上海奥麦达微电子有限公司

专业高效
微纳加工公司

射频溅射BTO晶圆钛酸钡--在硅上的低损耗钛酸钡中高品质单片环形谐振器

钛酸钡的极大非线性光学响应和与CMOS的兼容性,使其在高密度、宽带宽和低功耗光学元件和设备方面具有特别吸引力,适用于芯片级光子学应用。然而,若不显著降低材料损耗,钛酸钡不太可能成为集成光子学中现有非线性材料的竞争替代品。本研究探讨了在硅基绝缘体(SOI)衬底上通过射频溅射外延生长的钛酸钡单体光子结构中的损耗机制。采用三种光子架构研究了钛酸钡波导损耗,结果展示了低于0.15 dBcm−1的直波导损耗,远低于先前公布的钛酸钡含有波导结构的损耗测量值。此外,展示了具有未加载品质因数 Q ≈ 5 × 10^5 的高品质因数钛酸钡谐振器。钛酸钡光子结构的低损耗,结合钛酸钡的大型非线性光学响应,为高效能的紧凑型钛酸钡光子设备和结构提供了实现路径,可应用于高速调制、光计算和非线性应用。

引言
铁电氧化物钛酸钡(BaTiO3 或 BTO)最近在集成光子学应用中引起了显著的关注。[1–5] 这在很大程度上是由于BTO具有极大的线性电光系数。[3,6,7] 具有大电光(Pockels)系数的材料具有潜力,能够为光学调制和开关、可调滤波、光延迟线和光束引导等应用提供紧凑且高效的相位调制器。[8–11] 当前这种应用的主要材料是铌酸锂(LiNbO3 或 LN),其具有较大的电光系数(r33 = 31.45 pmV−1, r42 = 33.96 pmV−1[12]),并且已被证明在重要的通信波长带中具有极低的损耗。[13–17] 在通过化学机械刻蚀薄化的铌酸锂块体中,已经实现了低至 0.34 dBm−1 的损耗[18],而在集成在硅基衬底上的薄膜铌酸锂单片设备中,已报道的直波导损耗为 2.7 dBm−1。[19] 这些结果不仅使低损耗光学电路的示范成为可能,还实现了超高品质因子(> 108)的铌酸锂谐振器。[18] 基于这些原因,过去十年来,基于铌酸锂的集成光子学基础设施发展迅速,广泛应用于高速调制[20,21]、光束引导[22–24]、光学神经网络[25]和非线性光学(如频率梳生成、波长转换和量子态生成)等多个领域。[9,26–31]

尽管铌酸锂无疑是当前大规模动态集成光子学的首选材料,但它也存在一些缺点。首先,或许最重要的是,锂与典型的硅铸造厂不兼容。铌酸锂的复杂制造工艺会导致如锂氧化物等挥发性产物的存在,而这些产物是硅制造中的污染物。因此,基于铌酸锂的光子结构的大规模集成需要专门的制造设施[32],并且需要通过薄膜转移工艺与硅衬底进行异质集成。[33] 虽然这种微打印工艺已经得到广泛应用,但直接在硅衬底上生长的非线性光学材料可能会带来显著的好处,这些材料与CMOS制造工艺兼容性更好。此外,尽管铌酸锂的线性电光系数明显大于任何III-V材料和绝大多数透明氧化物,但它仍然比BTO的电光系数小一个数量级,BTO具有已知的最大Pockels系数之一(r42−BTO = 923 pmV−1[] 和 r42−BTO > 1000 pmV−1[6,7],分别在薄膜和块体中)。因此,基于BTO的新型集成光子器件和结构引起了越来越多的兴趣。绝大多数基于BTO的器件利用了混合波导结构,在这种结构中,BTO对施加的电场提供非线性响应,而光学模式则通过沉积并在BTO周围进行图案化的高折射率材料来引导。这种方法在很大程度上是对直接图案化BTO困难的回应。已示范将插槽波导结构集成到马赫-曾德调制器(MZM)中,使用硅包覆的BTO核心,这种结构具有较大的有效Pockels系数和低V𝜋L(即在波导中实现𝜋相位偏移所需的长度-电压积)[2]。在BTO薄膜上图案化的氮化硅波导,周围包覆SiO2,已被制造成赛道型谐振器(RtR)结构,成功实现了单个和多个谐振频率的超低功率调谐。[34] 其他相位调制示范,尤其是针对高速调制应用的示范[35–41],通常使用类似的混合设计架构。

尽管基于BTO的集成光子学基础设施发展迅速,但依赖于混合设备架构最终成为该领域持续发展的限制因素。BTO的额外处理(暴露于氢气、温度循环)有可能引入缺陷和/或损耗,并且需要使用平面BTO与沉积和图案化的高折射率波导材料,这限制了可用的光子设备架构。最近,已经展示了使用全BTO波导的MZM调制器,这些BTO波导直接沉积在硅基绝缘体(SOI)衬底上[42]。这些结构在具有单臂调制和750 μm臂长的MZM中显示出了具有竞争力的调制效率V𝜋L = 2.32 V⋅cm,这表明在通信波长范围内开发高效单体BTO相位偏移结构的机会。然而,这些结构的波导损耗测量值为3.17 dBcm−1,远高于LN的损耗,且对基于单体BTO的集成光子学的持续发展构成挑战。

划重点:

图片

#6寸DUVKRF流片--SIN/铌酸锂晶圆级流片

#利用现有掩膜版提供流片好的SIN晶圆做键合工艺调试

*近化学计量比 Z切 X切 Stoichiometric_LNOI/LTOI 薄膜铌酸锂 和钽酸锂晶圆 -----量子应用
#高电光系数和非线性光学系数 #更少的短波吸收 #更小的矫顽场
SLT和SLN与其对应的同成分相比电光系数和非线性系数都有比较大的提高,有利于电光器件的制作。对于制作周期极化结构,其畴结构的变化和矫顽场的降低,制作的周期结构更加容易和质量更好。由于SLT折射率差值变得更小,Ppslt更容易在量子光学上得到应用。
*PPSLN/PPSLT

ALOOI晶圆;--氧化铝薄膜晶圆,键合工艺和镀膜工艺

TAOOI晶圆--氧化钽薄膜晶圆,镀膜工艺

SINOI晶圆;--超低损耗氮化硅薄膜晶圆

SICOI晶圆;新型量子光学平台

6寸LTOI晶圆批量供应;铌酸锂的有力的竞争对手,薄膜钽酸锂晶圆

8寸LNOI晶圆;8寸LNOI助力更大规模薄膜铌酸锂产品量产

LN/LT-SOI/Si/SIN  W2W&D2W异质集成

流片: 6寸 氮化硅 铌酸锂 硅光 超高性价比流片, 1个BLOCK的价格买一整片晶圆

划重点--全国产-超高性价比-6 寸硅光-氮化硅-铌酸锂流片白皮书

图片


在单体BTO波导中降低损耗的展示,将为开发紧凑、高带宽和高效的光子设备打开大门,这些设备适用于一系列重要应用,并具有更强的CMOS兼容性。本研究探讨了BTO-硅波导结构中的损耗,并展示了单体BTO波导结构中的创纪录低损耗。我们使用多种方法来测量光学损耗。首先,我们采用切割法获取直BTO波导中损耗的近似值。接下来,我们设计并制造了高质量(Q因子)环形谐振器(RR)结构,从中提取与波导和弯曲损耗相关的损耗。最后,我们设计并制造了高Q赛道谐振器(RtR)结构,以将弯曲损耗与直波导损耗分开。提取的直波导损耗测量值远低于0.2 dBcm−1,RtRs的总损耗与我们的环形谐振器结构表现出极好的匹配。本文展示的高Q光子结构使得在高度非线性的BTO材料系统中提取创纪录的低损耗成为可能,这一结果为开发具有低损耗和高效调制的单体BTO光子架构提供了途径,适用于广泛的集成光子应用。

  1. 实验部分
    2.1. 生长
    BTO薄膜的生长方式与参考文献[43]中描述的生长过程类似。首先,通过分子束外延(MBE)在硅基绝缘体(SOI)晶圆上外延生长5 nm的SrTiO3,作为BTO生长的缓冲层。在BTO生长之前,SOI晶圆的顶部硅层被仔细氧化,使得MBE生长的SrTiO3与埋置的热氧化物接触。然后,通过偏离轴的射频磁控溅射法将BTO生长至300 nm的厚度。生长时的前向功率为70 W,氩气中含20%的氧气,整体压力为5 mTorr。由此得到的BTO生长速率为3.6 nm min−1。为了提高晶体质量,生长温度比我们之前的工作(710°C)略高,达到了750°C。[42]最终得到的薄膜具有小于1 nm的生长粗糙度,X射线衍射(XRD)摇摆曲线的全宽半高(FWHM)为0.52°。较高的生长温度还使得获得了完全松弛的a轴定向薄膜,且其垂直晶格常数为3.989Å。

2.2. 设计
测量得到的生长BTO层的折射率为n = 2.217(在𝜆0 = 1550 nm时)。提取的BTO折射率用于设计用于单体BTO切割、RR和RtR结构的光学组件,包括波导和光栅耦合器,工作波长为𝜆0 = 1550 nm。为了设计的需要,假定射频溅射的BTO为各向同性折射率[2]。使用商业有限差分时域(FDTD)软件(Lumerical)优化了脊波导和光栅耦合器的尺寸。波导的设计宽度为w = 1.2 μm,蚀刻深度d = 100 nm,以实现基本TE模式的单模工作。光栅耦合器的设计使其光栅蚀刻深度与脊波导相同,从而可以在单一光刻和蚀刻过程中制造光栅耦合器和波导。光栅耦合器的尺寸经过优化,假定为一维光栅耦合器(在二维模型中),以实现TE偏振光的耦合效率31%(即耦合到波导的入射光的比例)。光栅耦合器设计成在8°角度内耦合光线,最终设计的光栅周期为Λ = 954 nm,光栅宽度为494 nm。波导弯曲的半径R = 50 μm,目的是尽量保持设备占地面积小,同时最小化弯曲损耗。

图片

图1. a) 我们的波导几何结构中基础TE波导模式的电场幅度 |E| 模式剖面。b) 环形谐振器的示意图,显示了用于建模环形谐振器光学响应的相关参数(耦合间隙 g、自耦合系数 t、交叉耦合系数 𝜅 和损耗系数 𝛼)。c) 制造的BTO环形谐振器结构的光学显微照片。d) 光栅耦合器的扫描电子显微照片。e) 环形谐振器的扫描电子显微照片。f) 波导和环形谐振器之间耦合区域的放大视图。g) 模拟的环形谐振器结构的传输随耦合间隙变化,从过耦合(黑线)到临界耦合(紫红线)再到欠耦合(红线)。为清晰起见,共振波长有所偏移。

图1a显示了本研究中用于直波导的基本TE模式的模拟横截面(xz)电场(|E|)模式剖面。

2.3. 制造
切割结构、环形谐振器(RR)和赛道谐振器(RtR)均在从生长的BTO-on-SiO2层堆叠中切割出的8 mm × 8 mm样本上制造。光栅耦合器、锥形器、波导和环形/赛道结构均使用电子束光刻(EBL)技术在未稀释的ZEP520A光刻胶中进行图案化。该光刻胶用作蚀刻掩模,将电子束图案转移到BTO层上。BTO的蚀刻速率约为8.6 nm min−1。虽然这些设备(切割结构、环形谐振器和赛道谐振器)是在不同的制造过程中制造的,但所有结构均在相同的BTO-on-SOI晶圆的同一块材料上制造,且具有相同的横截面波导几何形状,从而可以比较具有不同横向几何形状但相同蚀刻深度和蚀刻轮廓的设备。

切割结构被制造用于粗略测量波导损耗。这些结构具有相同数量的弯曲部分,弯曲半径 R = 75 μm,但直波导长度各不相同。切割结构的臂长分别为200、250、400和800 μm。由于每个切割结构包含三个直波导部分,因此可以获得与额外波导长度150、600和1800 μm相关的差异损耗。

图1b显示了制造的环形谐振器的示意图。这些环形谐振器结构具有相同的光栅耦合器、光学总线线和环形几何形状(环半径R = 50 μm),但耦合间隙不同。仅改变耦合间隙g可以使损耗(𝛼)和自耦合(t)系数解耦。制造了耦合间隙g = 550 - 1200 nm(每次步长为50 nm)的环形谐振器结构。图1c显示了一个代表性环形谐振器的光学显微照片,图1d和1e分别显示了代表性光栅耦合器和环形谐振器的扫描电子显微照片(SEM)。图1f显示了环形谐振器耦合区域的放大SEM,展示了未蚀刻波导表面上的BTO岛。SEM图像表明,离子铣削后的BTO表面通常比未蚀刻的BTO表面光滑,后者呈现出可能由外延射频溅射过程导致的纳米尺度特征。对制造样本的蚀刻区域和未蚀刻区域进行的原子力显微镜(AFM)扫描显示,RMS粗糙度分别为0.538 nm和1.63 nm。蚀刻表面的RMS粗糙度减少表明,如SEM图像所示,离子铣削过程有助于平滑BTO表面,从而减少了BTO表面岛的大小。

此外,还制造了赛道谐振器,包括两个180°的圆形弯曲(具有与环形谐振器相同的半径R = 50 μm),以及与总线波导垂直的直波导部分。在这里,耦合间隙被固定为预测的临界耦合间隙(g = 850 nm),并且赛道的直波导部分长度从L = 100到300 μm(每次增量为50 μm)变化。赛道结构的设计允许解卷曲谐振器弯曲损耗和内在(直)波导损耗。

2.4. 实验设置
制造的结构使用一台光纤耦合的波长可调半导体激光器进行表征,工作波长为𝜆0 ≈ 1550 nm。激光器的输出光纤与结构的入耦光栅对准,入射角为8°,光通过光栅耦合器耦合到渐变锥形器,然后通过90°波导弯曲(R = 50 μm)耦合到总线。设备传输的信号通过第二个90°波导弯曲和渐变锥形器传递到光栅出耦器,在8°出口角度处出耦。出耦的光被置于光栅上方的第二根光纤收集。传输的光随后聚焦到InGaAs光电二极管上。激光源通过函数发生器使用1017 Hz方波调制,调制信号由光电二极管检测,并输入到锁相放大器(LIA)。LIA对响应进行解调,给出传输信号的相对幅度。优化的光栅耦合器,以及总线输入和输出端的两个90°波导弯曲,确保了这些实验中只测量了基本的TE偏振模式(高阶模式由于较高的弯曲损耗,因此波导弯曲作为这些模式的有效滤波器)。

环形谐振器理论
如图1b所示,通用的环形谐振器配置包括一个方向耦合到波导的环形谐振器腔体。通过波导传输的光功率在耦合区域通过渐逝耦合到谐振器腔体。该连接点的功率分配比由波导模式的空间分布和耦合区域的特性决定,包括环与波导之间的耦合间隙(g)以及它们之间耦合交互的有效长度(Lc)。

此配置中重要的参数是自耦合系数t和损耗系数𝛼。自耦合系数决定了电场幅度在耦合区域通过波导传输的部分,而损耗系数表示电场在环内完成一整圈的传输幅度系数(实际上是衡量环形谐振器的损耗,包含波导损耗和弯曲损耗)。交叉耦合系数𝜅表示电场幅度在耦合区域耦合到环的部分。假设耦合区域无损耗,进入耦合区域的功率与离开该区域的功率相同,因此 |t|² + |𝜅|² = 1。环形谐振器的传输线形状是洛伦兹形状,最一般形式的表达式为以下方程:[44]

图片

在这里,量𝛼²表示通过环形谐振器中单次往返传输的光功率的分数,因此有效地表示了在环形谐振器中传播的光的传输。传播损耗可以通过以下公式计算:|20 log(𝛼)/C|,单位为dBcm−1,其中C表示环腔的总长度(2𝜋R)。环形谐振器中的往返相位延迟(𝜃)由公式𝜃 = 2𝜋neff C/𝜆给出。图1g显示了使用方程(1)对环形谐振器结构进行建模传输,针对不同的耦合间隙距离(相当于调整方程(1)中的t)。在这个简单的模型中,可以观察到环形谐振器的谱线从小耦合间隙(过耦合区域)下的宽传输凹陷(具有较弱的消光系数),到临界耦合的接近单位消光和减小的线宽,再到与欠耦合环形谐振器(大g)相关的弱而狭窄的特征。

由于环形谐振器的品质因子依赖于耦合系数和环形谐振器的损耗,材料损耗不能简单地从单个谐振设备或传输特征中提取。然而,通过将耦合间隙从欠耦合、临界耦合到过耦合区域变化,我们可以提取BTO波导环形谐振器结构中的损耗系数𝛼。改变耦合间隙(g)将调节环形谐振器和波导之间的功率分配程度。在这种情况下,可以预期𝛼保持不变,但t会随着耦合间隙尺寸的变化而变化。稍后我们将使用相同的方法,通过改变腔体的长度来提取赛道谐振器中的损耗,预计提取的谐振器损耗系数将呈单调趋势,从而使我们能够解耦谐振器弯曲和直波导损耗。

结果与讨论
虽然通过直波导的传输进行直接测量可以提取由于吸收或散射引起的波导损耗[45],但这种方法需要准确估计光耦合进出波导的效率,而这并非易事,并且会增加提取损耗值的不确定性。为了减少这种不确定性,可以制造多个具有相同耦合机制和相同数量波导弯曲的波导结构,但直波导部分的长度不同,并测量相对于直波导长度的相对传输。这种方法称为切割法。

文献中研究含BTO波导结构中的损耗通常显示损耗为2.4 dBcm−1或更高[1,5,46],而之前关于单体BTO波导的研究显示损耗大于3 dBcm−1[42]。我们设计并制造了切割结构,假设我们的BTO波导将显示与之前的工作类似的损耗。因此,切割结构的几何形状大体上与文献中的相符[1,46],但受限于我们的芯片面积。

图片

图2. a) 从切割结构中获得的实验传输数据,使用不同直波导长度提取波导损耗为 0.7 ± 0.14 dBcm−1。b) 本研究中调查的切割结构的光学显微照片,直波导长度分别为200、250、400和800 μm,每个结构具有相同数量的弯曲(弯曲半径相同,R = 75 μm)。

图2a显示了制造的切割结构的直波导长度与测量传输的关系。拟合切割结构传输数据的直线斜率得出提取的直波导损耗为0.7 ± 0.14 dBcm−1。这个结果将标志着单体BTO波导的最低测量损耗,据我们所知,对于任何混合或单体BTO波导结构也是如此[42,46,47]。尽管实验数据与拟合线的偏差不大,但切割法提取的损耗是粗略的波导损耗测量,因为制造和测量条件的变化可能导致损耗提取的不可靠性。这是因为切割法假定每个设备的所有传输(和传输测量)方面都是相同的。制造的纳米尺度光栅耦合器的几何形状或波导结构上附近的缺陷的任何变化,都可能足以改变传输,导致损耗提取不可靠。或者,输入或输出光纤对准的任何变化,在不同结构的测量之间,可能导致传输信号的变化。我们从单体BTO结构中提取的低损耗将需要显著更长的切割结构(≈ 10 mm),以更准确地确定波导传播损耗,但仍然会受到设备之间制造和实验变化的影响。因此,我们首先使用切割法获取直BTO波导的损耗近似值,随后探索了更准确的损耗提取方法。

Fabry-Perot干涉法已被用于拟合低品质因子的波导Fabry-Perot谐振器,以提取波导中的传播损耗[48-50]。这是一种可靠的方法,但需要准确估计反射率R,对于端面耦合设备,可以通过Fresnel方程来描述。我们的工作使用光栅耦合的波导,且计算上很难估计渐变锥形器和光栅耦合器的自由空间耦合器的3D反射率R。此外,制造相关的变化可能会导致实际和模拟的R之间的偏差,从而影响提取的损耗。因此,我们转向使用环形谐振器进行更可靠的损耗提取。环形谐振器结构占用的空间明显少于长切割结构。此外,这些结构不仅有效地提供了提取损耗的机制,还直接展示了由我们的低损耗材料制造的高Q单体BTO光子结构。通过环形谐振器传输谱提取的损耗,尽管增加了分析的复杂性,但仍然是一种更可靠的方法,因为提取的损耗来自单个设备中总线/谐振器系统的光谱特性,而不是制造或实验变化。光栅耦合器效率的变化(由于缺陷或对准问题),甚至总线中的缺陷引起的损耗(远离谐振器),只会修改整体传输强度,而不会显著影响谐振的光谱特征。

图片

图3. 四种不同耦合间隙的环形谐振器(RRs)的实验传输和模拟拟合:a) g = 650 nm,b) g = 750 nm,c) g = 850 nm 和 d) g = 1000 nm。所示谱线代表了从(a)过耦合区域到(d)欠耦合区域的过渡。图(b)和(c)中的谱线代表了可以视为临界耦合的几何形状范围。

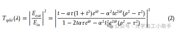
从具有不同耦合间隙(g)的环形谐振器结构收集了传输数据。代表性的归一化传输谱如图3所示。从实验数据中可以立即看出,环形谐振器的谱线与图1g中的理想(分析)传输谱不同。在实验传输谱中观察到了明显的分裂,而这种分裂在模型传输中是没有的。关于环形谐振器结构中共振传输特征的分裂,已有多项研究;这种分裂通常与在环形谐振器腔体或耦合区域引入(无论是故意还是无意)扰动有关,这些扰动可能在制造阶段或通过材料本身的缺陷产生[51–56]。图1b中的示意图显示了环形谐振器上的一个缺陷(绿色圆点),用于表示谐振器腔体中的缺陷。光耦合到环形谐振器中表示为顺时针传播的电场Eccw。当场与扰动相互作用时,波导中的反射会导致产生顺时针传播模式Ecw,从而在传输谱中出现第二个共振特征,当与原始共振结合时,类似于共振的分裂。由环内两个模式的相互耦合引起的两个传输特征的分裂程度,已与环形谐振器上一个或多个扰动的大小和相对位置相关,并且已有深入研究[57–59]。在我们的传输数据中也观察到了类似的分裂,这可能是由于制造过程中无意引入的缺陷、射频溅射材料固有的散射特性,或者更可能是与RR横向几何形状相关的蚀刻深度变化(例如,在较窄的耦合区域内的浅蚀刻),这些变化可以作为散射机制,将顺时针和逆时针传播模式耦合在一起。

使用两个模式的线性组合来拟合分裂的共振,每个模式由方程(1)表示,这是从实验传输谱中提取损耗和Q因子的一个可能解决方案。另一种方法是Goede等人[59]通过改变引入到微型环中的布拉格反射器的反射率来模拟共振分裂的调节。在这里,我们使用参考文献[59]中的模型,将布拉格反射器与由于制造缺陷或BTO材料本身固有的缺陷无意引入的扰动进行类比。在图3中,我们使用参考文献[59]中的分裂共振模型拟合分裂的传输特征,传输谱的光谱传输函数给出如下:

图片

传输数据是从具有不同耦合间隙(g)的环形谐振器结构中收集的。代表性的归一化传输谱如图3所示。从实验数据中可以立即看出,环形谐振器的谱线与图1g中的理想(分析)传输谱不同。在实验传输谱中观察到了明显的分裂,而这种分裂在模型传输中没有。已有几项研究讨论了环形谐振器结构中共振传输特征的分裂;这种分裂通常与在环形谐振器腔体或耦合区域引入(无论是故意还是无意)扰动有关,这些扰动可能在制造阶段或通过材料本身的缺陷产生[51–56]。图1b中的示意图显示了环形谐振器上的一个缺陷(绿色圆点),用于表示谐振器腔体中的缺陷。光耦合到环形谐振器中的过程用顺时针传播的电场Eccw表示。当该电场与扰动相互作用时,波导中的反射会导致产生顺时针传播模式Ecw,从而在传输谱中出现第二个共振特征,当与原始共振结合时,形成共振的分裂。由环内两个模式的相互耦合引起的两个传输特征的分裂程度,已与环形谐振器上一个或多个扰动的大小和相对位置相关,并且已有深入研究[57–59]。在我们的传输数据中也观察到了类似的分裂,这可能是由于制造过程中无意引入的缺陷、射频溅射材料固有的散射特性,或者更可能是与RR横向几何形状相关的蚀刻深度变化(例如,在较窄的耦合区域内的浅蚀刻),这些变化可以作为散射机制,将顺时针和逆时针传播模式耦合在一起。

使用两个模式的线性组合来拟合分裂的共振,每个模式由方程(1)表示,这是从实验传输谱中提取损耗和Q因子的一个可能解决方案。另一种方法是Goede等人[59]通过改变引入到微型环中的布拉格反射器的反射率来模拟共振分裂的调节。在这里,我们使用参考文献[59]中的模型,将布拉格反射器与由于制造缺陷或BTO材料本身固有的缺陷无意引入的扰动进行类比。在图3中,我们使用参考文献[59]中的分裂共振模型拟合分裂的传输特征,传输谱的光谱传输函数给出如下:

其中𝜌和𝜏分别表示扰动反射和传输的电场幅度分数,假设扰动是无损且互惠的:|𝜌|² + |𝜏|² = 1,且𝜌𝜏∗ + 𝜌∗𝜏 = 0。

尽管双洛伦兹拟合可以用于捕获具有大分裂的特征,但对于具有较弱分裂的共振,使用上述模型(方程(2))拟合提供了更准确的损耗和Q因子的提取。为了保持一致性,我们拟合了每个共振,无论共振分裂的强度如何,均使用方程(2)给出的分裂共振模型。图3显示了来自四个环形谐振器的共振传输特征及其相应的拟合(使用方程(2)),耦合间隙分别为g = 650、750、850和1000 nm。我们清楚地看到,RR结构的响应从过耦合(左侧)到欠耦合(右侧)区域变化,穿过RR可以被认为是临界耦合的耦合间隙范围。图3a显示了g = 650 nm的RR结构的传输共振,其中t < 𝛼,代表过耦合区域,而图3d显示了g = 1000 nm设备的传输共振,其中t > 𝛼,代表欠耦合区域。我们注意到,观察到的分裂强度在设备之间变化,且似乎与设备几何形状(特别是耦合间隙g)无关,这使我们相信这一效应是由设备制造中的无意缺陷或BTO材料本身的固有缺陷引起的。

图片

图4. a) 从环形谐振器中提取的t和𝛼图,针对不同耦合间隙。b) 从分裂共振模型提取的消光比(以dB表示)和Q因子,针对不同耦合间隙绘制的单个共振。c) 环形谐振器结构的模拟传输随耦合间隙变化,环形谐振器中的分裂共振是由谐振器中的扰动引起的。在这里,我们通过改变自耦合系数t来模拟耦合间隙g,从过耦合(黑线)到临界耦合(青色线)再到欠耦合(深黄色)。我们将临界耦合定义为t = 𝛼 = 0.9916的条件。为了清晰起见,共振波长有所偏移。

在图4a中,我们绘制了从拟合中提取的𝛼和t。预计随着耦合间隙的增加,由于总线和谐振器波导模式的空间重叠减少,耦合从总线到谐振器变得较弱,因此自耦合系数t应该增加。另一方面,𝛼的值(它纯粹是环形谐振器本身的光损耗度量)应该不会随着耦合间隙g的变化而显著变化(或根本不变)。我们观察到,在图4a中,随着耦合间隙从0.55 μm增加到1 μm,t明显增加。请注意,我们没有绘制耦合间隙g > 1000 nm的提取值𝛼或t,因为较弱的耦合导致共振的消光比接近我们测量的噪声底线。在同一图中,可以观察到,与t的提取值不同,我们提取的𝛼值作为耦合间隙g的函数大体上保持恒定,这是可以预期的。提取的𝛼和t曲线的交点给出了临界耦合的位置。在我们的实验中,制造相关的样品间差异对于高Q结构来说,在临界耦合点附近或接近临界耦合区域,导致耦合间隙大约在750 - 850 nm的范围内,这些设备可以被称为临界耦合。临界耦合范围内的传输共振的代表性光谱呈现在图3b和3c中。

图4b显示了提取的消光比(以分贝(dB)表示)和环形谐振器设备的Q因子,耦合间隙不同。我们可以使用Q = 𝜔o/Δ𝜔提取环形谐振器的Q因子,其中𝜔o是共振的中心频率,Δ𝜔是共振的FWHM。请注意,对于Q因子提取,我们使用的是分裂共振中的单个共振的𝜔o/Δ𝜔(这提供了谐振器内在Q的度量)。类似于图1g,我们观察到从过耦合到欠耦合区域的预期趋势,提取的加载Q因子为105,000,临界耦合设备的消光比为5.56 dB,耦合间隙g = 850 nm。这对应于未加载Q因子约为200,000。模拟结果表明,从各个传输特征提取的Q因子与未扰动的微型环形谐振器中的Q因子相似。这里记录的Q是任何基于BTO的谐振器结构(混合型或单体型)中报告的最高Q因子[3,7,39,60]。通过图4a,我们可以估算在本研究中制造的谐振器环的平均损耗。所有𝛼曲线上的点的平均值给出了传播损耗为2.11 ± 0.42 dBcm−1。

在未受扰动的环形谐振器中,最高的消光比位于临界耦合区域及其附近,而在具有分裂共振的扰动系统中,过耦合区域显示出更高的消光比,如图4c中的模拟结果所示,这一特征也得到了图3中的实验结果的支持。需要注意的是,这个损耗是波导的线性损耗(𝛼straight,由吸收和/或散射引起)与弯曲环自身的弯曲损耗(𝛼bend,由光从R = 50 μm环中泄漏引起)的组合。从收集的环形谐振器设备数据来看,没有直接的方法可以将这两种损耗机制分离。环形谐振器相对较小的半径所带来的弯曲损耗可能会掩盖与波导基础TE模式相关的线性损耗(这最终是衡量BTO结构固有损耗底限的最佳指标)。确定直波导的损耗(𝛼straight)至关重要,因为这样的波导组件是任何光子集成电路的支柱。

图片

图5. a) BTO RtR 的代表性光学显微图。 b) RtR 的示意图,显示了直线波导部分和弯曲波导部分的不同损耗系数 𝛼straight 和 𝛼bend。 c) 实验谱图及拟合(来自方程 (2)),用于 L = 100 μm 的 RtR。从该设备中提取的 Q 因子为 94,000。 d) 提取的 t 和 𝛼 在不同直线波导分数下的竞赛回路谐振器图。 e) 从 RtR 提取的损耗,并用线性拟合给出波导弯曲损耗 (1.51 dBcm−1) 和直线波导损耗 (0.1378 dBcm−1),分别从 y 截距和 x 截距测得。

为了从谐振器结构的弯曲损耗中提取直波导损耗,我们制造了具有与环形谐振器相同波导几何形状的赛道谐振器。由于赛道谐振器包含了弯曲和直波导部分的组合,我们可以通过改变不同RtR的直波导与弯曲波导的长度比例,解耦这两种损耗机制,并测量每个设备的总损耗[19]。赛道谐振器的光学显微图和示意图分别如图5a和5b所示。RtR的耦合间隙被固定为g = 850 nm(位于我们RR设备的临界耦合范围内),直波导部分的长度从L = 100 μm变化到L = 300 μm,其中L表示赛道两侧直波导部分的长度。我们使用与环形谐振器相同的拟合过程,其中使用分裂共振模型拟合RtR的分裂共振,并提取了两个系数t和𝛼。图5c显示了L = 100 μm的RtR设备的拟合。通过实验光谱提取到的Q因子为94,000,消光比为10 dB。虽然该设备的损耗远低于RRs,但提取的t和𝛼表明该设备略微过耦合。在临界耦合时,预计RtR会有更高的Q因子。由L = 300 μm的RtR得出的𝛼被用来通过Rabiei等人描述的方法[61]提取未加载的Q因子为5 × 10^5。

图5d中提取的t和𝛼值作为制造的RtR直波导比例的函数绘制,其中直波导比例计算为2L / (2L + 2𝜋R),R = 50 μm。图5d中t的变化与制造和样品处理条件有关。在图5e中,我们将每个RtR的提取损耗绘制为直波导比例的函数。对这些损耗值的线性拟合曲线叠加在绘制的数据上。通过将拟合曲线外推到直波导比例为0%的y轴截距,我们得出了RtR的弯曲损耗值,而直波导比例为100%的y轴截距提供了RtR的纯直波导损耗值。由此,我们计算了0%直波导比例时的弯曲波导损耗为1.51 dBcm−1,100%直波导比例时的直波导损耗为0.1378 dBcm−1。使用AFM扫描提取了制造样本的波导尺寸:深度为100 nm,基宽为1.35 μm,侧壁角度约为75°。使用这些尺寸和无损材料的FDTD模拟结果得出了预计的弯曲损耗为1.63 dBcm−1。从RtR提取的弯曲损耗(1.51 dBcm−1)应该与从RR结构中提取的损耗(2.11 dBcm−1)相等,事实上,我们看到这两个值与模拟损耗非常接近。

值得注意的是,RR和RtR的测量弯曲损耗非常接近,考虑到这两组结构是在不同的制造批次中制造的,并且位于原始BTO晶圆的不同位置。从分裂共振模型(方程(2))中提取的损耗表明,直波导的损耗小于0.2 dBcm−1,这是任何BTO基架构中记录的最低损耗,无论是单体还是混合型。我们认为,这部分损耗可以归因于基础TE模式与刻蚀侧壁的相互作用(图1e)。使用SuMMIT软件包(EUV Tech)分析了刻蚀波导的4 μm × 3 μm SEM图像,从中提取了无偏线条边缘粗糙度(LER, 3𝜎)为10.82 ± 1.19 nm和相干长度(Lc)约为40 nm。这些参数被输入到FDTD模型中,并模拟了一个长度为100 μm的波导传输,从中提取了0.12 dBcm−1的传播损耗。这个结果与从RtRs中提取的损耗一致,进一步支持侧壁散射是所测波导损耗的主要原因。我们的低传播损耗(< 0.2 dBcm−1)和高未加载Q(5 × 10^5)与Riedhauser等人最近报告的值一致[62]。通过增大波导几何形状,包括更大的弯曲半径和更宽的波导,可以减少基础模式与刻蚀侧壁的相互作用,从而减少散射损耗。优化基于Ar+的离子铣削工艺也可能实现更光滑和更直的侧壁,预计将导致更低的损耗。我们还怀疑,BTO中的畴界,由于折射率的微小差异,可能会由于畴界散射[63]而贡献一个小而不可避免的损耗。

5. 结论

我们展示了在RF溅射BTO上生长的硅基绝缘体(SOI)衬底上的单体BTO RtR结构中创纪录的低直波导损耗。在这项工作中,我们制造了切割结构、环形谐振器和赛道谐振器,以多种互补方式提取BTO波导损耗。所有三个结构均采用电子束光刻制造,随后进行离子铣削,以生成脊波导、输入/输出耦合光栅和波导渐变区域。通过改变BTO生长条件,以及BTO厚度和波导几何形状,与我们之前的工作[42]相比,我们展示了远低于报告的BTO基光子设备(无论是单体还是混合型)的损耗。我们从切割结构中提取了0.7 dBcm−1的损耗。环形和赛道谐振器作为更可靠的损耗提取源被制造。我们从环形谐振器中提取了2.11 ± 0.42 dBcm−1的损耗,这个值主要与R = 50 μm环形谐振器的弯曲损耗有关。尽管RR设备的弯曲损耗较大,但我们在环形谐振器结构中分别获得了超过100,000和200,000的加载和未加载谐振器Q因子。赛道谐振器结构被用来解耦弯曲和直波导损耗,从中我们提取了1.51 dBcm−1的弯曲损耗和0.1378 dBcm−1的直波导损耗。我们发现,RtR设备的加载和未加载谐振器Q因子分别高于90,000和5 × 10^5。这些提取的性能指标(直波导损耗和Q因子)是我们所知的BTO基设备架构中报告的最佳值。本研究中展示的单体BTO设备在性能上显著优于基于BTO生长或转移到Si/MgO衬底上的SiN/Si波导的单体BTO设备或混合架构的有限报告。此处报告的性能指标为低损耗和高Q光子设备的新类型开辟了道路,这些设备具有极大的线性电光系数,并有潜力直接生长在硅基衬底上。这些设备可以为各种光计算和通信、非线性光生成以及量子光学应用提供低损耗和低功耗的集成光子基础设施。


作者:Amogh Raju, Divya Hungund, Dan Krueger, Zuoming Dong, Zarko Sakotic,

Agham B. Posadas, Alexander A. Demkov, and Daniel Wasserman*

单位:A. Raju, D. Hungund, D. Krueger, Z. Dong, Z. Sakotic, D. Wasserman The Chandra Family Department of Electrical and Computer Engineering The University of Texas at Austin Austin, TX 78758, USA



关于我们:

OMeda成立于2021年,由3名在微纳加工行业拥有超过7年经验的工艺,项目人员创立。目前拥有员工15人,在微纳加工(涂层、光刻、蚀刻、双光子印刷、键合)等领域拥有丰富的经验。 同时,我们支持4/6/8英寸晶圆的纳米加工。 部分设备和工艺支持12英寸晶圆工艺。针对MEMS传感器、柔性传感器、微流控、微纳光学等行业。

中国(上海)自由贸易试验区临港新片区业盛路188号450室 电话:+86 188 233 40140 邮箱:jing.chen@omeda-optics.com

来源:OMeda

关于我们

OMeda(上海奥麦达微)成立于2021年,由3名在微纳加工行业拥有超过7年经验的工艺,项目人员创立。在微纳加工(镀膜、光刻、蚀刻、双光子打印、键合,键合)等工艺拥有丰富的经验。 同时,我们支持4/6/8英寸晶圆的纳米加工。部分设备和工艺支持12英寸晶圆工艺。针对MEMS传感器、柔性传感器、微流控、微纳光学,激光器,光子集成电路,Micro LED,功率器件等行业。

姓名:*
邮件:*
公司名称:
电话:*
您的需求: