。
b. 四个通道在一个射频周期(T0)内的时间分段展开累积相位。在每个四分之一周期内,通道形成两个取消对,每对保持π相位差,实现DRDI方案。
尽管三角波形是DRDI的有效解,但由于截断其谐波会显著降低隔离效果,因此不实际。为了在给定的射频带宽内找到最佳波形,我们将图S6a中描述的射频波形要求进行广义化。首先,射频波形必须是周期性的并且零均值,这样正向传播的光波在行波调制器中就不会经历净相位偏移。为了实现由两个射频信号驱动的四个光波之间的破坏性干涉,并且这两个射频信号之间延迟一个射频周期的四分之一,我们从基波形u(t)开始,定义其在四分之一周期区间T0/4到T0/2上的波形。基波形的边界条件为
然后,我们可以通过强制周期性 f(t−T0)=f(t)f(t - T_0) = f(t) 和半波对称性 f(t−T0/2)=−f(t)f(t - T_0/2) = -f(t) 将射频电压波形 f(t)f(t) 扩展到所有 tt。在 0≤t≤T00 \leq t \leq T_0 的周期内,这可以通过以下条件实现:
由于方程 (S1),这些条件保证了在四分之一周期边界处的连续性,同时自动满足半波对称性。