上海奥麦达微电子有限公司

专业高效
微纳加工公司

用于光束扫描控制的铌酸锂晶体--基于铌酸锂晶体的光束精密指向控制技术研究

图片作者:赵卫岗 12,呼新荣 2,葛锦蔓 12,刁文婷 12,冯野 3

单位:(西安空间无线电技术研究所 空间微波通信全国重点实验室,西安 710100)(西安空间无线电技术研究所,西安 710100)(中国科学院西安光学精密机械研究所,西安 710119

摘 要系统对比分析现有光束指向控制技术,提出了一种基于铌酸锂晶体的高精度电光光束指向控制方法。采用光轴对称结构,有效降低了电光晶体系统的有效热光系数,显著提升了器件的环境适应性能。数值计算和物理仿真证明了光束偏转的可行性。器件完成封装后,利用 Zygo 干涉仪测得器件中心通光区域的透射波像差 RMS 为 0.2λλ=632.8 nm),红外电荷耦合器件图像传感器角度测量法,测得系统在 15 kV 电压下的最大光束偏转角度为 1.88 mrad。实验结果证明了该器件设计的有效性和可行性,为基于铌酸锂晶体的高精度光束偏转器件的研发奠定了基础,同时为星间激光干涉系统的半物理地面验证实验提供了关键技术储备。

关键词空间引力波探测;激光干涉测量;光束指向控制;电光晶体;半物理地面验证

划重点

*近化学计量比 Z切 X切 Stoichiometric_LNOI/LTOI 薄膜铌酸锂 和钽酸锂晶圆 -----光束扫描应用
#高电光系数和非线性光学系数 #更少的短波吸收 #更小的矫顽场
SLT和SLN与其对应的同成分相比电光系数和非线性系数都有比较大的提高,有利于电光器件的制作。对于制作周期极化结构,其畴结构的变化和矫顽场的降低,制作的周期结构更加容易和质量更好。由于SLT折射率差值变得更小,Ppslt更容易在量子光学上得到应用。
*PPSLN/PPSLT

ALOOI晶圆;--氧化铝薄膜晶圆,键合工艺和镀膜工艺

TAOOI晶圆--氧化钽薄膜晶圆,镀膜工艺

SINOI晶圆;--超低损耗氮化硅薄膜晶圆

SICOI晶圆;新型量子光学平台

6寸LTOI晶圆批量供应;铌酸锂的有力的竞争对手,薄膜钽酸锂晶圆

8寸LNOI晶圆;8寸LNOI助力更大规模薄膜铌酸锂产品量产

LN/LT-SOI/Si/SIN  W2W&D2W异质集成

流片: 6寸 氮化硅 铌酸锂 硅光 超高性价比流片, 1个BLOCK的价格买一整片晶圆

划重点--全国产-超高性价比-6 寸硅光-氮化硅-铌酸锂流片白皮书

图片


引言

空间引力波探测主要借助于激光外差干涉测量技术,在绕日或者绕地轨道上构建相距几十万或者几百万公里的三个卫星组成的等边三角形星座1-3。每个卫星均由两个望远镜、两组光学测量装置以及一个超稳时钟组成,发射接收携带了测距、时钟比对和通信信号的激光光束,利用高精度的激光干涉测量技术,对航天器内部悬浮质量块间距离的变化进行高精度实时监测,通过消除航天器自身相对运动产生的多普勒频移、空间环境干扰以及激光干涉测量系统噪声,实现对低频段引力波信号的解算45。受限于引力波“信号”的微弱性,通过激光干涉的方式测量微弱的空间应变,需要借助于较长的测量基线。得利于宇宙空间的大尺度和空旷性,空间引力波测量的测量基线可达百万公里,可以有效提高空间引力应变测量的灵敏度,更有利于实现更低频段的引力波探测。

由于激光干涉测量的基线达到了几十万公里,而发射和接收干涉激光的望远镜口径仅几百毫米,同时光束在空间传播过程中还会受到空间环境的影响,导致光束的波前、偏振的参数发生累积性变化,光束到达接收端时其激光功率仅剩余几百 pW。高精度的激光指向控制系统是确保应答式激光干涉系统的正常工作的必要条件,保证了接收光功率和激光干涉测量系统等边三角形臂长的长期稳定67

主流的高精度光束指向控制系统分为非机械式和机械式。机械式光束指向控制系统通过控制反射镜姿态实现光束指向控制,常用的反射镜有旋转双棱镜和快速反射镜(FSM)。采用旋转双棱镜的系统具有更为紧凑的结构,其对光束指向的控制范围大,速度快,但其指向控制精度一般在 0.1 mrad[8]。目前,基于 FSM的光束指向控制系统较为成熟,其具有优异的动态性能,能够对光束指向性偏差进行快速的补偿,已在空间激光通信等相关领域得到广泛应用。基于 FSM 的光束指向控制系统的精度受到反馈控制链路和机械元件惯性影响,其精度普遍约 100 nrad 左右,然而其绝对指向受到温漂影响,需要精密控温技术的配合,难以满足空间引力波探测的高精度光束指向控制需求9

非机械激光光束偏折通过在光束通光路径上构建折射率梯度,引起光束波矢转向折射率较小的区域来实现光束偏转。材料内部实现折射率梯度主要有声光、电光、液晶三类方式,分别利用晶体材料的压电效应、电光效应以及液晶分子的电致双折射效应实现折射率改变。声光偏转器件利用压电换能器产生的稳定频率的超声波,在晶体料内部引发固定的弹性形变,在光束路径上构建相位光栅,通过功率匹配光束和光栅相互作用过程,利用强一级衍射实现光束的偏转。然而受到相位光栅精度和衍射效率的影响,光束的波前畸变很难得到精确的控制,不适用于较高精度的光束偏转应用场景10。液晶偏转的原理与此类似,液晶分子在外电场下发生受控偏转,形成亚波长级光学相控阵,通过对液晶分子光学相位延迟量的精确控制实现光束的偏转。受到电极尺寸和反馈控制电路精度的限制,目前的液晶偏转方法对光束的波前扰动严重。

电光光束偏转,借助电光晶体材料(铌酸锂、钽酸锂、磷酸二氢钾等)的电光效应,在光束通过的路径上构建折射率梯度,实现对光束波矢的偏转。相较于声光和液晶的光束偏转方法,电光偏转的物理原理基于折射率梯度下的 Snell 定律,通光口径仅受限于所选择电光晶体尺寸,在保证晶体内部电场均匀分布的情况下,可实现较高的波前保持,在光束偏转领域得到广泛关注。其中,基于异形电场的铌酸锂晶体的光束偏转器件,其最大偏转效率达 120 μrad/kV[11];基于级联棱柱畴结构的钽酸锂晶体光束偏转器件,其最大偏转效率可达 102 mrad/kV[12]。随着微纳光学的发展,基于质子交换的铌酸锂波导的锯齿状电极光束二维偏转实验,使用 20 V 外电压实现了波导内不同模式的微米距离的偏转13。铌酸锂光学波导为高精度的波束操控提供了实验和理论验证,充分证明了使用电光晶体作为光束偏转器件材料的可行性。

空间引力波探测任务中光束偏转地面仿真系统对模拟光束偏转系统的要求可简单概括为:nrad 级精度、低波前畸变。相较于传统的光束偏转研究所关注的大角度、低电压的光束偏转等研究方向,此类光束偏转需求尚未见报道。为了满足空间引力波探测(天琴计划)地面半物理仿真光束精密指向扰动实验要求,本文设计并研制了一种非机械高精度光束角度控制机构,通过对该机构的理论分析和仿真建模,验证了设计方案的可行性,并通过实验测试,验证了该光束偏转机构的可靠性,为相关研究奠定了技术基础。

设计原理

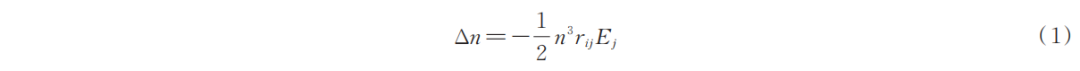
根据电光效应的不同,可用于电光偏转的晶体可分为两种,线性电光晶体(普克尔效应)和二次电光晶体(克 尔 效 应)。其 中,线 性 电 光 晶 体 主 要 以 铌 酸 锂 晶 体(LN),钽 酸 锂 晶 体(LT)以 及 磷 酸 二 氢 钾 晶 体(KDP)等为代表,而二次非线性电光晶体主要以钽铌酸钾晶体(KTN)等为代表。通常情况下,当一个晶体同时具有线性和二次电光效应时,其线性电光效应大约是其二次电光效应的 10 倍以上。其中,普克尔效应的折射率改变量为

图片

式中,rij 代表晶体的在电场和光波矢共同决定下的线性有效电光系数,E为外电场强度,数值上等于外电压与晶体厚度的比值,为晶体平行于电场方向的折射率。

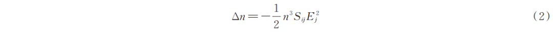
克尔效应的折射率改变量为

图片

式中,Sij 为晶体在在电场和光波矢共同决定下的二次有效电光系数,E与式(1)类似,为外电场强度。相较于式(1),二次电光(克尔)效应中有效电光系数 Sij对应于外电场强度 Ej的平方项。LN 晶体根据材料 Li元素和 Nb 元素的比值不同,分为同成分铌酸锂晶体(CLN)和近化学计量比铌酸锂晶体(SLN)。在晶体材料制方面,SLN 的光学质量最优,然而 SLN 晶体生长方法决定了获得大尺寸高品质的晶体样品的难度较大14CLN 晶体生长相对容易,已广泛应用于各类电光调制器、光倍频器等,在工业和科研的双重推动下,其光学质量和晶体尺寸都得到了巨大的提升15。相比于 LN 晶体,KDP 晶体莫氏硬度低、易潮解,使得其作为光学元件的保存和使用难度增大;LT 晶体由于需要钽(Ta)元素,其获取难度较大,属于非常规电光晶体;KTN 晶体目前国内生长困难,且已知其最大可用尺寸 5 mm×2 mm×2 mm,无法满足本项目的使用需求131617。综合而言,为实现 10 mm×10 mm 的通光孔径,以及在光束走离效应下二维偏转器件口径约束的问题,CLN 晶体(以下简称 LN 晶体)以大光学尺寸、高电光系数及性能稳定成为电光偏折器件的优选材料。

为增加器件的稳定性,确保光束偏转器件的通光口径和偏转效率,基于电光晶体的光束偏转方案采用光轴对置的光胶 LN 晶体棱镜作为主要偏转结构,如图 所示。其中 方向为晶体光轴方向,代表两个棱镜各自的光轴方向,为了保证最大的偏转特性,位于上方的晶体棱镜采用光轴平行于 轴,位于下方的晶体采用光轴与 轴成 180°,两晶体的抛光面均为 XZ 和斜面,通光方向均为 轴,黄色部分代表电极。

图片

图 1 光轴对置的光束偏转器件设计

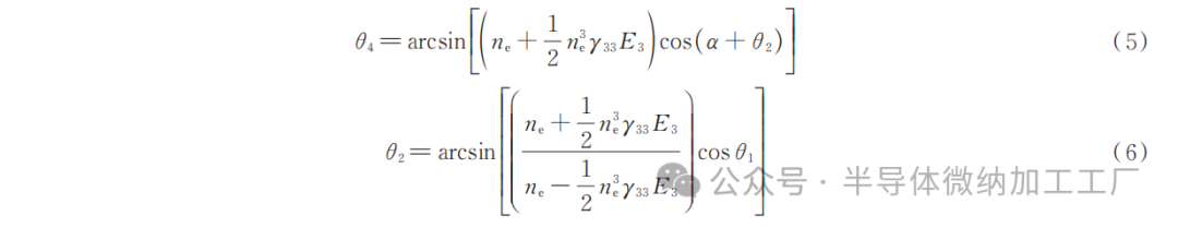
对置棱镜的楔角为 α,假设入射光沿着 轴入射,在两个棱镜界面入射角为 θ1,折射角为 θ2,在出射界面的入射角度为 θ3,出射角为 θ4

图片

式中,θ1=90°-α,外电场诱导的折射变化量 Δ=-1 2 n3 e γ33E3γ33为 LN 晶体沿着光轴方向的电光系数,n为LN 晶体的非寻常折射率,E3为沿着晶体光轴方向的外电场。

利用图 中的棱镜接合界面折射光束,由式(3)和式(4)求解可得

图片

电光偏转晶体的设计与仿真分析

2.1 外形尺寸参数分析

根据星间激光指向精确测量的控制要求,星间光束指向角调节范围不小于 1×10−5 rad,光束指向角测量噪声小于 5×10−9 rad/Hz1/2,星间光束指向控制噪声小于 1×10−8 rad/Hz1/2。依据上述要求设计了高精度光束偏转控制器件,参数如表 所示。利用 Matlab 软件仿真模拟偏转器件在外电压下的偏转角度,结果如图2 所示,在楔角为 11°的情况下,5 V 的电压便可以提供大于 720 nrad 的偏转角度,可以满足精度要求。

对于小于测试激光光束发散角(<100 μrad)的偏转角度,使用传统基于 CCD 的测角手段难以准确测量。为方便偏转角度测量,将偏转器件在几百纳弧度内的偏转角度与外电场间的线性关系外推至 mrad 以上。根据图 25 V 的外电压下,器件对光束的偏转角度约为 720 nrad,实现 1 mrad 以上的光束偏转角度,所需使用的外电压约为 = 5 V × 1 mrad 720 nrad = 7 kV,考虑到铌酸锂晶体内部畴结构的稳定性,使用大电压来实现较大角度的光束偏转时,外电场强度应在 LN 晶体的矫顽场(~21 kV/mm)以下15。以厚度为 10mm 的晶体为例,其最大外电压强度应小于 200 kV。通过仿真程序计算在 10 kV~20 kV 外电压下的光束偏转关系如图 3所示,在 10 kV 的外电压下,光束的偏转角度为 1.44 mrad;在 20 kV 的外电压下,光束的偏转角度为2.87 mrad,满足测试要求。

图片

图 2 小电压下光束偏转角度随电压变化关系

图片

图 3 大电压下光束偏转角度随电压变化关系

2.2 材料及公差特性分析

引力波高精度波束指向测试要求偏转器件具有高精度波前保持能力。为保证光束的波前满足设计指标要求,需要严格控制晶体材料的光学均匀性、加工精度误差以及光学吸收等参数。器件研制选用光学级LN 材料,根据厂商提供的参考数据,LN 晶体的光学均匀性(Δn0)为~1×10−6/cm[18]。在预期使用的激光器参数下(ϕ = 5 mm),光斑范围内最大相位变化量

图片

式中,λ 为 1 064 nm 波长,计算结果显示,附加波前畸变远低于光束指向指标要求,对光束波前影响可忽略。

为确保不同取向光轴晶体棱镜之间的拼接均匀性,对晶体棱镜斜面进行高精度机械抛光,在确保接合面表面平整度满足光胶要求的情况下(RMS<λ/5λ=1 064 nm),利用晶体光滑表面范式力(光胶)进行棱镜耦合,可获得光束畸变(RMS)小于 λ/4λ=1 064 nm)的偏转器件。

光学级铌酸锂晶体具有极低的光损耗,其光学吸收损耗<0.1%/cm@1 064 nm[19]。参考本设计晶体通光方向长度 50 mm 时,器件总的光损耗率小于 0.5%,满足测试需求。为确保器件性能稳定性,需要定量分析外部温度场变化对偏转角的影响。低电压下,LN 晶体作为介电材料,内部仅有少量电子流动,然而在外电压逐步增加的过程中,晶体在生长过程随机产生的缺陷、空穴子等,被外部电场加速成为载流子,出现漏导现象,生成焦耳热,同时借助热光效应引起 LN 晶体折射率的变化,对经过的光束波前畸变量产生影响。因此必须对晶体在外电压情况下的温度和折射率的变化进行定量计算15

已知 LN 晶体平行于光轴(轴)热光系数 1.6×10−6/K,垂直光轴(轴)热光系数 1.85×10−6/K,电导率σ 为 1.8×10Ω/m,热导率系数 λ 为 5.6 W/mK),同时平行于外电场方向的晶体厚度 为 10 mm,计算得到晶体在 方向上 5 V 外电压下的温度变化量2021

图片

对应的折射率变化量 Δ= 7.1 × 10-10,远小于 LN 晶体自身的折射率梯度值,因此 5 V 的外电压导致的热效应对晶体的波前和偏折角度影响可忽略不计。

热光系数作为张量,可以通过合理器件设计尽可能的消除其影响。在此,本方案借鉴电光调制器的设计方法,利用热光系数作为晶体自身的特征张量,在 轴方向具有方向性,通过使用 180°光轴对置,在通光方向(轴)上,实现有效热光系数等效为零。在光束传播方向考虑使用被动隔热的方式降低温度变化引起的折射率变化。假设沿着光束传播方向的温度变化量为 0.15 K,此时折射率变化量为 Δn= 9.3 × 10-7,远小于晶体自身的折射率梯度,因此光束传播方向上的温度梯度对晶体偏转光束无横向位移影响。

2.3 光束偏转仿真分析

使 用 Comsol Multiphysic 软 件 对 设 计 的 晶 体 光 束 偏 转 器 件 进 行 了 数 值 物 理 仿 真。根 据 上 述 的 理 论 计算,在晶体外电压为 20 kV 时,经过晶体的光束偏转角度约为 2.8 mrad0.16°),仿真界面显示偏转不明显,为突出光束偏转仿真效果,将晶体的外电压提升为 300 kV(超过最大可承受外电压 210 kV[15]),增加光束的偏转角度,结果如图 所示。

在仿真中,使用了几何光学与静电场组合的物理模型,铌酸锂晶体的折射率被设置为 2.156,电光系数为 29.49 pm/V,入射光波长 1 064 nm,晶体长宽高以实际加工为准,分别为 50 mm×10 mm×10 mm,外电压

图片

图 4 光束在电光晶体中的偏转模拟

从 0 V 增加到 300 kV。结果表明,器件最大偏转角(θ 4)为 41 mrad 与理论计算结果 41.4 mrad 接近,在 5 V 的外电压下角度分辨精度为 5 nrad,满足星间激光干涉地面半物理仿真验证的要求。仿真结果验证了该器件设计的可行性,其性能符合测试任务需求。

测试分析

3.1 晶体加工测试

针对项目需求,参照前述计算和论证,对光学级 LN 晶体按照定向、切割、粗抛、精抛的顺序进行了加工。定向使用 射线衍射仪,利用 LN 晶体的 3 m 对称性,以 角分的精度确定了块材原料的 轴和 轴方向,使用线切割机将块材按照 51 mm×11 mm×11 mm 的尺寸切割成毛坯料 块,在垂直于晶体 轴的两个面上涂抹常温银浆电极,待常温银浆电极自然晾干后,使用 d33测量仪沿着 轴测量晶体的 d33系数的符号,当 d33符号为负时,标记此时朝上的面,即为 LN 晶体电光系数为正的方向22

将标记好的 LN 晶体毛坯沿 YZ 面的对角线切开,形成一对直角三棱柱,依照之前的标记,确定晶体电光系数为正的方向,使用夹具将晶体毛坯沿 轴方向垂直固在抛光机抛光盘上,选用颗粒度从大到小的抛光料依次对晶体的两个通光面进行抛光,直至晶体表面磨砂形貌消失,使用纳米级悬浊液进行精细抛光,完成晶体通光面抛光流程。而后,将 LN 晶体使用石蜡固定,确保 LN 晶体棱柱的斜面面向抛光盘,对 组 LN 晶体 的 切 割 斜 面 依 照 上 述 流 程 进 行 加 工,直 至 完 成 光 学 冷 加 工。加 工 后 的 晶 体 棱 柱 抽 选 其 中 的 一 组,利 用Zygo 干涉仪(测试波长 λ=632.8 nm)测量了晶体通光面和斜面的加工情况(PV 值和 RMS 值)。如图 所示,根据图 5a)和(c)的测试结果,LN 晶体棱镜 通光面 PV 为 0.216λRMS 为 0.048λLN 棱镜 号的通光面 PV为 0.160λRMS 为 0.037λ,由于该元件长宽比大,且棱镜的边缘厚度薄,导致通光面的中间部分与边缘存在较大的差异;同时根据图 5b)和(d)的测试结果,LN 棱镜的接合面(斜面)中心部分(~80% 面积区域)的加工误差小于 0.15λ,可在接合后确保较好的光学通过效率和面型精度。

为了进一步减小测试激光在进入偏转器件时的能量损失,降低加工精度引起的波前畸变引入,在 LN 晶体棱镜的两个通光面利用真空镀膜的工艺,添加了 1 064 nm 波段的增透膜,并对镀膜后的晶体反射光谱曲线进行了测量,结果如图 所示。从图中测试结果可以得出,经过增透膜工艺后,LN 晶体棱镜的透光面在1 064 nm 波段的反射率降至 1% 以下,满足测试任务需求。

图片

图 5 晶体棱镜 Zernike 拟合测试

图片

6 晶体棱镜的增透膜反射率测试曲线

如图 7a),(b)所示,使用光胶工艺对光轴反转的 LN 晶体棱镜对进行了无介质粘接,沿 LN 晶体光轴方向,利用真空蒸镀的方式镀金膜,用于封装后外电场与晶体之间的电学接触和静电场施加。使用前后窗口镜片保护,将晶体偏转器件封装如 7b)所示,沿通光方向 轴,选择平行于 轴的光场,对封装后的光束偏转 器 件 波 前 畸 变 进 行 了 测 量,测 量 结 果 如 7d)所 示,整 个 光 束 投 射 区 域 面 积 内 透 射 波 像 差 PV 为 1.239λ,RMS 为 0.314λ(测试波长 λ=632.8 nm),选取中心半径为 毫米区域,可获得 RMS 值小于 0.2λλ=632.8 nm)的波前畸变。总体而言,封装后的光束偏转器件波前畸变测试数据高于的预估波前畸变量,其主要原因来源于光胶工艺过程精细度不足,以及接合面表面粗糙度累积效应。

图片

图 7 晶体组件及波前透射畸变测试

3.2 晶体光束偏转性能测试

在实际的测试光路中测量 LN 晶体偏转器件在外电压下的角度偏转能力,最终检验器件设计性能。通过对光束偏转器的加工参数的测试,初步了解加工后的偏转器与初始设计参数之间的差异,通过设计与加工的迭代,可实现器件性能和精度的不断提升,然而设计参数的优化和提升必须以实际实验中的最终性能参数—偏转角度为目标。

为了测试光束偏转器对 1 064 nm 测试光束的角度偏转能力,根据待测试参数的精度要求,设计搭建了如 图 所 示 的 测 试 光 路,测 试 激 光 使 用 Lumentum 公 司 的 NPRO 125 系 列 1 064 nm 光 纤 激 光 器,半 波 片HWP 和偏振片 为 LBTEK 的 HWP10-1064B 和 FLP25-NIR-M,偏转器后的成像透镜为 Thorlabs 公司的LSB01-套装中焦距为 500 mm 的透镜,成像 CCD 使用了 Xenics 公司的 Bobcat 320 系列,分辨率 320×256,有效成像面积 6.4 mm×5.12 mm。使用 30 kV 10 mA 的高压直流电源作为外电场,对偏转器的光束偏转性能进行了测试。

图片

图 8 光束角度偏转测试光路示意图

考虑到 LN 晶体内部畴结构的反转电场在 20 kV/mm 左右,晶体厚度为 10 mm,因此直流电压源的最大外电压不能超过 200 kV。根据透镜成像测角原理,通过公式(9)计算得到光束在 CCD 上移动一个像素对应的偏转角度约为 40 μrad,此为偏转角度的测量分辨率。

图片

其中,CCD 像元尺寸为 = 20 μm,透镜焦距 = 500 mm

通过图 所示的实验装置,光束角度偏转对应 CCD 靶面上光斑质心移动。受到晶体加工光轴与安装光轴误差以及材料自身消光比影响,出射光斑两个偏振分量均显示在测量 CCD 上,如图 9a)所示。选择光强较大的光斑作为测试光斑(右侧光斑),通过记录不同电压下,CCD 相机上的光斑质心位置,得到光电晶体在对应偏压下的角度偏转值,实验结果如图 9b)所示。在 15 kV 外电压下光束偏转角度实测值为 1.88 mrad@1 064 nm,理论为 1.94 mrad @ 1 064 nm。这种差异一方面是由于 LN 晶体沿光轴方向电光系数存在色散效应,γ33=30.91 pm/V@632.8 nmγ33=29.49 pm/V@1 064 nm[2324],电 光 系 数 的 理 论 色 散 误 差 将 引 起 测 角 误差;另一方面是光学晶体的波像差、入射光束偏振方向对准误差引起。晶体的定量测试中可通过实验标定在一定程度提升测试精度。

图片

图 9 光束偏转测量结果

结论

针对引力波探测原理样机的高精度光束指向测试需求,提出了一种基于铌酸锂晶体的高精度电光光束指向控制系统,利用晶体构造结构的对称结构设计,显著增强了器件对外部热环境适应能力,有效的提升了器件在外电场控制下的光束角度偏转精度,降低了系统误差。通过封装后器件波前测试中心通光区域的投射波像差 RMS 为 0.2λλ=632.8 nm),在 15 kV 外加电场下实现了 1.88 mrad 角度偏转,证明了器件设计的有效性和可行性,为下一步基于 LN 晶体的光束高精度偏转器件的研制奠定了坚实的基础。针对光束偏转角度的高精度测试需求,后期实验将搭建基于波前差分的高精度角度测试装置,选用光学均匀度更高的 SLN晶体,同时提升光学加工精度(RMS<0.05λλ=1 064 nm),以满足引力波探测地面半物理仿真实验的需求。






关于我们:

OMeda成立于2021年,由3名在微纳加工行业拥有超过7年经验的工艺,项目人员创立。目前拥有员工15人,在微纳加工(涂层、光刻、蚀刻、双光子印刷、键合)等领域拥有丰富的经验。 同时,我们支持4/6/8英寸晶圆的纳米加工。 部分设备和工艺支持12英寸晶圆工艺。针对MEMS传感器、柔性传感器、微流控、微纳光学等行业。

中国(上海)自由贸易试验区临港新片区业盛路188号450室 电话:+86 188 233 40140 邮箱:jing.chen@omeda-optics.com

来源:OMeda

关于我们

OMeda(上海奥麦达微)成立于2021年,由3名在微纳加工行业拥有超过7年经验的工艺,项目人员创立。在微纳加工(镀膜、光刻、蚀刻、双光子打印、键合,键合)等工艺拥有丰富的经验。 同时,我们支持4/6/8英寸晶圆的纳米加工。部分设备和工艺支持12英寸晶圆工艺。针对MEMS传感器、柔性传感器、微流控、微纳光学,激光器,光子集成电路,Micro LED,功率器件等行业。

姓名:*
邮件:*
公司名称:
电话:*
您的需求: